不同成熟度胎里红实生后代优系果实采后品质的变化

曾建会,项 彪,吴翠云,林敏娟*

(塔里木大学园艺与林学学院·南疆特色果树高效优质栽培与深加工技术国家地方联合工程实验室,新疆阿拉尔 843300)

摘 要:【目的】探究胎里红实生优系(塔优12 号)不同成熟度果实在常温贮藏期间的品质变化规律,以确定最佳采收期。【方法】以白熟期、半红期和全红期的果实为试材,观测其在采后贮藏过程中的品质特性。【结果】随着果实成熟度的升高,失水率、呼吸速率均呈上升趋势,果实硬度及总酚、黄酮及维生素C 含量均呈下降趋势。3个成熟度果实贮藏性能存在显著差异。随着贮藏时间的延长,3个成熟度果实硬度整体均呈下降趋势,失水率和腐烂率均呈上升趋势。其中,全红期失水率(9 d,4.92%)、腐烂率(4 d,21.90%)均显著高于白熟期和半红期;贮藏期末(9 d),半红期果实硬度(6.78 N)、黄酮含量(w,后同)(0.74 mg·g-1)、总酚含量(4.25 mg·g-1)、维生素C 含量(188.25 mg·g-1)均高于全红期,感官评价(22.50 分)、总糖含量(362.78 mg·g-1)均高于白熟期。【结论】半红期可作为塔优12 号的最佳采收期。若采后即食或长途运输,可选择在半红期至全红期采收。

关键词:枣;成熟度;贮藏;品质

枣(Ziziphus jujuba Mill.)为鼠李科(Rhamnaceae)枣属植物,是原产中国的特有经济林果[1]。根据果实用途,可将枣果实分为制干、鲜食、加工等类型。其中,鲜食枣因口感脆嫩、鲜食多汁而备受消费者喜爱[2]。中国拥有丰富的种质资源,自21 世纪开始,冬枣凭借优异品质,成为中国第一大鲜食枣品种,产量占80%以上[3-4]。为丰富鲜食枣品种,完善品种结构,通过地方品种优选、单株选优、芽变育种和实生选种等多种方式,筛选出一批优异鲜枣品种,进一步丰富了鲜食枣品种资源[5]。塔优12号是鲜食和观赏兼用枣胎里红的实生后代,其口感好、甜度高、丰产,具备一定的推广价值。通常情况下,低成熟度的鲜枣较耐储藏,但由于成长期较短,营养物质积累不足,在营养品质以及口感风味上不及成熟度较高的果实[6]。若果实于完全成熟后采收,已进入衰老阶段的果实,其抗氧化物质减少,营养物质流失,导致贮藏性能不佳,无法长期保存[7]。不同品种的果实采后生理代谢及酶促反应存在差异[8]。不同品种的红枣采后生理与贮藏特性表现出较大差异[9]。目前,多数研究以冬枣为试材,关于塔优12 号成熟度与采后品质关系的研究还未见报道。因此,探究塔优12 号不同成熟度的果实采后营养、品质变化特征,以确定最佳采收时期。

1 材料和方法

1.1 试验材料

2024 年9 月,分别采摘塔优12 号(胎里红实生优系)白熟期、半红期、全红期果实各20 kg,带回实验室备用。选取无机械损伤、无霉变、大小均一、着色均匀且带果柄的果实,在室温(25±1) ℃、相对湿度40%~50%的条件下贮藏9 d。贮藏期间每天取样1次,测定相关指标。

1.2 项目测定

1.2.1 感官评价 选择10 位评价人员组建感官评价小组,参照GBT32714—2016《冬枣评价标准》[10]进行感官评价。每次随机选取不同时期枣果实各10个,根据枣果实外观、风味、果肉和汁液4 个指标进行评价。每个指标总分为10分,具体评分见表1。

