基于穿刺法和TPA法分析荔枝果实质构特性

李春燕,史发超,文英杰,刘海伦,严 倩,姜永华*

(广东省农业科学院果树研究所·农业农村部南亚热带果树生物学与遗传资源利用重点实验室·广东省果树科学与技术研究重点实验室,广州 510640)

摘 要:【目的】探索测试荔枝果实质构特性的条件和方法,为荔枝果实质地评价提供理论依据。【方法】利用物性分析仪系统研究了穿刺和质地多面分析法(texture profile analysis,TPA)不同测试参数对荔枝质构测定的影响,以最佳测试参数对8 个荔枝品种展开应用分析,并分析各质构参数间的相关性。【结果】以水东荔枝为样品进行单因素试验,穿刺法检测荔枝果皮质地的最佳参数设置为穿刺深度4 mm、测试速度0.5 mm·s-1、触发力0.38 N;TPA 测试荔枝整果(带皮和去皮)的最佳测试水平为形变量20%、测试速度0.5 mm·s-1、触发力0.38 N。果皮强度与果皮最大位移、穿刺果皮做功呈极显著正相关(P<0.01);果肉硬度与咀嚼性呈极显著正相关(P<0.01),与内聚性、回复性呈极显著负相关(P<0.01);弹性和咀嚼性呈极显著正相关(P<0.01)。利用主成分分析从20个指标(质构仪参数指标)中提取到5个因子,累计方差贡献率为86.26%,得分图显示分类效果良好,载荷值高的各重要指标(如果肉硬度、果肉咀嚼性和果肉挤压做功)可用于区分不同荔枝果实的质地特征。【结论】该研究初步建立了量化评价荔枝果实质地品质的方法,穿刺法和TPA法结合能有效区分不同种质间质地差异,丰富了荔枝质地评价内容。

关键词:荔枝;穿刺法;质地多面分析法(TPA);果实质地;种质资源

果实质地是重要的品质性状,常见的测定方法有2种:一种是感官评价法,即通过人为感知或简单仪器得出评价,这种方法受参试人员的主观影响大,重复性差;另一种是仪器分析法,主要通过系列参数指标反映果实的质地特性和组织结构变化,该方法稳定性高、准确性强[1]。质构分析法是近年来发展起来的一种新型质地仪器测试方法,用其可以对果蔬品质做出客观评价,评价的角度和参数较感官评价更加丰富、合理,重复性和实用性也更高[2]。利用质构仪测定质构特性最常用的方法是穿刺法(puncture test)[3]和质地多面分析法(texture profile analysis,TPA)[4-5]。穿刺检测是通过毫米直径的针形探针刺穿样品,能够测定样品的硬度和脆性[6],已被应用于杧果[7]、冬枣[8]和番茄[9]等果实的质构评价,及果皮的质地分析。田青兰等[10]利用穿刺法测定西番莲果皮质构特性,张翔宇等[11]对不同品种的葡萄浆果进行穿刺测试,发现果皮刚度是浆果果皮的机械性能评价的重要质构参数。TPA检测是通过模拟人口腔的咀嚼运动,对样品进行两次压缩,能够测定硬度、黏附力、弹性、内聚性和咀嚼性等相关质构参数,已被应用于桃[12]、葡萄[11]、草莓[13]和苹果[14-15]等果实的质构检测。由于不同水果的食用部位有差异,质地分析的侧重点不同,如苹果[15]、梨[16]、甜瓜[17]等更注重果肉质地的脆性、硬度等指标,而桃[4,12]、槟榔[18]、西番莲[10]、橄榄[19]等更关注果实的硬度、咀嚼性等,所以需要探索分析不同水果质地的最适指标。

荔枝(Litchi chinensis Sonn.)属无患子科植物,色靓味美,是中国南方特色水果之一。中国是世界上栽培荔枝最早和最多的国家,栽培历史已有2 000多年。中国荔枝种质资源丰富,其中国家荔枝香蕉种质资源圃(广州)拥有荔枝种质600多份[20-21]。崔永宁等[2]利用75 mm 圆盘对不同荔枝种质果肉小块进行TPA测试,发现192份荔枝资源果肉质地存在较大差异,可分为适口性、口感黏附性和凝聚性三大类群。乔方等[22]对深圳南山荔枝果肉进行TPA测试,明确了荔枝果肉质地与消费者的喜好度高度相关,果肉硬度、弹性和咀嚼性越高,喜好度越高。黄略略等[23]利用穿刺法和TPA法分别测试荔枝整果的硬度及弹性,发现荔枝果皮硬度与果皮失水有关,但因该试验采用的是直径25 mm 的圆柱形探头,所以无法了解果皮质地。果实整体的硬度是判断果实质地、衡量贮藏保鲜效果的主要指标[18,24]。关于梨[25]和龙眼[26]的研究发现,作为果实最外层的保护屏障,果皮的硬度、厚度与贮藏和运输有关[27]。荔枝为非呼吸跃变型果实,体积小,采后以散果装箱销售,运输过程中果实间极易相互挤压碰撞。了解果皮及果实整体的质地特性,对荔枝保鲜和贮运销售极为重要。目前,鲜有研究对荔枝果皮及果实整体质地特征展开系统分析。

本试验以水东荔枝成熟果实为试材,利用穿刺法和TPA法,对形变量、测试速度、穿刺深度、触发力等指标进行单因素测试,旨在明确荔枝果实质构测定的最优条件;随后对水东、妃子笑等8 个荔枝品种的质地品质进行了分析评价,检验测定条件的适用性,以期建立一套标准、规范的荔枝果实质地品质检测方法,为荔枝果实质地差异性评价提供理论依据。

1 材料和方法

1.1 试验材料

样品于2024年5月采收自国家荔枝香蕉种质资源圃(广州),资源圃内所有品种栽培管理方案一致。从30 年生壮树上采摘八成熟果实,此时的果实已具有该品种特有的风味,果实外表皮处于转色中后期,内果皮仍为白色。选取无病虫害、无机械损伤、大小均匀的15 个果实进行试验。试验用荔枝品种为水东、妃子笑、赤叶、仁山荔、早蜜、黑叶、雷岭小丁香和紫娘喜(图1),其中水东成熟期最早,果个适中,丰产稳产,最适用于质地测试。

图1 不同荔枝品种果实的外观性状
Fig. 1 Appearance traits of ripe fruits of different cultivars

参考廖美敬[28]对增城荔枝品种的概述,依据平均单果质量将8 个品种分为3 类:第一类为中果,平均果质量介于18~28 g,品种有黑叶、赤叶、水东;第二类为大果,平均果质量介于29~50 g,品种有仁山荔、妃子笑、早蜜、雷岭小丁香;第三类为特大果,平均果质量大于50 g,品种仅有紫娘喜。果肉厚度从大到小依次为紫娘喜>妃子笑>黑叶>雷岭小丁香>赤叶>水东>早蜜>仁山荔,最大值为12.79 mm,最小值为8.15 mm。果皮厚度从大到小依次为紫娘喜>雷岭小丁香>早蜜>妃子笑>水东>赤叶>仁山荔>黑叶,最大值为2.15 mm,最小值为1.21 mm。荔枝果皮厚度与果肉厚度无一致性。

1.2 试验方法

1.2.1 生理指标测定 用数码相机拍摄新鲜果实照片;参照陈洁珍[29]的方法对果实进行称质量;采用排水法检测果实体积;使用图像分析工具Fiji 软件测量果实纵径、大横径、小横径、果肉厚度、果皮厚度。

1.2.2 穿刺试验 使用TMS-PRO型物性分析仪(美国FTC公司生产)进行质构指标检测,感应元件量程为250 N,检测时果实缝合线与置物台平行。荔枝果实阳面中部的细胞组织较均匀紧密,在一定程度上能够更好反映果实质地,是分析质地的最佳部位。质地分析时以果实阳面最高点为测试点,每个处理测定5 个果实。采用P2/N 不锈钢针形探头进行穿刺,穿刺深度的设定以果径为基准,不得超过荔枝赤道直径减去内部果核直径的1/2,即在尽可能深的测试条件下,避免探头穿到果核部位。固定测试速度0.5 mm·s-1,下压速度和回升速度均设为0.5 mm·s-1[30],触发力0.38 N(不低于最大量程的0.15%)。首先以穿刺深度为单因素,分别设定2、3、4、5、6 mm 共5 个梯度;然后使用最佳穿刺深度,对测试速度执行单因素分析,设定0.5、1.0、1.5 mm·s-1共3个梯度,其余参数不变。以触发力为单因素参数,设定0.38、0.48、0.58 N共3个梯度,其余参数不变。试验时手动固定样品,防止样品在穿刺测试完成后跟随探针回升。

1.2.3 TPA分析 使用TMS-PRO型物性分析仪(美国FTC 公司生产)进行质构指标检测,检测时果实缝合线与置物台平行,以阳面最高点为测试点,每个处理测定5 个果实。对荔枝整果进行TPA 测试,分带皮压缩和去皮压缩2 种方式,可以得到硬度、咀嚼性、弹性、内聚性、回复性等质构指标[15]。探头采用TMS-75 mm 圆盘,触发力为0.38 N,测前速度与测后速度一致,均为0.5 mm·s-1

