基于产量、品质及水肥利用效率的核桃水肥耦合方案寻优

叶尔扎提·叶尔哈孜1,夏邱浩1,陈天财1,Mian Muhammad Ahmed1,吾尔肯·努尔达吾列提1,张 锐1,杨桂燕2,丁洋洋3,郭众仲1*

1塔里木大学园艺与林学学院·南疆特色果树高效优质栽培与深加工技术国家地方联合工程实验室·兵团南疆特色林果技术创新中心,新疆阿拉尔 843300; 2西北农林科技大学林学院核桃工程技术研究中心,陕西咸阳 712100; 3新疆生产建设兵团第一师三团农业和林业草原中心,新疆阿拉尔 843300)

摘 要:【目的】探究核桃产量和水分利用率的水肥耦合效应并获得最佳水肥方案。【方法】以新疆生产建设兵团第一师阿拉尔市三团温185核桃品种为试材,通过开展田间小区水肥耦合试验,设2个灌水水平,分别为W1:500 m3·666.7 m-2,W2:400 m3·666.7 m-2,以产量为目标设置250、300 和350 kg·666.7 m-2 3 个梯度施肥量,共计6 个水肥耦合处理,以农户常规管理为对照(CK),分析不同水肥耦合方案对核桃果实品质、产量及水肥利用率的影响,通过回归模型进行求解。【结果】核桃产量、水分利用率和肥料偏生产力随着水肥二因子增加呈先升后降趋势;灌水对核桃产量和水分利用率的影响程度小于施肥;水肥耦合对核桃产量和水分利用率有正交互作用。【结论】核桃生育期最佳水肥方案为灌水量498.12 m³·666.7 m-2,施肥量139.72 kg·666.7 m-2。在此方案下,核桃的脂肪含量、产量、水分利用效率和肥料偏生产力分别达到59.08%、410.73 kg·666.7 m-2、0.75 kg·m-3和44.44 kg·m-3

关键词:核桃;微喷灌;水肥耦合;水分利用效率;肥料偏生产力

核桃(Juglans regia L.)作为重要的生态经济树种,在我国的种植面积和产量均居世界第一位。新疆是我国核桃的主产区之一[1],在核桃栽培过程中,水肥管理作为关键的农艺措施是提升作物产量与品质的核心因素[2]。然而,新疆南疆地区土壤沙性强,蒸发量大,传统的漫灌方式虽然操作简单、成本低廉,但效率极低,大量水资源因蒸发、渗透而无法被作物有效利用[3]。水肥一体化作为一种高效精准的灌溉技术[4],能够准确地将作物所需的水肥输送至根区,从而达到节水、增产、省力的效果[5],可减少水分蒸发和流失,提高水肥利用率,避免肥液分布不均和挥发。因此开展节水灌溉及水肥一体化研究对新疆核桃的提质增效具有重要意义。

水肥耦合对作物的产量、品质及养分利用效率具有显著的促进作用[6]。前人在节水灌溉背景下,作物水肥一体化研究已在灌溉制度优化与养分高效利用等方面取得大量成果[7-10]。众多研究表明,节水灌溉水肥一体化技术相对常规水肥处理方式能够显著提高作物产量100~150 kg·666.7 m-2[11-13],产量与灌水量和施肥量呈正相关,且增加灌水量降低施肥量,肥料偏生产力提高[14-15];增加施肥量降低灌水量,水分利用效率提高[16]。已有研究表明,草莓、玉米、核桃等作物的生长指标、品质和产量用二次回归模型表示拟合度较好,相关系数达到0.8 以上[17-19]。笔者以新疆生产建设兵团第一师阿拉尔市三团温185 核桃品种为试材,开展基于微喷灌条件下水肥耦合施用对核桃树生长发育、水肥利用率、果实品质和产量影响的研究,构建水肥利用率与品质及产量的模型,以期为核桃高效节水节肥栽培提供理论依据和技术支撑。

1 材料和方法

1.1 试验地概况

试验的核桃树选取于新疆生产建设兵团第一师阿拉尔市三团16连,品种为温185,树龄16 (a年),种植模式为南北行向种植,株行距5 m×6 m。园地土壤为壤砂土。土壤化学性质为:碱解氮含量(w,后同)19.32 mg·kg-1,速效磷含量32.67 mg·kg-1,速效钾含量77.21 mg·kg-1,pH为7.69,电导率为682.56 μS·cm-1

供试肥料:尿素(N 含量≥46%);硫酸钾(K2SO4含量≥52%);一铵(N含量≥13%、P含量≥27%)

对照:磷酸二氢钾(KH2PO4 含量≥99%、P2O5 含量≥52%、K2O 含量≥34%)、复合肥料(N-P2O5-K2O 含量≥45%、S 含量≥16%)、硫酸钾镁肥(K2O 含量≥24%、S 含量≥16%、Mg 含量≥6%)、含褐藻寡糖尿素(N含量≥45%)

1.2 试验设计

2024 年核桃生育期间,试验于地势平坦、土壤质地均匀、树势一致且远离边际效应的代表性园区实施,采用完全随机设计。灌溉分3 个阶段:春灌(3月5—25 日,漫灌)、微喷灌(5 月1 日至9 月1 日,节水灌溉)、冬灌(11月5—10日,漫灌),其余管理同大田一致。试验设灌水量与施肥量双因素,根据前人的试验结果确定适宜的灌水量[20],总结确定两个灌水水平:W1(500 m3·666.7 m-2)和W2(400 m3·666.7 m-2);施肥量依据250、300、350 kg·666.7 m-2 三种目标产量设定3个梯度,并以农户常规管理(600 m3·666.7 m-2灌水量,经验施肥150 kg·666.7 m-2)为对照。每个处理3次重复,每重复3株树,肥料随水滴施,具体方案见表1、表2。

表1 核桃树灌水试验设计
Table 1 Experimental design of irrigation of walnut

灌水次序Irrigation sequence灌水日期Irrigation date灌水周期Irrigation cycle/d W2春灌 Spring irrigation 1 2 3 4 5 6 7 6 6 6 6 6 6 6冬灌 Winter irrigation合计Total 03-05—03-25 05-01—05-07 05-17—05-23 06-03—06-09 06-19—06-25 07-05—07-11 07-21—07-27 08-25—09-01 11-05—11-10灌水定额Irrigation quota/(m3·666.7 m-2)W1 100 45 45 45 45 40 40 40 100 500 100 29 29 29 29 28 28 28 100 400

表2 核桃树施肥试验设计
Table 2 Experimental design of fertilization of walnut (kg·666.7 m-2

施肥时间Fertilization date 05-01—05-07 05-17—05-23 06-03—06-09 06-19—06-25 07-05—07-11 07-21—07-27 08-25—09-01 F1尿素Urea 7.4 7.4 7.4 3.2 3.2 3.2 3.2一铵Monoam monium 5.2 5.2 5.2 5.5 5.5 5.5 5.5硫酸钾Potassium sulfate 1.42 1.42 1.42 2.50 2.50 2.50 2.50 F2尿素Urea 8.00 8.00 8.00 3.75 3.75 3.75 3.75一铵Monoam monium 5.700 5.700 5.700 8.125 8.125 8.125 8.125硫酸钾Potassium sulfate 0.800 0.800 0.800 3.125 3.125 3.125 3.125 F3尿素Urea 10.67 10.67 10.67 6.25 6.25 6.25 6.25一铵Monoam monium 5.670 5.670 5.670 9.375 9.375 9.375 9.375硫酸钾Potassium sulfate 1.00 1.00 1.00 3.75 3.75 3.75 3.75

1.3 测试指标及方法

1.3.1 叶片叶绿素含量测定 选择核桃树冠外围东、南、西、北4 个方向结果枝叶片顶叶下的第一小叶,在活体条件下利用叶绿素仪(SPAD-502)测定叶片叶绿素含量,每个处理5次重复,每重复3株树。

1.3.2 果实品质测定 核桃成熟后,按处理方法从树体东、西、南、北4个方向随机采集果实30个以上,组成混合样带回实验室,利用数显游标卡尺(精确度0.01 mm)分别测量干果的纵径(V,cm)和横径(H,cm),通过果实纵径、横径的比值计算果形指数。利用电子天平(0.001 g)称单果质量和单个核仁质量(g),计算干果平均单果质量、核仁质量和出仁率,并烘干用于测定果实内在品质。