表1 感官评价标准及分值
Table 1 Sensory evaluation criteria and scores

项目Project外观(10分)Appearance (10 points)评分Score 7~10 4~6风味(10分)Flavor (10 points)果肉(10分)Flesh (10 points)1~3 7~10 4~6 1~3 7~10 4~6汁液(10分)Juice (10 points)评价标准Valuation indicator果实鲜嫩,色泽优良,基本无瑕疵 Fresh and tender fruit,excellent color,basically free of defects果实稍有褐变,色泽暗淡,果面微瑕Slight browning of the fruit,dull color,minor defects on the fruit surface果实萎蔫,色泽差,瑕疵多 Wilted fruit,poor color,numerous defects非常甜Very sweet酸甜适中Well-balanced sweet and sour微甜Slightly sweet果肉非常脆,细嫩无渣The flesh is very crisp,tender and residue-free果肉比较脆和细嫩,略有渣The flesh is relatively crisp and tender, with a slight residue果肉松绵,粗有渣 The flesh is soft and fluffy, coarse with residues水分含量多High moisture content水分含量中等 Moderate moisture content水分含量少 Low moisture content 1~3 7~10 4~6 1~3

1.2.2 果实色泽和硬度 每组随机选取10 个果实,使用色差仪(cm700d)测定果实赤道部位的L*(亮度)、a*(绿-红)和b*(蓝-黄)值;使用美国FTC 公司TMS-PRO质构仪沿着果实赤道部位测定硬度,每组3次重复,取其平均值。

1.2.3 呼吸速率 参照曹建康等[11]的方法,每组随机选取10个果实测定质量,随后放入密封盒中密封1 h。取50 ml 密封气体注入气相色谱仪,测定呼吸速率,每组3次重复,取其平均值。

1.2.4 失水率 分别测定并记录各处理组贮藏前后的质量,每组3次重复,取其平均值计算失重率(R)。

R/%=[(m0-m1)/m0]×100(m0是初始质量,m1是贮藏后质量)。

1.2.5 腐烂率 根据试验安排,定期检查并记录果实腐烂情况,并移除腐烂果实,计算腐烂率。

腐烂率/%=累积腐烂果实个数/贮藏前果实个数×100。

1.2.6 黄酮和总酚含量 黄酮含量采用硝酸铝-亚硝酸钠比色法[12],使用全波长多功能酶标仪(Infinite R 200PRO)进行测定。总酚含量采用Folin-Ciocalteu法[12]测定,测试仪器同上。

1.2.7 维生素C含量 采用钼蓝比色法测定维生素C含量。

1.2.8 丙二醛含量 参考曹建康等[11]的方法,称取1 g 鲜样,加入100 g·L-1TCA 溶液进行提取,分别测定上清液在450 nm、532 nm、600 nm 波长处的吸光度值,设置3次重复,取其平均值。

1.2.9 糖、酸组分含量 采用高效液相色谱法(HPLC)提取并测定枣果实游离糖(果糖、葡糖糖、蔗糖)含量和有机酸(草酸、酒石酸、奎宁酸、苹果酸、柠檬酸、抗坏血酸、琥珀酸)含量,设置3 次重复,取其平均值。

1.3 数据分析

运用Excel 22.0 软件进行数据初步处理,运用SPSS 21.0和Origin1.0软件进行方差分析、相关性分析和绘图。

2 结果与分析

2.1 不同成熟度枣果实采后感官评价

如图1 所示,随着贮藏时间的延长,白熟期的评分呈先升高后降低的趋势,第4 天评分最高(25.30分),第7 天评分显著降低;半红期则是呈波动下降趋势,第1天评分最高(26.40分),第9天评分降至最低,较第1 天下降了3.90 分;全红期整体呈下降趋势,第9 天评分(26.80 分)较第1 天(28.90 分)下降了2.1 分。贮藏第9 天,3 个时期评分大小依次为全红期>半红期>白熟期。根据感官评价,塔优12号枣果实外观评分最高,汁液评分最低,全红期枣果实与白熟期、半红期对比总体评价最高,果实品质更好。

图1 不同成熟度枣果实感官评价
Fig. 1 Sensory evaluation of jujube fruits of different maturity stages