整果带皮测试中,首先固定测试速度为0.5 mm·s-1[30],以形变量为单因素参数,设定10%、15%、20%、25%、30%、35%共6个梯度。随后,使用最佳形变量,以测试速度为单因素参数,设置0.5、1.0、1.5 mm·s-1共3个梯度。

另取一批样品,用美工刀小心去掉荔枝果皮,对带核的完整果肉进行TPA 测试,以形变量为单因素参数,设定10%、15%、20%、25%、30%共5个梯度;再以最佳形变量,设置测试速度为0.5、1.0、1.5 mm·s-1,其余参数不变。

1.2.4 不同品种质地检测 利用上述的试验得出最佳测试水平组合,采用穿刺试验和TPA法测定黑叶、水东、仁山荔、赤叶、妃子笑、早蜜、雷岭小丁香和紫娘喜8个荔枝品种的鲜果质构参数。

1.3 数据分析

由TMS-PRO 性物性分析仪自带软件Texture Exponent 32 绘制质构曲线,各质构指标在质构曲线中获得;分别用Excel 和SPSS 26.0 软件完成数据处理和统计学分析;采用在线软件Chiplot作相关性分析图;采用Simca 14.1绘制主成分分析图。

2 结果与分析

2.1 穿刺参数对荔枝果实质地的影响

果皮是重要的机械保护组织,其强度是果品质构分析中的重要指标。为了解果皮质地特性,参照百香果[31]、枣[8]等的研究,对荔枝带皮的整果进行穿刺试验。与苹果、桃等薄皮水果相比,荔枝果皮较厚,木质化程度高,很难被圆柱形探头刺穿,更适合使用针形探头进行检测。以果皮强度、果皮破裂距离、做功、黏附力、最大模量系列指标表征果皮质地。据对三华李[1]和无花果[32]等水果的研究报道,影响穿刺结果的因素主要有穿刺深度、测试速度和触发力。

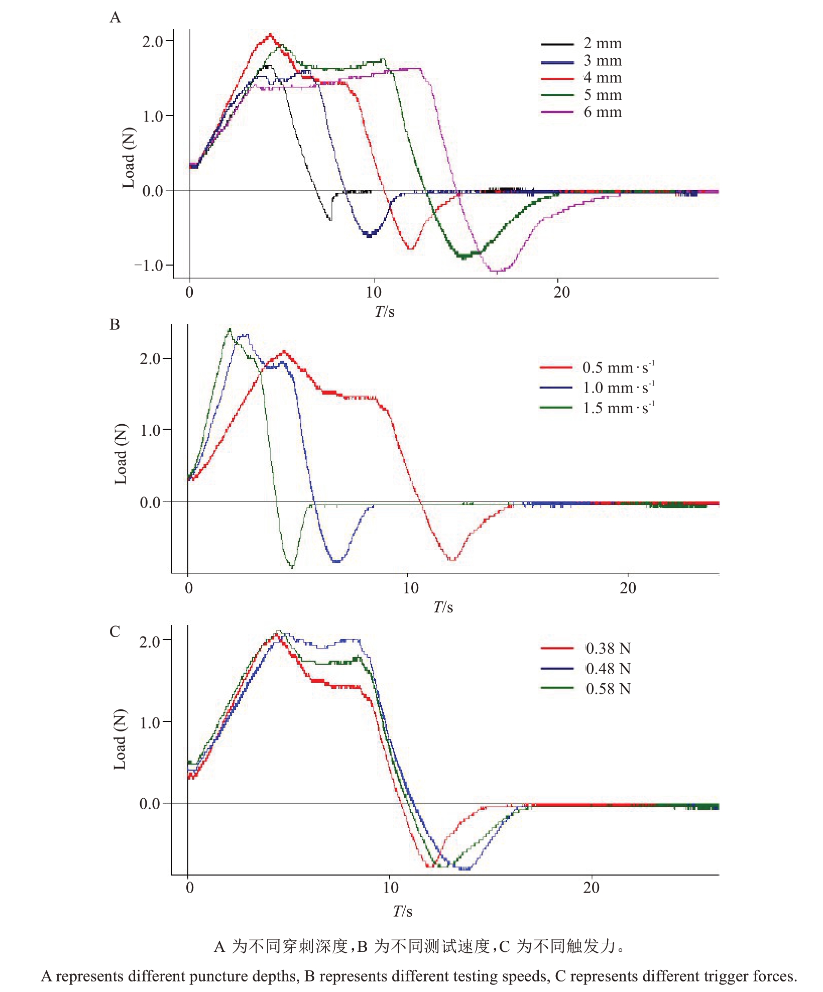
果皮破裂距离指的是探针接触果皮(探针检测到0.38 N 的力)开始压缩试样到目标距离时产生的位移,反映样品被穿破前的变形程度。除去野生荔枝,多数荔枝种质果实外层有1~2 mm 厚的果皮,内有种核,中间可食用果肉厚度3 mm 至8 mm 不等。为保证探针可以穿透果皮而不碰触种核,本次试验设置的起始穿刺深度为2 mm,最大穿刺深度为6 mm。对水东荔枝而言,不同穿刺深度所获质构曲线走势相似,但重叠度较低,即各质地参数存在较大差异,尤其是表征黏附力的负面积,其最大力及出峰时间存在明显差异(图2-A)。

图2 P2/N 探头不同检测因素测试水东荔枝质构特征曲线
Fig. 2 Texture characteristic curves of Shuidong tested by P2/N probe under different detection factors

当穿刺深度为2 mm时,果皮强度低于其他穿刺深度的数值,而3~6 mm 的穿刺深度所得果皮强度间并无显著差异;当穿刺深度为4 mm时,与3~6 mm的穿刺深度相比,果皮破裂距离、果皮做功和果肉黏附力随着穿刺深度增加整体呈增大的趋势,而果皮强度、果皮最大模量随着穿刺深度增加呈现先增大后减小的趋势。相关性分析得知(表1),穿刺深度与果皮破裂距离、果皮做功及果肉黏附力呈显著正相关,与果皮最大模量呈负相关,仅与果皮强度相关性不显著,说明穿刺深度与果皮破裂距离、穿刺果皮做功、最大模量及果肉黏附力关系密切。穿刺深度为4 mm 时果皮强度、穿刺果皮做功、果皮最大模量的变异系数最小,分别是8.46%、6.39%、15.07%,质构数据稳定性较好,因此,穿刺深度选择4 mm 较为合适。

表1 不同穿刺因素对水东荔枝果皮质构参数的影响
Table 1 Effects of different puncture factors on the texture parameters of Shuidong litchi pericarp

注:同列大写字母表示在0.01 水平差异极显著,同列不同小写字母表示在0.05 水平差异显著。数据为均值±标准差(n=5)。下同。CC 值代表穿刺深度与质构参数间的相关性。
Note:Capital letters in the same column indicate significant differences at the 0.01 level, while small letters in the same column indicate significant differences at the 0.05 level. The data is mean ± standard deviation (n=5). The same below. The CC value represents the correlation between puncture depths and texture parameters.

检测因素Factors穿刺深度Puncture depth变异系数CV/%2.06 25.21 8.46 10.86 22.80变异系数CV/%5.18 20.22 14.06 36.01 4.36变异系数CV/%7.44 31.60 6.39 47.90 23.78变异系数CV/%4.65 41.08 15.07 41.22 31.58变异系数CV/%23.05 9.89 15.24 16.38 7.15 14.00 10.47 8.49 14.00 15.04 21.51测试速度Test speed触发力Trigger force水平Level 2 mm 3 mm 4 mm 5 mm 6 mm CC 0.5 mm·s-1 1.0 mm·s-1 1.5 mm·s-1 0.38 N 0.48 N 0.58 N果皮强度Peel strength/N 1.70±0.04 1.96±0.49 2.00±0.17 2.06±0.22 1.93±0.44 0.29 2.00±0.20 2.14±0.31 2.17±0.24 2.00±0.20 1.79±0.20 1.73±0.30 9.67 14.57 11.10 9.67 11.20 17.34果皮破裂距离Peel breakage distance/mm 1.87±0.10 C 2.28±0.46 C 2.17±0.30 C 3.37±1.21 B 5.60±0.24 A 0.79**2.38±0.43 2.62±0.81 2.65±0.59 2.38±0.53 2.87±0.93 2.88±1.24 18.95 30.92 22.72 22.95 32.79 43.23穿刺果皮做功Peel work/mJ 1.96±0.15 C 2.85±0.90 BC 2.47±0.16 C 4.90±2.35 B 9.67±2.30 A 0.77**3.23±0.68 3.51±1.26 3.69±1.54 3.23±0.48 3.68±1.11 3.88±0.93 21.90 35.48 41.74 14.90 29.65 24.68果皮最大模量Peel maximum modulus/(N·mm-1)0.74±0.03 a 0.71±0.29 a 0.86±0.13 a 0.61±0.25 a 0.28±0.09 b-0.50*0.80±0.12 0.79±0.21 0.76±0.21 0.80±0.13 0.68±0.24 0.52±0.23 15.26 26.33 27.46 16.26 35.88 44.40果肉黏附力Pulp adhesion/N 0.31±0.07 C 0.83±0.08 B 0.89±0.14 B 0.95±0.16 AB 1.11±0.08 A 0.84**0.92±0.13 0.89±0.09 0.86±0.07 0.92±0.13 0.85±0.12 0.81±0.17