采用考马斯亮蓝法测定可溶性蛋白含量[21],采用3,5-二硝基水杨酸法测定还原糖含量[22],采用蒽酮-硫酸法测定总糖和纤维素含量[23],采用福林酚法测定总酚含量[24],采用分光光度法测定单宁含量[25],使用主动式全自动脂肪测定仪(SAE-D6 济南阿尔瓦)测定脂肪含量。

于果实成熟期,对试验株坐果数量进行全株统计,估算产量。

1.3.3 水肥利用效率 由于试验区位于新疆阿克苏地区,属于温带大陆性气候,在核桃生育期内无超过5 mm 的有效降水,且地下水位较深,因此视为无地下水补给。肥料为全生育期投入的尿素、一铵和硫酸钾的总量,水肥利用效率由水分利用效率和肥料偏生产力表示,计算公式如下[26]

式中,WUE 为水分利用效率,Y 为总产量;W 为全生育期作物每666.7 m2耗水量,PFP 为肥料偏生产力,F为种植期间每666.7 m2总施肥量。

1.4 NSGA-Ⅱ算法

NSGA-Ⅱ的原理是随机产生规模为N的初始种群,在完成非支配排序后通过遗传算法的交叉、选择、变异3 个操作,再进行拥挤度计算,最后产生新的子代种群;依此类推,直到满足结束的条件。NSGA-Ⅱ相较于以前的遗传算法的优点是引入了非支配排序、提出拥挤度以及引入精英策略等。非支配排序利用Pareto 最优解是将种群中的个体进行分级,挑选出个体中较为优异的;拥挤度是比较个体的优异程度;精英策略则提高了种群的多样性和计算效率。

为了提升数据的可比性,便于直观比较数据,提高数据精度,采用将数据标准化的方法,对不同处理的核桃整个生育周期的灌水量和施肥量进行标准化处理,得到标准化数据的编码值(表3)。标准化公式为:

表3 试验因子编码表
Table 3 Test factor coding table

处理Treatment W1F1 W1F2 W1F3 W2F1 W2F2 W2F3对照Control灌水量编码值X1 Coding value of irrigation amount X1 0.408 2 0.408 2 0.408 2-1.020 6-1.020 6-1.020 6 1.837 1施肥量编码值X2 Coding value of fertilization amount X2-1.167 5-0.419 2 0.750 8-1.167 5-0.419 2 0.750 8 1.671 5灌水量Irrigation amount/(m3·666.7 m-2)500 500 500 400 400 400 600施肥量Fertilizer amount/(kg·666.7 m-2)86.86 103.50 129.52 86.86 103.50 129.52 150.00

式中,X 为数据进行标准化之后的编码值;Xi是将进行标准化编码处理的数据;X 为数据的均值;σ为数据的标准差。

笔者以灌水量和施肥量的编码值作为两因素,将试验设置的灌水施肥梯度的编码值作为约束条件,对核桃的脂肪含量、产量、水分利用效率和肥料偏生产力采用二元二次回归拟合,得到回归模型,再建立由脂肪含量、产量、水分利用效率和肥料偏生产力组成的关于NSGA-Ⅱ算法的四目标优化模型。

1.5 数据统计分析

采用Excel 和MATLAB 对数据进行整理和作图,采用Stata 软件进行差异显著性检验和方差分析。通过建立关于核桃的水肥利用率、果实品质和产量的二元二次回归模型,并采用非支配排序的遗传算法(NSGA-Ⅱ)对回归模型进行验证求解,模拟出最优的产量、品质和水肥利用率。

2 结果与分析

2.1 水肥耦合对核桃树叶片叶绿素含量的影响

笔者分析了不同水肥处理下核桃叶片SPAD 值的动态变化,结果如图1所示,整体呈先缓慢上升后下降并趋于平缓的趋势。在果实膨大期(5 月27日),W1F3 处理的核桃叶片SPAD 值均高于其他处理,且与W2F1 处理呈显著差异,是W2F1 处理的1.03 倍。在硬核期(6 月14 日),W2F1 处理的叶片SPAD值均高于其他处理,在硬核期(7月1日),所有处理的叶片SPAD 值均高于对照,最高为W1F3 处理,为50.13,是对照的1.1 倍。在油脂转化期(7 月15日),W1F3处理的叶片SPAD值高于其他处理;在油脂转化期(7 月29 日),W1F2 处理叶片SPAD 值最高,为46.5,与W1F1 处理呈显著差异。在成熟期(9月5 日),W1F3 处理的叶片SPAD 值高于其他处理,是W2F1 处理的1.11 倍;且除W1F1 和W2F2 处理外,与其他处理均呈显著差异。以上结果表明,水肥耦合处理显著影响核桃叶片叶绿素积累动态,不同生育期需匹配差异化的水肥管理策略以维持叶片的光合效能。

图1 水肥耦合对核桃树不同生育期叶片SPAD 值的影响
Fig. 1 Effects of water and fertilizer coupling on leaf SPAD values at different growth stages of walnut

2.2 水肥耦合对核桃树果实品质的影响

不同水肥耦合对核桃果实品质的影响如表4 所示。总酚含量变化范围为7.18~13.04 mg·g-1,其中W2F3 处理最高,较W1F1 处理显著提高26.97%。除W1F2、W2F2和对照外,W1F1处理与其他处理均呈显著差异。说明适度水分胁迫叠加高氮负荷可显著激活苯丙烷代谢通路,促进酚类次生代谢物的积累。可溶性蛋白含量相对集中(1.86~2.03 mg·g-1),对照高于其他处理,但不同处理间差异均不显著。水肥减量并未带来蛋白富集效应,反而在充分灌溉条件下更易维持蛋白库容。纤维素含量在0.47%~0.84%波动,W2F2处理显著高于其他处理,是W1F1处理的1.79 倍。单宁含量在3.76~5.26 mg·g-1之间,对照最高,为W1F1 处理的1.40 倍,且与其他处理均呈显著差异。总糖含量呈0.28%~0.59%的宽幅变化,W2F2 处理最高,较W2F3 处理显著提高0.08 个百分点,也显著高于其他处理,说明轻度水分胁迫配合中量施肥可显著促进碳水化合物积累,实现糖浓缩效应。还原糖含量介于0.37%~0.61%之间,W2F1处理最高,较W2F3 处理显著提高0.24 百分点,除W1F1 和W1F3 外,与其他处理均呈显著差异,说明低氮负荷更有利于还原糖的稳定累积。脂肪含量变化范围为58.67%~66.00%,W2F2 处理含量最高,是W2F3 处理的1.12 倍,除W1F3 和W2F1 处理外,与其他处理均呈显著差异。以上结果说明,不同水肥耦合处理对核桃果实品质有显著影响,特定的水肥组合能够显著提升果实糖类物质和脂肪含量等品质指标。这为优化核桃生产中的水肥管理提供了科学依据,有助于通过精准调控水肥投入来提升核桃果实的综合品质。

表4 水肥耦合对核桃树果实品质的影响
Table 4 Effects of water and fertilizer coupling on fruit quality of walnut

注:同列不同小写字母表示处理间在0.05 水平差异显著。下同。
Note:Different small letters in the same column indicate significant difference at 0.05 level. The same below.