测试速度指的是探头接触到试样表面时启动触发力开始到设定的穿刺深度(4 mm)探头下移的速度。随着测试速度增加,果皮强度值变大,且出现时间提前(图2-B),这与果皮单位面积所受压强相关,符合力学特征,但测试速度的改变未对果实质构结果产生显著影响(P>0.05);当取值为0.5 mm·s-1时,果皮强度变异系数最小(9.67%)。固定测试速度为0.5 mm·s-1,三种触发力获得的曲线重叠度极高(图2-C),即触发力对果实的质构参数均无显著影响(P>0.05);当触发力为0.38 N 时,果皮强度、果皮最大模量和果肉黏附力均有最大值,且变异系数均较小(表1)。综合以上结果,穿刺法分析水东荔枝果皮质地最优参数:穿刺深度为4 mm,测试速度为0.5 mm·s-1,触发力为0.38 N。

2.2 整果压缩测试(带果皮)参数对荔枝果实质地的影响

为了解荔枝果实整体的抗压能力,以荔枝带皮的果实整体为试样,采用TPA 法分析果皮约束下果实整体的紧实程度。TPA 是最常用的质构分析方法,结果受样品大小、压缩形变量及探头类型等多种因素影响[33-35],其中压缩形变量是最影响TPA分析结果的重要参数[15,36]。TPA 硬度反映的是果实的坚硬程度[37];内聚性是指果实抵抗牙齿咀嚼破坏而表现出来的内部收缩力,反映的是细胞间结合力的大小和果实保持完整性的能力;回复性则反映了样品受挤压时迅速恢复形变的能力。

本试验中最大的果实纵径为53.33 mm,大横径为54.49 mm,果实横截面均小于圆盘(直径为75 mm),适合压缩测试。随着压缩程度的增大,第一峰值逐渐升高,当形变量超过25%时,第一峰后出现小峰,此时果实出现破裂(图3-A)。不同形变量对荔枝质构曲线峰值的影响比较显著:当形变量为10%~20%时,果实硬度、最大位移、挤压做功以及弹性均随着形变量的增加而增大;当形变量大于20%时,果实硬度、最大位移、弹性的变化趋于平缓,且果实硬度无显著差异(P>0.05)。水东果实内聚性、回复性随着形变量的增加而减小,果实起始模量随着形变量增大到一定范围内没有明显变化。值得注意的是,在形变量为20%时,大部分指标的变异系数均出现了最小值。相关性分析得知(表2),形变量与果实硬度、果实最大位移、果实挤压做功和果实弹性呈正相关,与果实内聚性和果实回复性呈负相关,且相关系数均大于0.90(P<0.01)。由此可知,形变量与果实硬度、最大位移、挤压做功、弹性、内聚性、回复性等质构参数的关系密切,因此对于水东荔枝整果TPA检测,形变量选择20%较为合适。

表2 TPA不同检测参数对水东质构参数的影响
Table 2 Effects of different TPA detection parameters on fruit structure parameters of Shuidong

?

图3 不同形变量(A)和测试速度(B)对水东整果质构曲线的影响
Fig. 3 Effects of different deformation variables (A) and testing speeds (B) on the texture profile of Shuidong whole fruit

由图3-B 可知,在触发力为0.38 N、形变量为20%的条件下,不同测试速度所获质构曲线区分度较大,果实硬度、果实挤压做功、果实内聚性、果实弹性以及果实回复性均随着测试速度的增大而减小,而果实最大位移与果实起始模量在一定的范围内波动。当测试速度大于1.0 mm·s-1时,果实最大位移随着测试速度的增大而减小。在测试速度为0.5 mm·s-1时果实的硬度最大,与1.0 和1.5 mm·s-1的测试速度之间无显著差异。由此说明在同一形变量下,测试速度的影响不显著,但此时果实最大位移、果实弹性、果实回复性和果实起始模量4 项参数的变异系数为最小值(表2),分别为1.44%、2.27%、3.05%和13.27%。测试速度过快或者过慢均会降低测试结果的稳定性,因此,整果带皮TPA测试最优测试速度为0.5 mm·s-1

2.3 整果压缩测试(去果皮)参数对荔枝果实质地的影响

荔枝果肉是食用部位,其质地影响消费者的喜好。与百香果、番茄等水果不同,荔枝果皮和果肉之间没有空隙,即果肉质地对果实整体硬度具有较大的影响。为避免切割引起果肉破损或质地改变,尽可能反映果肉真实的质地特征,本次试验仅将荔枝果实去皮,采用圆盘对整个荔枝果肉进行压缩,测定荔枝果肉硬度、果肉弹性、果肉内聚性和果肉咀嚼性等8项指标。胶黏性为硬度与内聚性的乘积,常用于评价半固态食品,而荔枝果肉为固态样品,因此不讨论胶黏性[38]。果肉硬度可直接反映果肉组织的紧密程度;咀嚼性为牙齿咀嚼果实样品时需要的能量,为硬度、内聚性和弹性的乘积,综合反映了果实对咀嚼的抵抗能力;果肉弹性和咀嚼性与口感密切相关[22]

如图4-A 所示,当形变量低于20%时,首次压缩只出现一个峰,质构曲线匀称性较好。果肉硬度、最大位移(硬度最大值时对应的位移)、挤压做功、弹性、咀嚼性均随着形变量值的增大而增大,果肉内聚性和回复性随着形变量值的增大而减小(表3);当形变量超过20%之后,首次压缩出现多个明显的峰值,通常定义第一个峰值为脆性,第二个峰值为硬度,此时质构曲线的匀称性较差。破裂力在一定程度上反映了果实的脆性,与苹果、梨等水果不同,荔枝果肉口感细嫩软滑,故不讨论其脆性。二次挤压测试后的内聚性和回复性有所降低,可能是因为此时形变量过大,测试样品被过度挤压导致回复能力降低,因此合理的形变量更能反映样品的真实质地特性,故先讨论形变量大于20%的情况。在形变量为20%时,果肉硬度、果肉最大位移、果肉弹性、果肉咀嚼性4项参数的变异系数有最小值,测试结果相对稳定,效果最佳。相关性分析表明(表3),形变量与所测8项指标均有显著相关性,与果肉内聚性和果肉回复性呈显著负相关,与其他6 项参数呈极显著正相关。以上结果说明,形变量与水东的果肉硬度、最大位移、挤压做功、弹性、咀嚼性、回复性等质构参数的关系密切。综上分析,对荔枝果肉进行的TPA测试,最适形变量为20%。

表3 TPA不同检测参数对果肉质构参数的影响
Table 3 Effects of different TPA detection parameters on fruit structure parameters

?

图4 不同形变量(A)和测试速度(B)对水东果肉质构曲线的影响
Fig. 4 Effects of different deformation variables (A) and testing speeds (B) on the texture profile of Shuidong pulp

在测试速度的单因素分析中,测试速度越高,质构出现高峰值所需时间越短(图4-B)。由表3 可知,测试速度对果肉硬度、果肉最大位移以及果肉挤压做功有显著影响(P<0.05),而对果肉弹性、咀嚼性、内聚性、起始模量没有显著影响。在测试速度为0.5 mm·s-1时,果肉硬度、最大位移、挤压做功、内聚性、弹性、咀嚼性、回复性、起始模量的变异系数均为最小值,数据稳定性好,而测试速度过快会导致数据稳定性差,变异系数变大。综上分析,测试速度选择0.5 mm·s-1更合适。

2.4 不同荔枝品种果实质构的差异

2.4.1 不同荔枝品种果实质构试验参数分析 按照2.1 结果中的最优测试参数组合对8 个荔枝品种进行穿刺试验。结果得知(表4),在8 个品种间5 项穿刺质地指标(果皮强度、果皮破裂距离、穿刺果皮做功、果皮最大模量和果肉黏附力)存在差异,穿刺果皮做功和果皮破裂距离的变异幅度较大,分别为29.37%和21.85%;果皮强度的变异幅度最小,变异系数为14.35%。具体而言,妃子笑果皮强度最大,显著高于其他7 个品种(P<0.01);妃子笑果皮破裂距离最大,其次是雷岭小丁香;妃子笑穿刺果皮做功大于其他品种。果皮最大模量在8个荔枝品种中存在显著差异(P<0.05);黑叶、水东和仁山荔果肉黏附力较大,赤叶的果肉黏附力最小。

表4 不同品种荔枝果实穿刺试验质地参数
Table 4 Texture parameters of different litchi varieties in puncture test

?