处理Treatment W1F1 W1F2 W1F3 W2F1 W2F2 W2F3对照Control w(总酚)Total phenol content/(mg·g-1)10.27±1.19 bc 9.15±0.59 c 7.18±0.54 d 10.71±0.62 b 9.56±0.52 bc 13.04±0.52 a 9.49±0.60 c w(可溶性蛋白)Soluble protein content/(mg·g-1)1.97±0.04 a 1.98±0.08 a 1.90±0.11 a 1.94±0.19 a 1.94±0.03 a 1.86±0.02 a 2.03±0.24 a w(纤维素)Cellulose content/%0.47±0.04 e 0.73±0.05 bc 0.72±0.06 bc 0.62±0.03 d 0.84±0.05 a 0.64±0.07 cd 0.74±0.04 b w(单宁)Tannin content/(mg·g-1)3.76±0.48 b 4.21±0.11 b 4.05±0.43 b 4.29±0.54 b 4.28±0.48 b 4.37±0.59 b 5.26±0.63 a w(总糖)Total sugar content/%0.45±0.02 c 0.32±0.06 d 0.54±0.02 b 0.49±0.01 c 0.59±0.01 a 0.28±0.02 d 0.54±0.03 b w(还原糖)Reducing sugar content/%0.55±0.02 ab 0.38±0.03 cd 0.58±0.07 ab 0.61±0.04 a 0.45±0.05 c 0.37±0.04 d 0.53±0.03 b w(脂肪)Fat content/%61.00±1.00 bc 61.00±1.00 bc 61.67±4.93 abc 64.33±2.08 ab 66.00±2.65 a 58.67±3.79 c 59.00±1.73 c

2.3 水肥耦合对核桃树产量及外观品质的影响

不同水肥耦合对核桃果实外观品质的影响如表5所示。果实最大横径为32.02 mm(W1F1),较最小30.83 mm(W1F3)显著增大3.86%;最大纵径为38.31 mm(W2F2),比对照的36.42 mm 显著增大5.19%。壳厚分布介于0.74~1.09 mm 之间,对照最厚,显著大于其他处理,是W1F1 处理的1.47 倍,表明过度水肥供应显著促进内果皮木质化沉积。单果质量变化范围为9.12~10.45 g,W1F3 处理显著高于除对照外的所有处理。仁质量在6.15~7.38 g 之间,除对照外,W1F1处理和W1F3处理均显著大于其他处理,说明高水条件下仁充实度对氮肥水平更为敏感。出仁率波动于66.86%~76.33%之间,W1F1 处理显著高于W2F1、W2F3 和对照,揭示适度增水减氮有利于提高可食部分比例。产量指标变化范围为231.86~374.81 kg·666.7 m-2,W1F3 处理最高,与其他处理均呈显著差异。

表5 水肥耦合对核桃树产量及果实外观品质的影响
Table 5 Effects of water and fertilizer coupling on yield and fruit appearance quality of walnut

处理Treatment W1F1 W1F2 W1F3 W2F1 W2F2 W2F3对照Control横径Transverse diameter/mm 32.02±0.55 a 31.70±0.28 ab 30.83±0.43 b 31.15±0.93 ab 31.93±0.67 ab 31.48±0.18 ab 31.54±0.94 ab纵径Longitudinal diameter/mm 37.51±0.95 ab 37.75±0.59 ab 36.58±0.46 b 36.81±0.78 b 38.31±0.59 a 37.03±0.18 ab 36.42±1.63 b壳厚Shell thickness/mm 0.82±0.05 b 0.74±0.06 b 0.75±0.04 b 0.84±0.05 b 0.82±0.01 b 0.81±0.04 b 1.09±0.13 a单果质量Mass per fruit/g 9.57±0.15 c 9.62±0.63 bc 10.45±0.44 a 9.55±0.28 c 9.50±0.47 c 9.12±0.15 c 10.35±0.47 ab仁质量Kernel mass/g 7.31±0.15 a 6.79±0.23 b 7.38±0.46 a 6.55±0.11 bc 6.63±0.23 b 6.15±0.37 c 6.91±0.18 ab出仁率Shelling rate/%76.33±2.73 a 70.74±5.95 ab 70.68±4.04 ab 68.57±1.11 b 69.92±5.59 ab 67.44±4.13 b 66.86±3.14 b产量Yield/(kg·666.7 m-2)231.86±0.82 d 324.93±27.99 b 374.81±11.83 a 266.40±14.84 cd 274.50±10.52 cd 295.99±56.07 bc 253.76±14.36 cd

2.4 水肥耦合对核桃产量、品质和水肥利用率的效应

对核桃的脂肪含量(f1)、产量(f2)、水分利用效率(f3)、肥料偏生产力(f4)、单宁含量(f5)、可溶性蛋白含量(f6)、总酚含量(f7)、纤维素含量(f8)、总糖含量(f9)、还原糖含量(f10)、灌水量标准化的编码值(X1)和施肥量标准化的编码值(X2)采用二元二次回归拟合,建立回归模型如下:

R2(决定系数),是衡量模型对观测数据拟合程度的重要指标,表示模型中自变量对因变量的解释能力,即自变量能够解释因变量变异的比例。值越接近1,表示模型对数据的拟合程度越好。上述模型的决定系数分别为0.999、0.961、0.978、0.948,0.964,0.869,0.920,0.990,0.522 和0.922,说明回归模拟关系和实际值拟合较好,可以用模拟值来表示实际值,也可以用回归模型对实际值进行模拟估测。通过对函数模型的一次项研究发现,灌水量和施肥量对脂肪含量、肥料偏生产力和总酚含量均具有负效应,而对单宁含量和纤维素含量均具有正效应;灌水量对产量、水分利用效率、总糖和还原糖含量具有负效应,而对可溶性蛋白含量具有正效应,施肥量对产量、水分利用效率、总糖和还原糖含量具有正效应,而对可溶性蛋白含量具有负效应。

2.4.1 单因子效应分析 核桃果实大小、单果质量、产量、出仁率、可溶性蛋白和脂肪含量是评价核桃品质的重要指标。为研究灌水量和施肥量对核桃产量、品质及水肥利用效率的影响,采用脂肪含量、产量、水分利用效率和肥料偏生产力作为评价指标。通过对函数模型f1f2f3f4进行降维处理,分别研究单个因子的效应,得到单因子效应函数模型:

式中,f1wf1f分别是灌水量和施肥量对核桃脂肪含量的单因子效应函数;f2wf2f分别是灌水量和施肥量对核桃产量的单因子效应函数;f3wf3f分别是灌水量和施肥量对核桃水分利用效率的单因子效应函数;f4wf4f分别是灌水量和施肥量对核桃肥料偏生产力的单因子效应函数。

由图2可以看出,核桃的脂肪含量、产量、水分利用效率和肥料偏生产力的单因子效应函数均为开口向下的抛物线,因此均存在最大值。由图2-A 可知,当-1.020 6<X1<-0.75时,灌水量对核桃品质有提升作用,且在X1=-0.75 时达到最大,当-0.75<X1<1.837 1时,脂肪含量会下降;当-1.167 5<X2<-0.399,施肥量对核桃脂肪含量有提升作用,且在X2=-0.399时达到最大;当-0.399<X2<1.671 8 时,核桃脂肪含量会下降。由图2-B 可知,当-1.020 6<X1<-0.1时,灌水量对核桃产量有提升作用,且在X1=-0.1 时达到最大;当-0.1<X1<1.837 1 时,核桃产量则会下降;当-1.1675<X2<1.26,施肥量对核桃产量有提升作用,且在X2=1.26 时达到最大;当1.26<X2<1.671 8时,核桃产量则会下降。由图2-C 可知,当-1.020 6<X1<-0.44 时,灌水量对水分利用效率有提升作用,且在X1=-0.44 时达到最大;当-0.44<X1<1.837 1时,核桃水分利用效率则会下降;当-1.167 5<X2<1.35 时,施肥量对水分利用效率有提升作用,且X2=1.35 时达到最大;当1.35<X2<1.671 8 时,核桃的水分利用效率则会下降。由图2-D 可知,当-1.020 6<X1<-0.1时,灌水量对肥料偏生产力有提升作用,且在X1=-0.1时达到最大;当-0.1<X1<1.837 1时,核桃的肥料偏生产力则会下降;当-1.167 5<X2<-0.34 时,施肥量对肥料偏生产力有提升作用,且在X2=-0.34时达到最大;当-0.34<X2<1.671 8 时,肥料偏生产力则会降低。

图2 单因子效应曲线
Fig. 2 Single-factorial effect curves

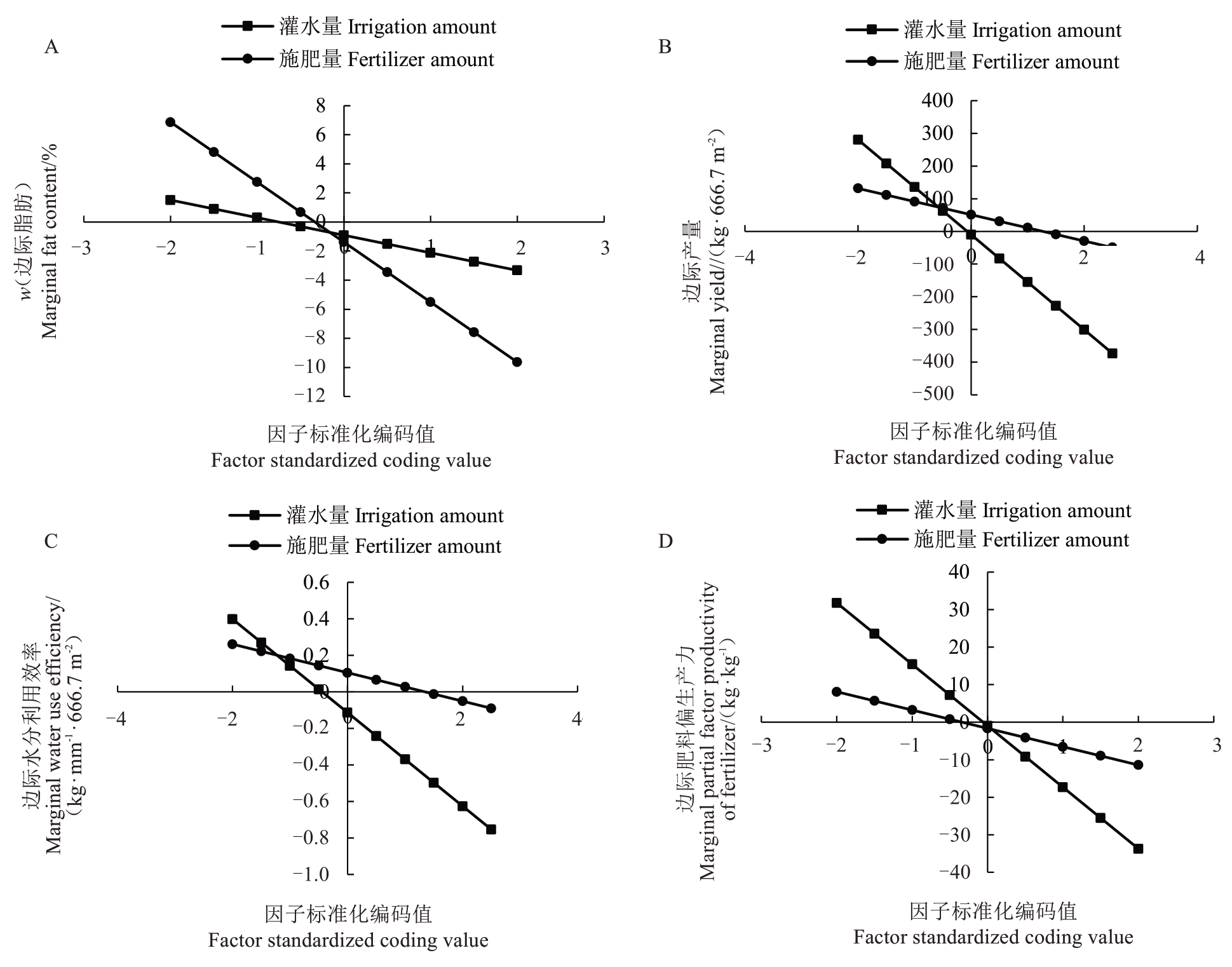
2.4.2 单因子边际效应分析 为探讨因子投入量对因变量变化速率的影响,将单因子效应函数求一阶偏导,得到单因子边际效应函数:

式中分别是灌水量和施肥量对核桃脂肪含量的单因子效应函数分别是灌水量和施肥量对核桃产量的单因子效应函数;分别是灌水量和施肥量对核桃水分利用效率的单因子效应函数分别是灌水量和施肥量对核桃肥料偏生产力的单因子效应函数。

由图3 可知,核桃脂肪含量、产量、水分利用效率和肥料偏生产力边际效应曲线均呈下降趋势,曲线与X 轴交点为最佳投入量。图3 中y>0 部分表示各因子促进边际效应函数,y<0 部分则表示各因子抑制边际效应函数。由图3-A 可知,当-1.020 6<X1<-0.761 2 时,灌水量对核桃脂肪积累具有促进作用,当-0.761 2<X1<1.837 1 时,灌水量对核桃脂肪积累具有抑制作用;当-1.167 5<X2<-0.335 8时,施肥量对核桃脂肪积累有促进作用,当-0.335 8<X2<1.671 8时,核桃脂肪积累则会被抑制,且X1=-0.761 2、X2=-0.335 8 是灌水量和施肥量的最佳投入量编码值。由图3-B 可知,当-1.020 6<X1<-0.068 6 时,灌水促进核桃增产,当-0.068 6<X1<1.837 1 时,则抑制核桃增产;当-1.167 5<X2<1.271 6时,施肥促进核桃增产;1.271 6<X2<1.671 8时,则抑制核桃增产,且X1=-0.068 6、X2=1.271 6是灌水量和施肥量的最佳投入量编码值。由图3-C可知,当-1.0206<X1<-0.444 1时,灌水量对核桃水分利用效率具有促进作用,当-0.444 1<X1<1.837 1 时,灌水对核桃水分利用率具有抑制作用;当-1.167 5<X2<1.346 2 时,施肥量对水分利用效率具有促进作用,当1.346 2<X2<1.671 8 时,施肥对水分利用效率具有抑制作用,且X1=-0.444 1、X2=1.346 2 是灌水量和施肥量的最佳投入量编码值。由图3-D 可知,当-1.020 6<X1<-0.059 2 时,灌水对肥料偏生产力具有促进作用,当-0.059 2<X1<1.837 1 时,灌水对肥料偏生产力具有抑制作用,当-1.167 5<X2<-0.339 2 时,施肥对肥料偏生产力具有促进作用,当-0.339 2<X2<1.671 8 时,施肥对肥料偏生产力具有抑制作用,且X1=-0.059 2、X2=-0.339 2 是灌水量和施肥量的最佳投入量编码值。

图3 单因子边际效应曲线
Fig. 3 Single-factor marginal effect curves

2.4.3 水肥耦合对核桃产量、品质及水肥利用效率的影响 如图4 所示,水肥耦合效应对核桃水肥利用效率、品质和产量影响显著。函数图像均为开口向下的抛物面状,这表明存在最优解。核桃的水分利用效率和肥料偏生产力都受水肥交互作用影响。当灌水量一定时,水分利用效率随施肥量增加呈先增高后降低趋势,且增高和降低趋势明显。在施肥量一定时,水分利用效率随灌水量增加也呈先增高后降低趋势,且增高和降低趋势明显。在灌水量一定时,肥料偏生产力随施肥量的增加同样呈先增大后减小趋势,且减小趋势明显。在一定范围内,核桃的水肥利用效率、品质和产量都随着灌水量和施肥量的增加而上升,超过一定范围后则呈下降趋势。当灌水量和施肥量处在中间水平时,水肥耦合效应最好,产量和品质达到最佳,水肥利用效率达到较大值。

图4 水肥耦合效应图
Fig. 4 Coupled effects of water and fertilizer

2.5 基于NSGA-Ⅱ算法的四目标优化模型

为了寻求核桃树的水肥利用效率、果实品质和产量的最优解,建立由f1f2f3f4组成的关于NSGA-Ⅱ算法的四目标优化模型:

通过MATLAB 进行NSGA-Ⅱ算法计算上述模型的双目标pareto解,其中种群大小设置为1000,最大遗传代数设置为50,交叉概率设置为0.8,得到pareto 非劣解,如表6 所示,其中以脂肪含量为模型对应的最优解编码值分别是X1=0.381 4、X2=1.209 4,所对应的灌水量和施肥量分别是498.12 m3·666.7 m-2和139.72 kg·666.7 m-2,最终对应的脂肪含量和产量分别是59.08%和410.73 kg·666.7 m-2。以纤维素含量为模型对应的最优解编码值分别是X1=0.392、X2=1.671 8,所对应的灌水量和施肥量分别是498.86 m3·666.7 m-2和150 kg·666.7 m-2,最终对应的纤维素含量和产量分别是0.27%和414.68 kg·666.7 m-2。以可溶性蛋白含量为模型对应的最优解编码值分别是X1=0.287 5、X2=1.400 6,所对应的灌水量和施肥量分别是491.55 m3·666.7 m-2 和143.97 kg·666.7 m-2,最终对应的可溶性蛋白含量和产量分别是1.80 mg·g-1和413.52 kg·666.7 m-2。以单宁含量为模型对应的最优解编码值分别是X1=0.326 0、X2=1.574 8,所对应的灌水量和施肥量分别是494.24 m3·666.7 m-2 和147.84 kg·666.7 m-2,最终对应的单宁含量和产量分别是3.74 mg·g-1和414.39 kg·666.7 m-2。以还原糖含量为模型对应的最优解编码值分别是X1=0.354 3、X2=1.535 3,所对应的灌水量和施肥量分别是496.22 m3·666.7 m-2和146.96 kg·666.7 m-2,最终对应的还原糖含量和产量分别是0.88%和414.42 kg·666.7 m-2。以总糖含量为模型对应的最优解编码值分别是X1=0.302 9、X2=1.546 4,所对应的灌水量和施肥量分别是492.63 m3·666.7 m-2 和147.21 kg·666.7 m-2,最终对应的总糖含量和产量分别是0.51%和414.17 kg·666.7 m-2。以总酚含量为模型对应的最优解编码值分别是X1=0.365 3,X2=1.434 9,所对应的灌水量和施肥量分别是496.99 m3·666.7 m-2 和144.73 kg·666.7 m-2,最终对应的总酚含量和产量分别是8.40 mg·g-1和413.82 kg·666.7 m-2

表6 编码值对应值
Table 6 Corresponding values of coded values

指标Index实际灌水量Actual amount of irrigation/(m3·666.7 m-2)灌水量编码值Coding value of irrigation amount 0.381 4施肥量编码值Coding value of fertilization amount 1.209 4实际施肥量Actual amount of fertilizer applied/(kg·666.7 m-2)对应指标含量Corresponding index content产量Yield/(kg·666.7 m-2)水分利用效率Water use efficiency/(kg·mm-1·666.7 m-2)脂肪含量Fat content纤维素含量Cellulose content可溶性蛋白含量Soluble protein content单宁含量Tannin content还原糖含量Reducing sugar content总糖含量Total sugar content总酚含量Total phenol content 498.121 0 139.717 5 59.076 6%410.732 3 0.754 9肥料偏生产力Partial factor productivity of fertilizer/(kg·kg-1)44.443 3 0.392 0 1.671 8 498.862 9 150.000 3 0.272 7%414.697 7 0.734 5 41.386 7 0.287 5 1.400 6 491.549 4 143.969 4 1.799 5 mg·g-1 413.517 7 0.778 7 43.200 5 0.326 0 0.354 3 1.574 8 1.535 3 494.243 8 496.224 4 147.843 3 146.964 9 3.735 5%0.883 6%414.385 5 414.421 6 0.760 9 0.753 6 42.008 4 42.352 4 0.302 9 1.546 4 492.627 2 147.211 7 0.509 3%414.167 3 0.769 3 42.172 6 0.365 3 1.434 9 496.994 2 144.732 2 8.398 8 mg·g-1 413.820 4 0.753 9 43.065 4

该方案相较于低水低肥,灌水量增加了91~98 m3·666.7 m-2,施肥量增加了52~63 kg·666.7 m-2,脂肪含量、纤维素含量、可溶性蛋白含量、单宁含量、总酚含量和肥料偏生产力分别降低了5.25%、0.35%、0.14 mg·g-1、0.55 mg·g-1、2.31 mg·g-1 和3.65~6.71 kg·kg-1,还原糖含量、总糖含量、产量和水分利用效率分别升高0.27%、0.02%、135~136 kg·666.7 m-2和0.04~0.08 kg·mm-1·666.7 m-2。相较于对照,节约灌水量102~109 m3·666.7 m-2,节约施肥量约11 kg·666.7 m-2,脂肪含量、还原糖含量、产量、水分利用效率、肥料偏生产力分别升高了0.08%、0.35%、145~149 kg·666.7 m-2、0.29~0.34 kg·mm-1·666.7 m-2和14.86~17.91 kg·kg-1,纤维素、可溶性蛋白、单宁、总糖和总酚含量分别降低了0.47%、0.23 mg·g-1、1.52 mg·g-1、0.037%、1.09%。

3 讨 论

3.1 水肥耦合对核桃产量及品质的影响

灌水量与施肥量是果树生长发育的关键因素[27],适量的灌溉和施肥可以有效促进作物健康成长[16,28]。水肥投入量达到最佳,便可实现作物低消耗高成效的目标[29]。笔者通过水肥耦合试验,探讨了微喷灌条件下水肥耦合效应对核桃产量、品质和水肥利用效率的影响。结果表明,灌水量和施肥量对核桃的果实品质及产量具有明显的协同作用。这一发现与吴立峰等[30]的研究结论一致,即合理的水肥配施能够显著提升作物的产量和资源利用效率。核桃的产量和品质是决定经济效益的核心指标。为了实现高产高效,必须在提升产量的同时改善品质,以确保经济效益的最大化。在核桃的生长周期中,不同生育时期对水肥供应的需求存在明显差异。5月属于果实膨大期,水肥供应量直接影响了果实的大小,根据外观品质(果实大小、果实纵横径)的特征初步推断本月应分两次灌溉施肥,每次的灌水量为29 m3·666.7 m-2,施肥量为尿素 8 kg·666.7 m-2、一铵5.7 kg·666.7 m-2、硫酸钾 0.8 kg·666.7 m-2。6 月是果实硬壳及花芽分化形成的关键期,壳的发育程度及花芽分化的比例成为衡量水肥供应是否合理的依据。经过综合分析,推算出该时期仍分两次灌水施肥,每次灌水量为29 m3·666.7 m-2,施肥量为尿素8 kg·666.7 m-2、一铵5.7 kg·666.7 m-2、硫酸钾0.8 kg·666.7 m-2。7—8月是种仁迅速充实物质转化的时期,糖分在此阶段转化成可溶性蛋白和脂肪[31],根据出仁率及脂肪等的特征认为7—8月分3次灌水施肥,每次40 m3·666.7 m-2的灌水量和尿素5 kg·666.7 m-2、一铵7.5 kg·666.7 m-2、硫酸钾3 kg·666.7 m-2的水肥配比有利于内在品质的形成。后续进一步验证该生产水平下变量施肥的合理性,明确不同时期变量供水与供肥对核桃品质的重要性。在核桃栽培中,优化水肥管理是提升核桃品质和产量的有效途径,对提高核桃的经济效益具有重要意义。

3.2 核桃生产中水肥管理多目标优化

在现代农业生产中,单一目标评价难以兼顾节水、节肥与优质高效生产,需构建融合品质、产量和水肥利用效率的多目标优化模型,以科学制定水肥管理制度,提升生产效益和资源利用率。遗传算法目前在多个领域都展现出巨大作用,并且与以往可能会产生不确定因素的综合评判法相比更科学可靠[32],由单因子效益曲线看出,核桃的产量和品质随水肥用量的增加呈先上升后下降的趋势,这一结果与胡晓辉等[33]在辣椒研究中发现的产量随水肥施入量增加呈开口向下的抛物线函数类似。在核桃生产中,优化水肥管理方案对平衡产量、品质和资源利用效率至关重要。笔者构建的水分利用效率回归模型进一步表明,灌水对水分利用率具有负效应,这一发现与马建琴[18]的研究结果相吻合。说明过量灌水可能导致水分利用效率下降。本研究结果表明,灌水量和施肥量对核桃的可溶性蛋白含量和产量均具有显著的正效应,这与黄明等[34]的研究结果一致。赵文举等[35]运用NSGA-Ⅱ对产量和品质进行研究,得出了最优处理,验证了其科学合理性和适应性。李建明等[36]也建立了西瓜产量、品质和水肥利用效率的双目标优化模型,利用NSGA-Ⅱ算法对模型进行求解,从而得到最佳水肥组合方案。研究还发现,水肥耦合对核桃品质的影响呈现开口向下的抛物面关系,表明在接近最优水肥配比时,品质指标的提升速率逐渐减缓。这一现象提示,在实际生产中,应避免盲目增加水肥投入,灌水量与施肥量共同决定氮磷钾吸收峰值出现时期,且过量水肥反而降低养分利用效率[37]。本研究仅探讨了灌水量和施肥总量,还需要进行养分分配方面的研究验证。