利用最优测试参数组合对8 个荔枝品种进行整果带皮TPA 分析。由表4 可知,7 项TPA 质地指标(果实硬度、最大位移、挤压做功、内聚性、弹性、起始模量、回复性)在荔枝品种间存在显著差异,果实起始模量的变异系数最大,为38.45%;其次是果实挤压做功,为34.55%;果实内聚性和果实最大位移的变异系数较小,分别为6.94%和8.44%。早蜜和仁山荔的果实硬度在70 N 以上,极显著大于其他品种(P<0.01),赤叶果实硬度显著小于其他品种。弹性是指果实受压,在去掉压力时恢复原状的能力。紫娘喜的弹性显著高于其余品种(P<0.05)。黑叶的内聚性与大部分品种存在显著差异(P<0.05),但与紫娘喜无显著差异。妃子笑的回复性显著高于除赤叶以外的其他品种(P<0.05)。

利用最优测试参数组合进行整果去皮TPA 试验,并对不同荔枝品种的质构指标进行方差分析。由表4 可知,各品种的质构指标间存在差异。果肉起始模量的变异系数最大,为42.18%,其次是果肉挤压做功和果肉硬度,分别为41.42%和40.02%,果肉最大位移的变异系数最小,为9.47%。8个荔枝品种中,仁山荔的果肉硬度显著高于其他品种(P<0.05),赤叶的果肉硬度最低。仁山荔和早蜜两个品种果肉咀嚼性显著高于其他品种(P<0.05),而黑叶、水东、雷岭小丁香3 个品种间的果肉咀嚼性没有显著差异。回复性反映果实质地特性的可靠度优于弹性。雷岭小丁香的回复性显著低于赤叶、水东、妃子笑和紫娘喜(P<0.05),而与仁山荔、早蜜、黑叶品种间无显著差异。

2.4.2 不同荔枝品种的品质指标相关性分析 对穿刺和TPA 测试的质构指标间进行相关分析,数据表明(图5),穿刺所得果皮强度、果皮破裂距离和穿刺果皮做功两两之间均呈显著正相关,其中果皮强度与果皮破裂距离,果皮破裂距离与穿刺果皮做功均呈极显著正相关(P<0.01),相关系数(r)分别为0.55 和0.81。果肉黏附力与果肉内聚性、果肉回复性呈显著负相关(P<0.05),此外,穿刺果皮强度与TPA果实硬度、果肉硬度之间相关性不显著;但TPA果实硬度与果实挤压做功、果实起始模量、果肉硬度、果肉挤压做功、果肉咀嚼性等呈极显著正相关(P<0.01,r 均大于0.70)。果实最大位移和果实弹性呈极显著正相关(P<0.01,r=0.93)。果肉TPA 测试中,果肉硬度与果肉挤压做功、果肉咀嚼性、果肉起始模量呈极显著正相关(P<0.01),r分别为0.96、0.83和0.82,与果肉内聚性、果肉回复性呈极显著负相关(P<0.01)。相关性分析表明,果肉咀嚼性与果肉弹性(r 为0.44)呈极显著正相关(P<0.01),与果肉内聚性呈极显著负相关(P<0.01,r = -0.51)。果肉弹性与果肉硬度、果肉内聚性相关性不显著。

图5 荔枝果实指标间的相关性分析
Fig. 5 Correlation analysis of litchi fruit indexes

将质地指标与果实表型性状进行相关性分析(图5),结果表明,质地指标间存在一定的正相关性。果实质量、果实体积均与果实硬度、果实最大位移、果实挤压做功、弹性、起始模量、果肉内聚性、果肉弹性系数呈极显著正相关(P<0.01),果实纵径与果肉最大位移、果实弹性呈极显著正相关(P<0.01,相关系数在0.46~0.50)。果实大横径与TPA相关质地联系较紧密,果实大横径与果实弹性、果实最大位移、果肉硬度、果肉最大位移、果肉弹性均呈显著差异(P<0.05)。果形指数与穿刺指标果皮破裂距离呈显著正相关(P<0.05),与果肉黏附力、果实挤压做功、果实起始模量、果肉硬度等指标呈极显著或显著负相关。果皮厚度与果肉最大位移呈极显著正相关(P<0.01)。

2.4.3 不同荔枝品种的果实品质主成分分析 鉴于果实表型与质地指标间的相关性不显著,因此仅对果实质地品质的20 个指标进行降维,共提取到5个特征值大于1的主成分。载荷值的大小反映了各变量在主成分中的重要程度,各指标旋转后载荷值及主成分贡献率见表5。第一主成分的特征值为7.651,贡献率为38.25%,其中果肉硬度、果肉挤压做功、果肉咀嚼性、果肉起始模量正向载荷值均高于0.90,对果实质地评价起正向作用,主要反映果肉组织的致密性;第二主成分的特征值为3.31,贡献率为16.56%,果实最大模量、果实最大位移和果实弹性载荷值均大于0.87,主要反映果实弹性;第三主成分的特征值为2.89,贡献率为14.46%,主要受果皮强度、果实破裂距离及穿刺果皮做功影响,均为正向载荷,反映果皮质地信息;第四主成分的特征值为2.06,贡献率为10.31%,主要受果实回复性影响,反映果实形变后的恢复能力;第五主成分的特征值为1.34,贡献率为6.69%,主要受果肉最大位移及果肉弹性影响,反映果肉弹性特征。前五个主成分的累计方差贡献率达到86.26%,基本反映了荔枝质地品质的绝大部分信息,具备很高的质地品质信息代表性,可以解释果肉硬度、果肉挤压做功、果肉咀嚼性、果实最大位移、穿刺果皮做功是造成不同荔枝品种之间多样性的主要原因,为荔枝种质综合评价提供一定的依据。

表5 荔枝果实质地主成分分析
Table 5 Principal component analysis of litchi fruit texture

性状Character果皮强度 Skin strength果皮破裂距离 Skin breakage distance穿刺果皮做功 Puncture skin work果皮最大模量 Skin maximum modulus果肉黏附力 Pulp adhesion果实硬度 Fruit hardness果实最大位移 Fruit maximum displacement果实挤压做功 Fruit squeeze work果实内聚性 Fruit cohesion果实弹性 Fruit springiness果实起始模量 Fruit initial modulus果实回复性 Fruit resilience果肉硬度 Pulp hardness果肉最大位移 Pulp maximum displacement果肉挤压做功 Pulp squeeze work果肉内聚性 Pulp cohesion果肉弹性 Pulp springiness果肉咀嚼性 Pulp chewiness果肉起始模量 Pulp initial modulus果肉回复性 Pulp resilience特征值 Characteristic value贡献率 Contribution rate/%累计贡献率 Cumulative contribution rate/%特征向量Feature vector第1主成分First principal component-0.05-0.23-0.10 0.16 0.28 0.75-0.01 0.50-0.03 0.04 0.61-0.14 0.96 0.24 0.94-0.63 0.25 0.94 0.90-0.54 7.65 38.25 38.25第2主成分Second principal component 0.42-0.27-0.08 0.87 0.10 0.35 0.95 0.47-0.22 0.92 0.23 0.23 0.00 0.04 0.00 0.24-0.02 0.07 0.15 0.13 3.31 16.56 54.81第3主成分Third principal component 0.84 0.82 0.92 0.05 0.47-0.06-0.09-0.15 0.58-0.03-0.19 0.12-0.05 0.03-0.03-0.24-0.10-0.13-0.11-0.14 2.89 14.46 69.27第4主成分Fourth principal component 0.04-0.19 0.03 0.09 0.16 0.46-0.03 0.63-0.21-0.23 0.61-0.89 0.19 0.36 0.20-0.54-0.06 0.09 0.06-0.68 2.06 10.31 79.58第5主成分Fifth principal component-0.05-0.02-0.08-0.01-0.36 0.17-0.01 0.20 0.43-0.03 0.30-0.14-0.04 0.85 0.20 0.20 0.91 0.21 0.14 0.31 1.34 6.68 86.26

根据提取的PC1、PC2 主成分绘制主成分得分图(图6)。仁山荔、早蜜与水东、赤叶、妃子笑在第一主成分上有明显区分,雷岭小丁香与紫娘喜在第二主成分上有明显差异。水东与黑叶在主成分2 上具有一定的区分度,但不能完全进行区分,这与2个品种生物学性状和农艺学性状表现相似的特点一致。8 个荔枝样本的相似度在95%的置信区间内,各样本表现出明显的聚类趋势,未发现离群样本点,说明8个荔枝品种在果实质地方面存在明显差异,利用前2个主成分可以对8个荔枝品种进行有效分类。

图6 8 个荔枝品种主成分得分
Fig. 6 Principal component score plot of 8 litchi varieties

3 讨 论

果实质地是继果实风味之后第二大品质指标,是消费者选购商品的重要决定因素。不同类型水果的果实质地各有特点,甚至同一种水果果实质地也因品种、环境和管理水平等而产生巨大差异。果实的口感作用体现在果实质地参数上。通常利用TPA、穿刺测试、剪切法等测试方法分析果实的硬度、咀嚼性等指标,其中穿刺法不受样品一致性限制,能区分果皮特征,适用性更强[14]。TPA 测试通常要求样品要具有良好的均一性[39],需要切取一定的体积来进行检测[5,16]。荔枝果肉柔软多汁,且厚薄不一,样品制备过程中会出现较大的误差,严重影响质构结果的稳定性。剪切法在水果中的应用并不多,可能原因是样品大小对检测结果的影响较大,不同水果样品间的大小难以达到一致,检测结果也无法做到横向比较[14]。因此本试验借鉴冬枣[8]、蓝莓[27,40]、橄榄[19]等小型果实的检测方法,放弃统一体积法,以整果为检测对象了解果实整体质地,辅以穿刺了解荔枝果皮物性。