4 结 论

灌水量和施肥量对核桃果实品质及产量有显著影响且具协同作用。核桃产量、水分利用效率和肥料偏生产力随水肥用量增加呈先升后降的趋势,合理水肥配施是关键。试验区最佳水肥方案为灌水量498.12 m3·666.7 m-2,施肥量139.72 kg·666.7 m-2,此时核桃产量、水分利用效率、肥料偏生产力相较对照分别提升61.86%、78.57%、67.5%。

参考文献 References:

[1] 李源,马文强,朱占江,刘奎,田翔. 新疆核桃产业发展现状及对策建议[J]. 农学学报,2019,9(7):80-86.LI Yuan,MA Wenqiang,ZHU Zhanjiang,LIU Kui,TIAN Xiang. Xinjiang walnut industry:The development status and countermeasures[J]. Journal of Agriculture,2019,9(7):80-86.

[2] 周鹤,李启祥. 合理施肥浇水提高核桃的产量和品质[J]. 河北果树,2022(4):60-61.ZHOU He,LI Qixiang. Reasonable fertilization and watering to improve the yield and quality of walnut[J]. Hebei Fruits,2022(4):60-61.

[3] 张喜英. 华北典型区域农田耗水与节水灌溉研究[J]. 中国生态农业学报,2018,26(10):1454-1464.ZHANG Xiying. Water use and water-saving irrigation in typical farmlands in the North China Plain[J]. Chinese Journal of Eco-Agriculture,2018,26(10):1454-1464.

[4] XING Y Y,WANG X K. Precise application of water and fertilizer to crops:Challenges and opportunities[J]. Frontiers in Plant Science,2024,15:1444560.

[5] 裴青宝,刘伟佳,张建丰,王海伟. 多点源滴灌条件下红壤水分溶质运移试验与数值模拟[J]. 农业机械学报,2017,48(12):255-262.PEI Qingbao,LIU Weijia,ZHANG Jianfeng,WANG Haiwei.Movement and numerical simulation of soil water solute migration under multipoint drip irrigation in red soil[J]. Transactions of the Chinese Society for Agricultural Machinery,2017,48(12):255-262.

[6] WANG H D,WU L F,CHENG M H,FAN J L,ZHANG F C,ZOU Y F,CHAU H W,GAO Z J,WANG X K. Coupling effects of water and fertilizer on yield,water and fertilizer use efficiency of drip-fertigated cotton in northern Xinjiang,China[J].Field Crops Research,2018,219:169-179.

[7] 杨小振,张显,马建祥,张勇,张宁,王永琦,郑俊鶱,刘晓辉. 滴灌施肥对大棚西瓜生长、产量及品质的影响[J]. 农业工程学报,2014,30(7):109-118.YANG Xiaozhen,ZHANG Xian,MA Jianxiang,ZHANG Yong,ZHANG Ning,WANG Yongqi,ZHENG Junxian,LIU Xiaohui.Effects of drip fertigation on growth,yield and quality of watermelon in plastic greenhouse[J]. Transactions of the Chinese Society of Agricultural Engineering,2014,30(7):109-118.

[8] PAN J F,LIU Y Z,ZHONG X H,LAMPAYAN R M,SINGLETON G R,HUANG N R,LIANG K M,PENG B L,TIAN K.Grain yield,water productivity and nitrogen use efficiency of rice under different water management and fertilizer-N inputs in South China[J]. Agricultural Water Management,2017,184:191-200.

[9] LI Y M,SUN Y X,LIAO S Q,ZOU G Y,ZHAO T K,CHEN Y H,YANG J G,ZHANG L. Effects of two slow-release nitrogen fertilizers and irrigation on yield,quality,and water-fertilizer productivity of greenhouse tomato[J]. Agricultural Water Management,2017,186:139-146.

[10] KIANI M,GHEYSARI M,MOSTAFAZADEH-FARD B,MAJIDI M M,KARCHANI K,HOOGENBOOM G. Effect of the interaction of water and nitrogen on sunflower under drip irrigation in an arid region[J]. Agricultural Water Management,2016,171:162-172.

[11] 沈荣开,王康,张瑜芳,杨路华,穆金元,赵立新. 水肥耦合条件下作物产量、水分利用和根系吸氮的试验研究[J]. 农业工程学报,2001,17(5):35-38.SHEN Rongkai,WANG Kang,ZHANG Yufang,YANG Luhua,MU Jinyuan,ZHAO Lixin. Field test and study on yield,water use and N uptake under varied irrigation and fertilizer in crops[J].Transactions of the Chinese Society of Agricultural Engineering,2001,17(5):35-38.

[12] CHOI S T,KANG S M,PARK D S,HONG K P,RHO C W.Combined effects of leaf/fruit ratios and N and K fertigation levels on growth and distribution of nutrients in pot-grown persimmon trees[J]. Scientia Horticulturae,2011,128(3):364-368.

[13] 张慧琴,谢鸣,梁英龙,肖金平,吴慧,胡湘明. 肥水耦合对蓝莓产量和品质的影响[J]. 中国园艺文摘,2010,26(12):40-41.ZHANG Huiqin,XIE Ming,LIANG Yinglong,XIAO Jinping,WU Hui,HU Xiangming. Effect of coupling in fertilizer with water on production and quality of blueberry[J]. Chinese Horticulture Abstracts,2010,26(12):40-41.

[14] 邢英英,张富仓,张燕,李静,强生才,吴立峰. 滴灌施肥水肥耦合对温室番茄产量、品质和水氮利用的影响[J]. 中国农业科学,2015,48(4):713-726.XING Yingying,ZHANG Fucang,ZHANG Yan,LI Jing,QIANG Shengcai,WU Lifeng. Effect of irrigation and fertilizer coupling on greenhouse tomato yield,quality,water and nitrogen utilization under fertigation[J]. Scientia Agricultura Sinica,2015,48(4):713-726.

[15] 刘小刚,孙光照,彭有亮,杨启良,何红艳. 水肥耦合对芒果光合特性和产量及水肥利用的影响[J]. 农业工程学报,2019,35(16):125-133.LIU Xiaogang,SUN Guangzhao,PENG Youliang,YANG Qiliang,HE Hongyan. Effect of water-fertilizer coupling on photosynthetic characteristics,fruit yield,water and fertilizer use of mango[J]. Transactions of the Chinese Society of Agricultural Engineering,2019,35(16):125-133.

[16] KIYMAZ S,ERTEK A. Yield and quality of sugar beet (Beta vulgaris L.) at different water and nitrogen levels under the climatic conditions of Kırsehir,Turkey[J]. Agricultural Water Management,2015,158:156-165.

[17] 张智,李曼宁,杨志,蔡泽林,洪婷婷,丁明. 基于多指标协同的草莓水肥耦合综合调控[J]. 农业机械学报,2020,51(2):267-276.ZHANG Zhi,LI Manning,YANG Zhi,CAI Zelin,HONG Tingting,DING Ming. Comprehensive regulation of water and fertilizer coupling based on multi-index collaboration of strawberry[J]. Transactions of the Chinese Society for Agricultural Machinery,2020,51(2):267-276.

[18] 马建琴,何沁雪,刘蕾. 双目标条件下玉米水肥耦合效应分析及配施方案优化研究[J]. 灌溉排水学报,2021,40(10):58-63.MA Jianqin,HE Qinxue,LIU Lei. Optimizing irrigation and fertilization coupling to balance the improvement of yield and water use efficiency of summer maize[J]. Journal of Irrigation and Drainage,2021,40(10):58-63.

[19] 常子康,梁国成,彭艳平,赵经华. 基于产量品质及水肥利用率的核桃水肥耦合方案优化[J]. 干旱地区农业研究,2024,42(3):162-172.CHANG Zikang,LIANG Guocheng,PENG Yanping,ZHAO Jinghua. Optimization of walnut water-fertilizer coupling scheme based on yield quality and water-fertilizer utilization efficiency[J]. Agricultural Research in the Arid Areas,2024,42(3):162-172.

[20] 马治浩. 微喷灌在核桃树体上的应用及叶片水分含量检测研究[D]. 阿拉尔:塔里木大学,2024.MA Zhihao. Study on the application of micro-sprinkler irrigation on walnut tree body and the detection of leaf water content[D].Alar:Tarim University,2024.

[21] 强伟,王洪伦,周昌范,索有瑞. 考马斯亮蓝G-250 染色法测定柠条锦鸡儿种子中可溶性蛋白含量[J]. 氨基酸和生物资源,2011,33(3):74-76.QIANG Wei,WANG Honglun,ZHOU Changfan,SUO Yourui.Determination of protein contents from Caragana korshinskii Kom. seeds using coomassie brilliant blue G-250 dyeing[J].Amino Acids & Biotic Resources,2011,33(3):74-76.

[22] 张小贝,朱国鹏,祝志欣,南文卓,吴志鹏. 利用3,5-二硝基水杨酸法测定菜用甘薯叶中的多糖含量[J]. 热带生物学报,2017,8(3):359-363.ZHANG Xiaobei,ZHU Guopeng,ZHU Zhixin,NAN Wenzhuo,WU Zhipeng. Determination of the polysaccharide content of sweet potato leaves by using 3'5'-dinitrosalicylic acid (DNS)[J].Journal of Tropical Biology,2017,8(3):359-363.

[23] 孙健,马欢,陈旭成,李红春. 不同总糖测定方法在含寡糖肥料检测中的应用对比[J]. 磷肥与复肥,2018,33(7):43-45.SUN Jian,MA Huan,CHEN Xucheng,LI Hongchun. Comparison of different methods for detecting total sugar content of oligosaccharide fertilizer[J]. Phosphate & Compound Fertilizer,2018,33(7):43-45.

[24] 吴澎,贾朝爽,李向阳,周涛,范安琪,徐若滢,唐璐莹,孙玉刚.响应面分析优化福林酚法测定樱桃酒中总酚的含量[J]. 食品工业科技,2018,39(20):200-206.WU Peng,JIA Chaoshuang,LI Xiangyang,ZHOU Tao,FAN Anqi,XU Ruoying,TANG Luying,SUN Yugang. Determination of the total phenolic content from cherry wine by Folin-ciocalteu method optimized by response surface methodology[J].Science and Technology of Food Industry,2018,39(20):200-206.

[25] 刘肖冰. 基于主成分分析和聚类分析不同品种猕猴桃品质评价[J]. 现代食品科技,2024,40(10):284-292.LIU Xiaobing. Quality evaluation of different varieties of kiwifruit based on principal components analysis and cluster analysis[J]. Modern Food Science and Technology,2024,40(10):284-292.

[26] BEESON R C,GILMAN E F. Irrigation and fertilizer placement affect root and canopy growth of trees produced in in-ground fabric containers[J]. Journal of Environmental Horticulture,1995,13(3):133-136.

[27] ZHANG S W,CHEN S H,HU T T,GENG C M,LIU J. Optimization of irrigation and nitrogen levels for a trade-off:Yield,quality,water use efficiency and environment effect in a drip-fertigated apple orchard based on TOPSIS method[J]. Scientia Horticulturae,2023,309:111700.

[28] LI Y L,LIU X G,FANG H D,SHI L T,YUE X W,YANG Q L.Exploring the coupling mode of irrigation method and fertilization rate for improving growth and water-fertilizer use efficiency of young mango tree[J]. Scientia Horticulturae,2021,286:110211.

[29] 田德龙,侯晨丽,任杰,郝蕾,李泽坤. 灌溉方式和施肥量对小麦产量及水肥药利用的影响[J]. 节水灌溉,2022(10):100-104.TIAN Delong,HOU Chenli,REN Jie,HAO Lei,LI Zekun. Effects of different irrigation methods and fertilizer amount on wheat yield and utilization of water,fertilizer and medicine[J].Water Saving Irrigation,2022(10):100-104.

[30] 吴立峰,张富仓,范军亮,周罕觅,梁飞,高志建. 水肥耦合对棉花产量、收益及水分利用效率的效应[J]. 农业机械学报,2015,46(12):164-172.WU Lifeng,ZHANG Fucang,FAN Junliang,ZHOU Hanmi,LIANG Fei,GAO Zhijian. Effects of water and fertilizer coupling on cotton yield,net benefits and water use efficiency[J].Transactions of the Chinese Society for Agricultural Machinery,2015,46(12):164-172.

[31] 贾艳芳. 鲜食核桃成熟期与贮藏期主要营养物质含量变化的研究[D]. 保定:河北农业大学,2013.JIA Yanfang. Studies on the change of main nutrients contents in maturity and storage period of fresh walnut[D]. Baoding:Hebei Agricultural University,2013.

[32] RASOOL G,GUO X P,WANG Z C,CHEN S,ALHAJ HAMOUD Y,JAVED Q. Response of fertigation under buried straw layer on growth,yield,and water-fertilizer productivity of Chinese cabbage under greenhouse conditions[J]. Communications in Soil Science and Plant Analysis,2019,50(8):1030-1043.

[33] 胡晓辉,高子星,马永博,薛建康,谢志龙,李雪,张林阳,王君正,马雪强,屈锋,张佼. 基于产量品质及水肥利用率的袋培辣椒水肥耦合方案[J]. 农业工程学报,2020,36(17):81-89.HU Xiaohui,GAO Zixing,MA Yongbo,XUE Jiankang,XIE Zhilong,LI Xue,ZHANG Linyang,WANG Junzheng,MA Xueqiang,QU Feng,ZHANG Jiao. Coupling scheme of water and fertilizer based on yield,quality,use efficiency of water and fertilizer in bag pepper growing[J]. Transactions of the Chinese Society of Agricultural Engineering,2020,36(17):81-89.

[34] 黄明,王朝辉,罗来超,王森,包明,何刚,曹寒冰,刁超朋,李莎莎. 膜侧施肥对旱地小麦产量、籽粒蛋白质含量和水分利用效率的影响[J]. 作物学报,2017,43(6):899-911.HUANG Ming,WANG Zhaohui,LUO Laichao,WANG Sen,BAO Ming,HE Gang,CAO Hanbing,DIAO Chaopeng,LI Shasha. Effects of ridge mulching with side-dressing on grain yield,protein content and water use efficiency in dryland wheat[J]. Acta Agronomica Sinica,2017,43(6):899-911.

[35] 赵文举,马锋,曹伟,马芳芳,韩丽. 水肥耦合对基质栽培番茄产量及品质的影响[J]. 农业工程学报,2022,38(2):95-101.ZHAO Wenju,MA Feng,CAO Wei,MA Fangfang,HAN Li. Effects of water and fertilizer coupling on the yield and quality of tomatoes[J]. Transactions of the Chinese Society of Agricultural Engineering,2022,38(2):95-101.

[36] 李建明,潘铜华,王玲慧,杜清洁,常毅博,张大龙,刘媛. 水肥耦合对番茄光合、产量及水分利用效率的影响[J]. 农业工程学报,2014,30(10):82-90.LI Jianming,PAN Tonghua,WANG Linghui,DU Qingjie,CHANG Yibo,ZHANG Dalong,LIU Yuan. Effects of water-fertilizer coupling on tomato photosynthesis,yield and water use efficiency[J]. Transactions of the Chinese Society of Agricultural Engineering,2014,30(10):82-90.