质构测试条件对果实质构分析有一定的影响[34],如穿刺深度是影响质构的因素之一。潘秋玲等[1]利用整果穿刺法对三华李果实质地参数进行测定,发现果肉硬度在不同的穿刺距离下差异显著。李晓等[3]利用质构仪测定烟叶脆性的最佳条件,指出了测试距离对测定结果的变异系数有一定的影响。本试验以穿刺深度、形变量、触发力、测试速度作为单因素参数,对早熟荔枝水东进行穿刺与压缩试验。当穿刺深度为4 mm 时,水东荔枝的果皮强度、穿刺果皮做功的变异系数最小。触发力和测试速度对果皮强度、果皮破裂距离以及穿刺果皮功等果皮质地参数影响不大,与周靖宇等[32]对无花果果实质地参数分析的结论一致。依据重要指标变异系数最小、数据稳定性最高的原则,确定触发力为0.38 N、穿刺深度为4 mm、测试速度为0.5 mm·s-1的测试条件能更好地体现荔枝果皮的质地特性。

在TPA 参数设置中,形变量和测试速度会影响结果[41]。形变量增加会显著提升果实硬度、胶黏性、咀嚼性等,这与甘薯块根[42]的质构响应规律一致,但不同于苹果[36]中形变量与硬度的弱相关性。这种差异可能源于不同水果细胞壁组分与微观结构的特异性:苹果果肉富含致密纤维素网络,质地脆硬且各向同性,形变量对其破坏阈值影响较小;而荔枝果肉以松散果胶基质为主,水分含量高,质地软滑且易受压缩形变干扰,导致TPA 参数敏感性更强[43-44]。另外,TPA 与穿刺测试的响应机制存在本质差异。TPA 通过整体压缩反映果皮-果肉复合体的宏观力学特性,如弹性、回复性,而穿刺测试直接量化果皮抗穿透强度(局部断裂韧性)。整果穿刺和TPA检测时探头均是先接触果皮,然后接触果肉。早蜜和仁山荔的果肉硬度(TPA)极显著高于其他品种(P<0.01),但早蜜与仁山荔的果皮穿刺硬度无显著差异,说明果肉与果皮质构受不同因素的影响。进一步的相关性分析发现,去皮与带皮TPA 部分指标存在相关性(r=0.32~0.81),而穿刺测试与TPA 参数间相关性较弱,这验证了穿刺法能独立表征果皮力学特性,避免果肉质地干扰的结论。结合荔枝采后损耗主因(果皮开裂、褐变)及加工需求(去皮罐头、带皮鲜食),建议果皮质构优先采用穿刺法标准化检测,而TPA 更适用于果实保鲜或果肉品质分级,如耐运输性和加工适用性分析。

TPA 去皮测试下的各质构指标间存在相关性,果肉硬度与弹性、咀嚼性均呈极显著相关(P<0.01)。王彬彬等[45]利用质构仪检测桑葚质地品质也发现硬度与弹性、咀嚼性的相关性极显著(P<0.01);果肉弹性与硬度、果肉挤压做功和咀嚼性呈极显著正相关(P<0.01)。杨玲等[46]和潘秀娟等[47]在苹果上的研究结果显示,弹性与其他指标的相关性不显著,说明不同水果果肉内部组织存在差异。笔者采用固定体积法[2]对荔枝进行TPA 测试,发现切割后果肉硬度值显著降低,意味着刀片切割对组织结构造成了破坏,严重影响果肉原有的质地特征。在贮运过程中,果实是以整体状态接受外界的机械挤压或碰撞,整果压缩获得的质构特征能更好地反映果实的耐贮运情况。本试验中,果实硬度显著高于果肉硬度,二者相关系数高达0.80(P = 0.013),而与果皮强度相关性极低(r=0.07),说明果实硬度与果皮强度无关,硬度主要源自果肉的质地和饱满程度。本次测试的8 个品种中,只有仁山荔和早蜜两种荔枝果肉硬度超过20 N,果肉咀嚼性高于30 mJ,表明这两个品种果肉紧实致密。与此相应的是,仅有这两个品种TPA 检测的果实硬度大于70 N。因此,TPA 带皮压缩法不仅能反映果实整体的耐贮运程度,也在一定程度上反映了果肉质地特征。

因质地上的差异,同一水果不同品种的果实经常带给消费者不同的口感体验,如水晶球枝荔肉质厚实、清甜爽脆,而糯米糍肉质软滑、细嫩多汁[48]。杨植[49]检测了不同枣的口感质地,结果表明枣品种间果实硬度、弹性、咀嚼性、黏附性、凝聚性指标差异较大,口感差异较大;蔡润等[50]对15 个口感型番茄品种的品质指标进行了测定,筛选出了3 个综合品质比较好的品种;王燕霞等[51]应用质构仪质地多面分析法(TPA)和穿刺法比较了不同品种梨果肉的特性,解析了不同质地参数之间的相关性,其中影响较大的因子为果肉硬度、弹性和破裂位移。本研究相关性分析结果表明,果肉硬度与咀嚼性呈极显著正相关(P<0.01),这与在嘎拉和富士苹果[47]、桃[15]、葡萄[52]上的研究结果一致,意味着咀嚼性参数可以作为评价荔枝果肉质地的重要参数。果肉硬度与咀嚼性呈极显著正相关,内聚性与回复性呈极显著正相关,弹性与咀嚼性呈显著正相关,即果肉硬度、咀嚼性、内聚性、回复性可以反映不同荔枝品种的质构性差异。果肉硬度、咀嚼性和回复性的载荷值比较高,说明质构指标间存在紧密的联系。

主成分分析法是将原来具有一定相关性的指标通过降维,重新组合成一组相互无关的综合指标来明确度量各个指标的重要性。本研究利用主成分分析法从8个荔枝品种中的20个果实质构指标中提取了5 个主成分,可反映所有果实质地品质86.26%的信息。综合分析5个主成分的主要特征指标的相关性,果肉硬度、果肉挤压做功、果肉咀嚼性、果实最大位移和穿刺果皮做功可作为不同荔枝品种果实质地评价的核心指标。根据核心评价指标,高硬度的仁山荔和早蜜荔枝可能在冷链运输中更具优势,这一推论后续将结合实际进行试验验证。

果皮质构特性与其结构组成有相关性,如西瓜果皮硬度由果皮细胞结构、内含物含量等多因素决定,与果皮硬度关系紧密的有果皮厚度、果皮韧性、半纤维素含量、外果皮细胞长宽比等[53]。田青兰等[10]也证实西番莲果皮显微结构与果皮的质构参数间存在显著相关性,果皮厚度与TPA 硬度、咀嚼性、穿刺硬度均呈显著正相关,角质层厚度与TPA 硬度呈显著正相关。本研究中,荔枝果皮厚度与穿刺果皮强度、TPA 硬度呈正相关,但未达显著水平,后续将探讨荔枝果皮质构特性与其组织结构的相关性。

4 结 论

本研究通过穿刺试验和TPA建立了鲜食荔枝果实质构特性的标准化评价体系,并揭示了关键参数对测定结果的影响。穿刺试验标准化参数确定为:触发力0.38 N,测试速度0.5 mm·s-1,穿刺深度4 mm;TPA 整果测试优化条件为:触发力0.38 N,测试速度0.5 mm·s-1,形变量20%。8个参试品种中,果肉硬度与内聚性、弹性、咀嚼性和回复性等之间具有密切的相关性。主成分分析显示出种质差异,第一、二主成分可作为品种鉴定的敏感指标。果肉硬度、果肉挤压做功、果肉咀嚼性、果实最大位移和穿刺果皮做功构成影响果实质地的核心指标群。本研究首次系统量化机械参数对荔枝质构测定的影响规律,提出的双模式(穿刺+TPA)联用策略可全面表征果实表皮机械特性和果肉质地特征,并筛选出综合评价荔枝果实质地品质的5 个核心参数,进一步丰富了荔枝果实质地品质评价体系。未来研究重点将会整合感官评价与消费者偏好数据,建立质地指标与市场接受度的定量模型,为品种推广提供精准指导。

参考文献 References:

[1] 潘秋玲,李芳,江芷欣,黄建昌,宋雯佩,马焕基,李娟,李彩琴.基于质构仪的三华李果实质地品质评价[J]. 中国农学通报,2023,39(34):136-142.PAN Qiuling,LI Fang,JIANG Zhixin,HUANG Jianchang,SONG Wenpei,MA Huanji,LI Juan,LI Caiqin. Comprehensive evaluation of Sanhua plum fruits by texture analyzer[J]. Chinese Agricultural Science Bulletin,2023,39(34):136-142.

[2] 崔永宁,陈洁珍,史发超,姜永华,严倩,欧良喜,刘海伦,蔡长河. 基于TPA 法的荔枝资源果肉质地品质分析[J]. 果树学报,2022,39(12):2241-2252.CUI Yongning,CHEN Jiezhen,SHI Fachao,JIANG Yonghua,YAN Qian,OU Liangxi,LIU Hailun,CAI Changhe. Analysis of texture quality of the fruits in litchi based on the texture profile analysis (TPA)[J]. Journal of Fruit Science,2022,39(12):2241-2252.

[3] 李晓,陈科冰,韩明,梁淼,马雨佳,纪晓楠. 基于质构仪穿刺模式的烟叶脆性定量评价方法[J]. 烟草科技,2021,54(6):83-91.LI Xiao,CHEN Kebing,HAN Ming,LIANG Miao,MA Yujia,JI Xiaonan. A quantitative evaluation method for tobacco leaf brittleness based on puncture mode of texture analyzer[J]. Tobacco Science & Technology,2021,54(6):83-91.

[4] 李永红,常瑞丰,张立莎,王召元,陈湖,韩继成,刘国俭. 物性分析仪TPA 测定鲜食桃质构条件的优化[J]. 河北农业科学,2016,20(3):95-100.LI Yonghong,CHANG Ruifeng,ZHANG Lisha,WANG Zhaoyuan,CHEN Hu,HAN Jicheng,LIU Guojian. The optimization of texture determination of fresh peach by using texture analyzer TPA[J]. Journal of Hebei Agricultural Sciences,2016,20(3):95-100.

[5] 李玉梅,李守强,田世龙,王俊舟. 质构仪质地多面分析法检测马铃薯块茎质地参数[J]. 食品工业科技,2016,37(8):92-96.LI Yumei,LI Shouqiang,TIAN Shilong,WANG Junzhou. Texture parameters of potato tubers with texture profile analysis method[J]. Science and Technology of Food Industry,2016,37(8):92-96.

[6] 刘亚平,李红波. 物性分析仪及TPA 在果蔬质构测试中的应用综述[J]. 山西农业大学学报(自然科学版),2010,30(2):188-192.LIU Yaping,LI Hongbo. Review on the application of texture analyzer and TPA in the assessment for fruits and vegetables texture[J]. Journal of Shanxi Agricultural University (Natural Science Edition),2010,30(2):188-192.

[7] 何全光,黄梅华,张娥珍,辛明,黄茂康,覃仁源,黄振勇. 芒果TPA 质构测定优化及不同成熟度芒果质构特性分析[J]. 食品工业科技,2016,37(18):122-126.HE Quanguang,HUANG Meihua,ZHANG Ezhen,XIN Ming,HUANG Maokang,QIN Renyuan,HUANG Zhenyong. Optimization for mango texture profile analysis and characterization of texture to different maturaity of mango[J]. Science and Technology of Food Industry,2016,37(18):122-126.

[8] 马庆华,王贵禧,梁丽松. 质构仪穿刺试验检测冬枣质地品质方法的建立[J]. 中国农业科学,2011,44(6):1210-1217.MA Qinghua,WANG Guixi,LIANG Lisong. Establishment of the detecting method on the fruit texture of Dongzao by puncture test[J]. Scientia Agricultura Sinica,2011,44(6):1210-1217.

[9] 肖璐,郭风军,范新光,张振富,周志才,王美兰. RSM 法分析压缩程度与压缩速率对樱桃番茄TPA 质构特性参数的影响[J]. 食品科技,2014,39(4):257-263.XIAO Lu,GUO Fengjun,FAN Xinguang,ZHANG Zhenfu,ZHOU Zhicai,WANG Meilan. Influence of deformation rate and degree of compression on textural characteristic parameters of cherry tomato in texture profile analysis[J]. Food Science and Technology,2014,39(4):257-263.

[10] 田青兰,张英俊,刘洁云,吴艳艳,韦毅刚,温放,黄伟华,辛子兵,韦弟,牟海飞. 西番莲果皮质构特性和显微结构特征分析[J]. 果树学报,2022,39(12):2365-2375.TIAN Qinglan,ZHANG Yingjun,LIU Jieyun,WU Yanyan,WEI Yigang,WEN Fang,HUANG Weihua,XIN Zibing,WEI Di,MOU Haifei. Analysis of texture characteristics and microstructure of passion fruit pericarp[J]. Journal of Fruit Science,2022,39(12):2365-2375.

[11] 张翔宇,李喜宏,王妍丹,张平,朱志强,李志文. 基于果形和穿刺测试的葡萄浆果质构特性分析[J]. 食品工业科技,2017,38(1):338-343.ZHANG Xiangyu,LI Xihong,WANG Yandan,ZHANG Ping,ZHU Zhiqiang,LI Zhiwen. Analysis of the texture properties in grapes berries based on puncture test and berries shape[J]. Science and Technology of Food Industry,2017,38(1):338-343.

[12] 袁成龙,董晓颖,李培环,李鼎立,段艳欣. TPA 质构分析硬肉桃果实采后质地变化[J]. 食品科学,2013,34(20):273-276.YUAN Chenglong,DONG Xiaoying,LI Peihuan,LI Dingli,DUAN Yanxin. Changes in texture properties of crisp peach during postharvest storage by texture profile analysis[J]. Food Science,2013,34(20):273-276.

[13] 潘少香,刘雪梅,郑晓冬,谭梦男,曹宁,宋烨,闫新焕. 基于质构分析的鲜食草莓质地感官品质综合评价[J]. 食品科技,2023,48(8):37-43.PAN Shaoxiang,LIU Xuemei,ZHENG Xiaodong,TAN Mengnan,CAO Ning,SONG Ye,YAN Xinhuan. Comprehensive evaluation of texture sensory quality of fresh strawberry based on texture analysis[J]. Food Science and Technology,2023,48(8):37-43.

[14] 杜昕美,赵前程,吕可,刘婧懿,程少峰,马永生. 五种苹果质构测定方法的比较及与感官评价的相关性分析[J]. 食品工业科技,2020,41(22):240-246.DU Xinmei,ZHAO Qiancheng,LÜ Ke,LIU Jingyi,CHENG Shaofeng,MA Yongsheng. Comparison of texture determination method and correlation analysis with sensory evaluation of 5 kinds of apple[J]. Science and Technology of Food Industry,2020,41(22):240-246.

[15] 姜松,陈巧林. 水蜜桃在贮藏期间的质地变化规律的研究[J].食品研究与开发,2006,27(5):4-5.JIANG Song,CHEN Qiaolin. Researches on the changing rule of juicy peaches' texture during storage[J]. Food Research and Development,2006,27(5):4-5.

[16] 高海生,贾艳茹,魏建梅,冉辛拓,乐文全. 用物性分析仪检测鸭梨和京白梨果实采后质地的变化[J]. 园艺学报,2012,39(7):1359-1364.GAO Haisheng,JIA Yanru,WEI Jianmei,RAN Xintuo,LE Wenquan. Studies on the post-harvested fruit texture changes of ‘Yali’ and ‘Jingbaili’ pears by using texture analyzer[J]. Acta Horticulturae Sinica,2012,39(7):1359-1364.

[17] 刘莉,高星,华德平,刘翔,李志文,张平,李三培,张少慧. 不同的质构检测方法对甜瓜果肉质构的评价[J]. 天津大学学报(自然科学与工程技术版),2016,49(8):875-881.LIU Li,GAO Xing,HUA Deping,LIU Xiang,LI Zhiwen,ZHANG Ping,LI Sanpei,ZHANG Shaohui. Evaluation of the textural properties of melon flesh by different texture test methods[J]. Journal of Tianjin University (Science and Technology),2016,49(8):875-881.

[18] 杨博文,高倩,徐亚萍,陈卫军,陈海明. 基于质构仪检测成品槟榔硬度方法优化及应用分析[J]. 食品科技,2023,48(3):291-297.YANG Bowen,GAO Qian,XU Yaping,CHEN Weijun,CHEN Haiming. Optimization and application analysis of hardness determination method for betel nut products using texture analyzer[J]. Food Science and Technology,2023,48(3):291-297.

[19] 池毓斌,朱丽娟,黄敏杰,彭真汾,叶清华,张静芳,陈清西,许长同. 鲜食橄榄品质综合评价模型的建立与验证[J]. 果树学报,2017,34(8):1051-1060.CHI Yubin,ZHU Lijuan,HUANG Minjie,PENG Zhenfen,YE Qinghua,ZHANG Jingfang,CHEN Qingxi,XU Changtong. Establishment and verification of a comprehensive evaluation model for quality of fresh Chinese olive[J]. Journal of Fruit Science,2017,34(8):1051-1060.

[20] 陈厚彬,欧良喜,李建国,苏钻贤,杨胜男,吴振先,胡卓炎. 新中国果树科学研究70 年:荔枝[J]. 果树学报,2019,36(10):1399-1413.CHEN Houbin,OU Liangxi,LI Jianguo,SU Zuanxian,YANG Shengnan,WU Zhenxian,HU Zhuoyan. Fruit scientific research in New China in the past 70 years:Litchi[J]. Journal of Fruit Science,2019,36(10):1399-1413.

[21] 董晨,郑雪文,王弋,全振炫,李伟才,胡桂兵. 特早熟早熟荔枝种质果实可溶性糖组分及含量分析[J]. 中国南方果树,2023,52(6):89-91.DONG Chen,ZHENG Xuewen,WANG Yi,QUAN Zhenxuan,LI Weicai,HU Guibing. Analysis of soluble sugar components and contents of fruits in extremely early litchi germplasms[J].South China Fruits,2023,52(6):89-91.

[22] 乔方,黄略略,方长发,张树飞. 深圳“南山荔枝”的品质分析与喜好度研究[J]. 食品工业科技,2013,34(24):355-358.QIAO Fang,HUANG Luelue,FANG Changfa,ZHANG Shufei.Taste characters and hedonic study of three popular lychees (Litchi chinensis Sonn.) in Shenzhen[J]. Science and Technology of Food Industry,2013,34(24):355-358.