[37] 邢英英,张富仓,张燕,李静,强生才,李志军,高明霞. 膜下滴灌水肥耦合促进番茄养分吸收及生长[J]. 农业工程学报,2014,30(21):70-80.XING Yingying,ZHANG Fucang,ZHANG Yan,LI Jing,QIANG Shengcai,LI Zhijun,GAO Mingxia. Irrigation and fertilization coupling of drip irrigation under plastic film promotes tomato’s nutrient uptake and growth[J]. Transactions of the Chinese Society of Agricultural Engineering,2014,30(21):70-80.

Optimization of water and fertilizer coupling strategies for walnut based on yield, quality, and water-fertilizer use efficiency

Yeerzhati·Yeerhazi1, XIA Qiuhao1, CHEN Tiancai1, Mian Muhammad Ahmed1, Wuerken·Nuerdawulieti1, ZHANG Rui1, YANG Guiyan2, DING Yangyang3, GUO Zhongzhong1*

(1College of Horticulture and Forestry, Tarim University/State Local Joint Engineering Laboratory of High-Efficiency and High-Quality Cultivation and Deep-Processing Technology of Speciality Fruit Trees in Southern Xinjiang/Xinjiang Productionand Construction Corps(XPCC) Southern Xinjiang Characteristic Forest Fruits Technology Innovation Center, Alar 843300, Xinjiang, China; 2Walnut Engineering Technology Research Center, College of Forestry, Northwest A & F University, Xianyang 712100, Shaanxi, China; 3Agricultural, Forestry and Grassland Center of the First Division Third Regiment of the Xinjiang Production and Construction Gorps, Alar 843300, Xinjiang, China)

Abstract:【Objective】 Walnut (Juglans regia L.) is a crucial tree species with both ecological and economic importance. In China, it plays a significant role in agricultural development, particularly in the southern region of Xinjiang, where walnut cultivation constitutes a major source of income for local farmers. As of 2024, the total walnut cultivation area in Xinjiang reached 6.4 million mu, with an output of approximately 1.445 million tons, accounting for about 22% of the national production. The total output value exceeded 17 billion CNY, demonstrating a significant year-on-year increase. However, the arid climatic conditions, sandy soil texture, and high evaporation rates in the region pose challenges to sustainable walnut production. Traditional surface irrigation methods often result in low water use efficiency and accelerate nutrient leaching, further exacerbating resource waste and limiting yield potential.To address these challenges, this study investigated the effects of different irrigation and fertilization levels under micro-sprinkler fertigation conditions on walnut yield, nut quality, and resource use efficiency. The aim was to determine the optimal water and fertilizer input strategy during the walnut growing season to enhance yield and quality while improving water and nutrient use efficiency. This approach is expected to provide a sustainable solution to water and nutrient management, ultimately achieving water-saving, fertilizer-saving, and yield-increasing goals in arid regions. 【Methods】 A field trial was conducted using the walnut cultivar Wen 185 as the experimental material. A split-plot design was adopted with two irrigation levels and three fertilization levels, resulting in six water-fertilizer coupling treatments in total. An additional treatment following local farmers' conventional management practices was included as a control (CK). The experimental setup aimed to explore the interactive effects of irrigation and fertilization levels on walnut fruit quality, yield, water use efficiency (WUE), and partial factor productivity of fertilizer (PFP). Key parameters measured included fruit biochemical composition (e.g., fat content, cellulose, reducing sugars, total sugars, soluble protein, tannins, and total phenolics), yield per unit area, and efficiency indicators. To further identify the optimal combination of irrigation and fertilization, a dual-variable second-order polynomial regression model was constructed for yield, WUE, and PFP. Multi-objective optimization was performed using the Non-dominated Sorting Genetic Algorithm Ⅱ (NSGA-Ⅱ), which efficiently searched the solution space for the optimal fertigation strategy. 【Results】 Walnut yield, WUE, and PFP exhibited a non-linear response to increasing water and fertilizer inputs, generally showing a trend of initial increase followed by decline. This indicated that excessive input may lead to diminishing returns or even adverse effects. Compared with irrigation,fertilization had a greater influence on yield and WUE, though a significant synergistic interaction between water and fertilizer was observed. Under fixed irrigation conditions, both WUE and PFP increased with higher fertilization up to a certain point, beyond which they began to decline. A similar trend was observed when fertilization level was held constant and irrigation amount varied. The best performance in terms of yield, quality, and resource efficiency occurred under moderate irrigation and fertilization levels, demonstrating the importance of balanced inputs. Nut quality was significantly influenced by different water-fertilizer coupling treatments. Specific combinations of irrigation and fertilization markedly enhanced the accumulation of bioactive compounds (e.g., total phenolics), cell wall components (e.g., cellulose), sugars, and fats in walnut kernels. Both excessive (high water and high fertilizer) and deficient (low water and low fertilizer) treatments suppressed walnut growth and development.In contrast, an appropriate water-fertilizer combination significantly promoted nut quality and yield.Compared to the low water-low fertilizer treatment, the optimized fertigation strategy increased irrigation by approximately 91-98 m3·666.7 m-2 and fertilization by 52-63 kg·666.7 m-2. This resulted in increases in reducing sugar (by 0.27%), total sugar (by 0.02%), yield (by 135-136 kg·666.7 m-2), and WUE (by 0.04-0.08 kg·mm-1·666.7 m-2), while fat content, cellulose, soluble protein, tannins, total phenolics, and PFP decreased by 5.25%, 0.34%, 0.14 mg·g-1, 0.55 mg·g-1, 2.31 mg·g-1, and 3.65-6.71 kg·kg-1,respectively. When compared to the local farmers’ conventional practice (CK), the optimized treatment increased fat content by 0.08%, reducing sugar content by 0.35%, yield by 145-149 kg·666.7 m-2,WUE by 0.29-0.34 kg·mm-1·666.7 m-2, and PFP by 14.86-17.91 kg·kg-1. Meanwhile, cellulose, soluble protein, tannins, total sugar, and total phenolics decreased by 0.48%, 0.23 mg·g-1, 1.52 mg·g-1, 0.03%,and 1.09%, respectively. These results indicated that optimized fertigation can lead to substantial improvements in both yield and resource use efficiency, with slight trade-offs in some quality traits. 【Conclusion】 Irrigation and fertilization levels significantly influence walnut fruit quality and yield, with a clear synergistic effect observed. The relationships between yield, WUE, and PFP with water and fertilizer input levels followed a parabolic trend, suggesting that moderate input levels are critical to maximizing production efficiency. Based on NSGA-Ⅱ optimization results, the optimal fertigation strategy for walnut during the growing season was determined to be an irrigation volume of 498.12 m3·666.7 m-2 and a fertilization amount of 139.72 kg·666.7 m-2. Under this regime, fat content reached 59.08%, yield reached 410.73 kg·666.7 m-2, WUE was 0.75 kg·m-3, and PFP reached 44.44 kg·m-3. Furthermore, dynamic monitoring of both internal and external walnut fruit quality indicators throughout the growing season demonstrated close agreement with the model-predicted optimal irrigation levels, confirming the accuracy and practical relevance of the optimized fertigation strategy. The high consistency between empirical monitoring and model-based simulations underscores the reliability of this approach and provides a scientific basis for water and nutrient management in walnut production under arid conditions.These findings offer valuable guidance for promoting resource-efficient and sustainable walnut cultivation in Xinjiang and similar agroecological regions.

Key words:Walnut; Micro-sprinkler irrigation; Water-fertilizer coupling; Water use efficiency; Partial factor productivity of fertilizer

中图分类号:S664.1

文献标志码:A

文章编号:1009-9980(2026)02-0424-15

DOI:10.13925/j.cnki.gsxb.20250372

收稿日期:2025-06-30

接受日期:2025-08-05

基金项目:新疆维吾尔自治区“揭榜挂帅”项目(19-1124239);兵团指导性科技计划项目(2024ZD093);中国科协创建示范活动提升项目(2024CD009);国家重点研发计划项目(2022YFD1000102);南疆重点产业创新发展支撑计划(2022DB022)

作者简介:叶尔扎提·叶尔哈孜,男,在读硕士研究生,研究方向果树栽培与育种。E-mail:3253352028@qq.com

*通信作者Author for correspondence. E-mail:742560026@qq.com