[23] 黄略略,乔方,方长发,张树飞. 荔枝新品种井岗红糯及岭丰糯的果实品质与耐贮性研究[J]. 农产品加工,2015(3):33-37.HUANG Luelue,QIAO Fang,FANG Changfa,ZHANG Shufei.The fruit quality and storability of new lychee cultivars Jingganghongnuo and Lingfengnuo[J]. Farm Products Processing,2015(3):33-37.

[24] 马冀恒,李雯,陈明敏,曾教科. 不同处理对采后芒果质构的影响[J]. 保鲜与加工,2021,21(12):10-15.MA Jiheng,LI Wen,CHEN Mingmin,ZENG Jiaoke. Effects of different treatments on texture of postharvest mango fruits[J].Storage and Process,2021,21(12):10-15.

[25] 刘剑锋,李国怀,彭抒昂,程云清. 秋子梨的果皮结构与果实的耐贮性[J]. 园艺学报,2007,34(4):1007-1010.LIU Jianfeng,LI Guohuai,PENG Shuang,CHENG Yunqing.Pericarp structure and storage quality of Pyrus ussuriensis fruits[J]. Acta Horticulturae Sinica,2007,34(4):1007-1010.

[26] 林河通,陈绍军,席玙芳,郭素枝. 龙眼果皮微细结构的扫描电镜观察及其与果实耐贮性的关系[J]. 农业工程学报,2002,18(3):95-99.LIN Hetong,CHEN Shaojun,XI Yufang,GUO Suzhi. Observation on pericarp ultrastructure by scanning electron microscope and its relation to keeping quality of Longan fruit[J]. Transactions of the Chinese Society of Agricultural Engineering,2002,18(3):95-99.

[27] GIONGO L,AJELLI M,POTTORFF M,PERKINS-VEAZIE P,IORIZZO M. Comparative multi-parameters approach to dissect texture subcomponents of highbush blueberry cultivars at harvest and postharvest[J]. Postharvest Biology and Technology,2022,183:111696.

[28] 廖美敬. 增城荔枝[M]. 北京:中国农业出版社,2018:20-68.LIAO Meijing. Zengcheng lichi[M]. Beijing:China Agriculture Press,2018:20-68.

[29] 陈洁珍. 荔枝种质资源描述规范及数据标准研究[D]. 长沙:湖南农业大学,2005.CHEN Jiezhen. Studies on descriptors and data standard for litchi (Litchi chinensis Sonn.)[D]. Changsha:Hunan Agricultural University,2005.

[30] HAJARE S N,SAXENA S,KUMAR S,WADHAWAN S,MORE V,MISHRA B B,NARAYAN PARTE M,GAUTAM S,SHARMA A. Quality profile of litchi (Litchi chinensis) cultivars from India and effect of radiation processing[J]. Radiation Physics and Chemistry,2010,79(9):994-1004.

[31] 陈蔚辉,李昶炎,彭珩,张福平,黄俊生. 不同品种百香果品质评价及质构分析[J]. 韩山师范学院学报,2020,41(3):53-60.CHEN Weihui,LI Changyan,PENG Heng,ZHANG Fuping,HUANG Junsheng. Quality evaluation and texture analysis of Passiflora edulis of different varieties[J]. Journal of Hanshan Normal University,2020,41(3):53-60.

[32] 周靖宇,薄艳红,解小锋,白瑞亮,梁静,杨明冠,韩燕苓,孙锐.无花果果实质地测定参数优化及质地特性分析[J]. 经济林研究,2020,38(3):258-264.ZHOU Jingyu,BO Yanhong,XIE Xiaofeng,BAI Ruiliang,LIANG Jing,YANG Mingguan,HAN Yanling,SUN Rui. Optimization of texture measurement parameters and characteristics analysis of fig fruit[J]. Non-wood Forest Research,2020,38(3):258-264.

[33] 余恺,胡卓炎,余小林,佘凌苹,王东峰,陈昌实,黄智洵. 荔枝果肉质构特性测定参数的研究[J]. 中国食品学报,2006,6(1):101-105.YU Kai,HU Zhuoyan,YU Xiaolin,SHE Lingping,WANG Dongfeng,CHEN Changshi,HUANG Zhixun. Effects of testing parameters on texture measurement of litchi fruit[J]. Journal of Chinese Institute of Food Science and Technology,2006,6(1):101-105.

[34] 胡丽丽,牛丽影,李大婧,张钟元,肖丽霞,鲁茂林. 质构仪探头选择及样品处理对草莓脯TPA 测定结果的影响[J]. 食品研究与开发,2022,43(5):170-176.HU Lili,NIU Liying,LI Dajing,ZHANG Zhongyuan,XIAO Lixia,LU Maolin. The influence of texture analyzer probe selection and sample preparation on the texture parameters of dried strawberry[J]. Food Research and Development,2022,43(5):170-176.

[35] CONDE-PETIT B. Food texture and viscosity:Concept and measurement[J]. LWT - Food Science and Technology,2003,36(2):281.

[36] 邵兴锋,朱勇,张春丹. 测试因素对苹果质地剖面分析结果的影响[J]. 中国食品学报,2011,11(6):199-205.SHAO Xingfeng,ZHU Yong,ZHANG Chundan. The influence of measurement factors on the results of texture profile analysis of apple fruit[J]. Journal of Chinese Institute of Food Science and Technology,2011,11(6):199-205.

[37] 何秀娟,仝铸,肖翠,王泽琼,徐育海,孙中海,邱文明. 基于穿刺测试和TPA 法的板栗果实质地分析[J]. 保鲜与加工,2023,23(9):59-68.HE Xiujuan,TONG Zhu,XIAO Cui,WANG Zeqiong,XU Yuhai,SUN Zhonghai,QIU Wenming. Analysis of texture properties of chestnut kernel based on puncture test and texture profile analysis[J]. Storage and Process,2023,23(9):59-68.

[38] 王彬彬,李娜,贾漫丽,范伟,陈秀灵,卢锴锋,李季生,孟庆伟. 不同桑品种桑葚质构特征比较[J]. 北方蚕业,2022,43(4):14-21.WANG Binbin,LI Na,JIA Manli,FAN Wei,CHEN Xiuling,LU Kaifeng,LI Jisheng,MENG Qingwei. Texture comparison of different mulberry cultivars[J]. North Sericulture,2022,43(4):14-21.

[39] 贾艳茹,魏建梅,高海生. 质构仪在果实品质测定方面的研究与应用[J]. 食品科学,2011,32(增刊1):184-186.JIA Yanru,WEI Jianmei,GAO Haisheng. Study and application of texture analyzer in the assessment for fruits and vegetables texture[J]. Food Science,2011,32(Suppl. 1):184-186.

[40] GIONGO L,PONCETTA P,LORETTI P,COSTA F. Texture profiling of blueberries (Vaccinium spp.) during fruit development,ripening and storage[J]. Postharvest Biology and Technology,2013,76:34-39.

[41] 曹源,史秋兰. 优化TPA 测定南疆冬枣质构特性条件[J]. 安徽农业科学,2014,42(18):5947-5949.CAO Yuan,SHI Qiulan. Optimization of determining the textural properties of winter jujube in south Xinjiang by TPA[J]. Journal of Anhui Agricultural Sciences,2014,42(18):5947-5949.

[42] 潘超,陈春晓,叶夏芳,吴鑫,陈丽,陆国权. 甘薯块根质构特性的检测方法优化[J]. 保鲜与加工,2018,18(2):94-99.PAN Chao,CHEN Chunxiao,YE Xiafang,WU Xin,CHEN Li,LU Guoquan. Optimization of detection method of the texture properties of sweet potato root tuber[J]. Storage and Process,2018,18(2):94-99.

[43] 任凯,陶康,于政鲜,陈圆洪,王水兴. TPA 测试条件对豆腐质构测试结果的影响[J]. 中国调味品,2019,44(9):29-32.REN Kai,TAO Kang,YU Zhengxian,CHEN Yuanhong,WANG Shuixing. Effects of testing conditions on texture profile analysis (TPA) of tofu[J]. China Condiment,2019,44(9):29-32.

[44] 朱津津,潘治利,谢新华,索标,岳宗阳,艾志录. 汤圆TPA 质构特性测试条件的优化[J]. 食品科学,2013,34(6):171-174.ZHU Jinjin,PAN Zhili,XIE Xinhua,SUO Biao,YUE Zongyang,AI Zhilu. Optimization of testing conditions for TPA analysis of rice dumplings[J]. Food Science,2013,34(6):171-174.

[45] 王彬彬,李娜,贾漫丽,陈秀灵,范伟,夏爱华,高玉军,李季生. 质构仪检测桑葚质地品质的方法研究[J]. 果树学报,2021,38(11):2014-2020.WANG Binbin,LI Na,JIA Manli,CHEN Xiuling,FAN Wei,XIA Aihua,GAO Yujun,LI Jisheng. Measuring texture quality of mulberry fruit using a texture analyser[J]. Journal of Fruit Science,2021,38(11):2014-2020.

[46] 杨玲,肖龙,王强,张彩霞,丛佩华,田义. 质地多面分析(TPA)法测定苹果果肉质地特性[J]. 果树学报,2014,31(5):977-985.YANG Ling,XIAO Long,WANG Qiang,ZHANG Caixia,CONG Peihua,TIAN Yi. Study on texture properties of apple flesh by using texture profile analysis[J]. Journal of Fruit Science,2014,31(5):977-985.

[47] 潘秀娟,屠康. 质构仪质地多面分析(TPA)方法对苹果采后质地变化的检测[J]. 农业工程学报,2005,21(3):166-170.PAN Xiujuan,TU Kang. Comparison of texture properties of post-harvested apples using texture profile analysis[J]. Transactions of the Chinese Society of Agricultural Engineering,2005,21(3):166-170.

[48] 梁辉,戴志远. 物性分析仪在食品质构测定方面的应用[J]. 食品研究与开发,2006,27(4):119-121.LIANG Hui,DAI Zhiyuan. Application of texture analyzer in the assessment for food texture[J]. Food Research and Development,2006,27(4):119-121.

[49] 杨植,王振磊. 基于TPA 法评价枣果实质地及聚类分析[J]. 新疆农业科学,2019,56(10):1860-1868.YANG Zhi,WANG Zhenlei. Evaluation and cluster analysis of jujube fruit texture based on TPA method[J]. Xinjiang Agricultural Sciences,2019,56(10):1860-1868.

[50] 蔡润,孙正梁,胡京昂,宫海军,张颜. 不同口感型番茄品种的品质鉴定及多元统计分析[J]. 中国蔬菜,2023(11):87-97.CAI Run,SUN Zhengliang,HU Jing’ang,GONG Haijun,ZHANG Yan. Quality identification and multivariate statistical analysis of different palatable tomato varieties[J]. China Vegetables,2023(11):87-97.

[51] 王燕霞,王晓蔓,关军锋. 梨果肉质地性状分析[J]. 中国农业科学,2014,47(20):4056-4066.WANG Yanxia,WANG Xiaoman,GUAN Junfeng. Flesh texture characteristic analysis of pear[J]. Scientia Agricultura Sinica,2014,47(20):4056-4066.

[52] 李志文,张平,张昆明,任朝辉. 1-MCP 结合冰温贮藏对葡萄果实质地的影响[J]. 农业机械学报,2011,42(7):176-181.LI Zhiwen,ZHANG Ping,ZHANG Kunming,REN Zhaohui.Effect of 1-methylcyclopropene combined with controlled freezing-point storage on texture of grape fruit[J]. Transactions of the Chinese Society for Agricultural Machinery,2011,42(7):176-181.

[53] 王学征,杨天天,刘争,孙蕾,朱子成,高鹏,刘识,栾非时. 西瓜果皮硬度相关性状分析[J]. 东北农业大学学报,2020,51(2):35-44.WANG Xuezheng,YANG Tiantian,LIU Zheng,SUN Lei,ZHU Zicheng,GAO Peng,LIU Shi,LUAN Feishi. Analysis on hardness related characters of watermelon rind[J]. Journal of Northeast Agricultural University,2020,51(2):35-44.

Analysis of the textural properties of litchi fruit using puncture and TPA methods

LI Chunyan, SHI Fachao, WEN Yingjie, LIU Hailun, YAN Qian, JIANG Yonghua*

(Institute of Fruit Tree Research, Guangdong Academy of Agricultural Sciences/Key Laboratory of South Subtropical Fruit Biology and Genetic Resource Utilization, Ministry of Agriculture and Rural Affairs/Guangdong Provincial Key Laboratory of Science and Technology Research on Fruit Tree, Guangzhou 510640, Guangdong, China)

Abstract:【Objective】 This study aims to explore the testing conditions and methods suitable for the texture characteristics of litchi fruit through whole fruit puncture test and Texture Profile Analysis(TPA). Puncture test refers to the use of a millimeter diameter probe to puncture a sample, which can determine the hardness and brittleness of the sample, and it is also commonly used for peel analysis. TPA testing simulates the chewing motion of the human oral cavity and compresses the sample twice. This process can determine the texture parameters such as hardness, adhesion, elasticity, cohesion, and chewiness of the sample. Meanwhile, through variance analysis, correlation analysis, principal component analysis, and cluster analysis of the texture parameters of different lychee varieties, a preliminary quantitative evaluation method for lychee fruit quality was established. 【Methods】 This study used mature Shuidong fruits as experimental materials. Firstly, physiological indicator data of fresh fruits were collected, including fruit weight, fruit volume, fruit size, etc. Then, using puncture and TPA methods, referring to relevant literature, single factor tests were conducted on indicators such as deformation, testing speed, puncture depth, and trigger force. To clarify the optimal conditions for determining the texture of lychee fruit, we set multiple gradients for each detection factor in this experiment. Prior to the start of the formal experiment, pre-experiments were conducted on the test samples and basic testing conditions. And three fruit texture analysis and testing modes have been established:whole fruit puncture method, whole fruit TPA method, and whole fruit peeling TPA method. During testing, the suture line of the fruit is parallel to the storage platform, with the highest point on the sunny side as the testing point.Five fruits were measured for each treatment. In addition, this study used 8 lychee cultivars including Shuidong, Feizixiao, Chiye, Renshanli, Zaomi, Heiye, Leiling Xiaolingxiang, and Ziniangxi as experimental materials to analyze and evaluate the texture of lychees and test the adaptability of the optimal conditions. 【Results】 (1) The results of the single factor experiment showed that the optimal parameters for detecting lychee fruit peel by puncture method were puncture depth of 4 mm, testing speed of 0.5 mm·s-1, and triggering force of 0.38 N; The optimal testing level for TPA testing of lychee whole fruit(with and without skin) is a deformation of 20%, a testing rate of 0.5 mm·s-1, and a triggering force of 0.38 N. (2) The analysis of fruit texture parameters of different lychee varieties showed that there were differences in texture indicators between each variety in the puncture test and TPA test. Among them, in the puncture test, the variation amplitude of peel strength was the smallest, with a coefficient of variation of 14.35%. The peel strength of Feizixiao was the highest, significantly higher than the other seven varieties; In the TPA whole fruit with skin analysis, the recovery of Feizixiao was significantly higher than that of other varieties except for Chiye; In the whole fruit peeling TPA experiment, the chewiness of the flesh of Renshanli and Zaomi was significantly higher than that of other varieties (P<0.05),while there was no significant difference in the chewiness of the flesh of Heiye, Shuidong, Leiling Lilac, and Ziniangxi. (3) The correlation analysis of texture indicators of different lychee varieties showed that the skin hardness was very significantly and positively correlated with the maximum displacement of the peel and the penetration of the fruit peel (P<0.01), the hardness of the fruit flesh was highly significantly and positively correlated with chewiness (P<0.01), and highly significantly and negatively correlated with cohesiveness and resilience (P<0.01). Elasticity and chewiness were highly significantly and positively correlated (P<0.01). These results indicated that important indicators in the puncture test included peel hardness, peel maximum displacement, and puncture work, while important indicators in the TPA test included fruit hardness, cohesiveness, resilience, chewiness, and elasticity. (4) Using principal component analysis, 6 factors were extracted from 28 indicators (phenotype indicators and texture analyzer parameter indicators), with a cumulative variance contribution rate of 87.90%, representing the vast majority of texture characteristics, which can basically analyze the main reasons for the diversity between different lychee germplasm resources. The first and second principal components can be used as important indicators for variety identification. Fifteen indicators with load values greater than 0.8 were extracted for cluster analysis, and the texture indicators were divided into three categories. Eight lychee cultivars were also divided into three categories, indicating that the selected important indicators can be used to distinguish the texture characteristics of different lychee fruits. 【Conclusion】Compared with TPA test, whole fruit puncture test is more suitable for analyzing the texture of fruit skin. In TPA, the compression of whole fruit with skin can also reflect the texture characteristics of fruit flesh to a certain extent. This study preliminarily determined the standardized parameters for lychee puncture test and TPA test and screened out the core indicator group that can be used to evaluate the texture characteristics of lychee fruit. The combination of puncture method and TPA method can effectively distinguish the texture differences between different germplasm resources, enriching the content of lychee texture evaluation.

Key words:Litchi; Puncture method; Texture profile analysis (TPA); Fruit texture; Germplasm resource

中图分类号:S667.1

文献标志码:A

文章编号:1009-9980(2026)02-0439-18

DOI:10.13925/j.cnki.gsxb.20250157

收稿日期:2025-04-07

接受日期:2025-08-18

基金项目:广东省乡村振兴战略专项资金:荔枝加工特性和经济性效益分析研究(2025TS-2-5);广东省财政专项种业振兴行动项目:农作物种质资源精准鉴定(2025-NBH-00-001);广东省乡村振兴战略专项资金种业振兴行动:耐贮运荔枝种质资源挖掘与品种培育(2025-NPY-00-001);广州市科技计划项目:晚熟、耐贮运、优质荔枝新品种选育及高效栽培技术研究(2023B01J2002)

作者简介:李春燕,女,科研助理,学士,主要从事荔枝采后生理及贮藏保鲜技术研究。E-mail:lichunyanes77@163.com

*通信作者Author for correspondence. E-mail:jiangyonghua@gdaas.cn