2.2 不同成熟度枣果实采后外观的动态变化

如图2和表2所示,色泽参数的动态变化客观反映了枣果实在贮藏过程中的颜色变化。枣果实成熟度越高,a*值越高,L*值和b*值越低。随着枣果实贮藏时间的延长,白熟期和半红期枣果实逐渐转红。白熟期枣果实L*值先升高后降低,第6 天果实L*值(43.21)显著降低;果皮转红面积明显增加,a*值在第6 天迅速上升为8.03,第8 天下降至5.29,后续变化幅度减小;b*值整体呈下降趋势,第1 天为56.56,第9天为49.59,下降了12.32%。在第1~6天,半红期枣果实L*值在28.43~34.52 之间变化,第7 天果实L*值上升为40.05,比第6 天上升了37.43%;同时,果皮全部转变为红色,a*值在第1~6 天的变化起伏较大,第7 天上升至17.20,后续呈稳定升高的趋势;b*值在采后整体呈下降趋势,第1 天为34.79,第9天为26.22,下降了24.63%。全红期枣果实L*值在贮藏第3 天显著降低,a*值在第2 天显著升高,b*值变化不显著,枣果实颜色加深。

图2 不同成熟度枣果实外观的动态变化
Fig. 2 Dynamic changes in the external appearance of jujube fruits at different maturity stages

表2 不同成熟度枣果实色泽参数的动态变化
Table 2 Dynamic changes in color parameters of jujube fruits at different maturity stages

注:不同小写字母表示枣果实同一成熟度不同天数差异显著(P<0.05)。下同
Note:Different small letters indicate significant differences in jujube fruits at the same maturity stage across different days (P<0.05). The same below.

色泽Colour and lustre L*时期Period白熟期White-ripe stage半红期Half-red stage全红期Full-red stage白熟期White-ripe stage半红期Half-red stage全红期Full-red stage白熟期White-ripe stage半红期Half-red stage全红期Full-red stage贮藏时间Storage time/d 1 64.62±6.41 ab 32.60±16.54 a 35.13±3.25 a 2.86±6.51 ab 16.18±6.27 ab 20.75±1.06 c 56.56±8.83 a 34.79±7.36 bc 18.56±2.06 a 2 3 4 5 6 7 8 9 42.93±7.45 c 35.36±20.31 a 28.13±3.83 b 5.79±5.26 ab 19.44±2.49 a 23.62±0.84 ab 49.59±4.91 ab 26.22±6.16 c 21.36±2.19 a a*b*70.29±10.60 a 34.52±14.26 a 31.49±2.70 ab 2.28±5.17 ab 5.08±7.01 c 24.56±1.41 a 55.00±4.79 ab 49.37±11.94 a 18.83±5.76 a 68.85±10.99 ab 28.43±14.14 a 27.84±5.08 b 2.52±5.73 ab 10.40±6.49 bc 24.26±2.33 a 49.14±8.95 ab 39.53±12.84 ab 18.92±1.56 a 70.62±12.63 a 33.74±15.83 a 27.68±5.80 b 1.68±3.90 b 16.78±4.60 ab 23.07±2.52 abc 50.89±7.17 ab 30.12±7.04 bc 18.63±1.44 a 76.69±8.62 a 30.96±20.08 a 31.50±1.44 ab 6.82±4.74 ab 14.09±7.54 ab 21.63±1.58 bc 44.23±6.32 b 32.30±8.95 bc 20.83±2.67 a 43.21±12.32 c 29.14±15.48 a 31.85±1.49 ab 8.03±7.56 a 16.39±4.41 ab 24.89±2.32 a 44.59±10.81 b 27.07±6.88 c 23.35±3.63 a 53.64±6.04 bc 40.05±20.93 a 30.43±2.34 ab 2.73±5.84 ab 17.20±4.04 ab 24.07±0.66 ab 51.68±7.52 ab 24.52±7.81 c 22.61±5.83 a 46.82±5.80 c 31.45±17.41 a 30.55±3.56 ab 5.29±5.66 ab 19.09±2.38 a 22.85±2.19 abc 48.85±12.84 ab 23.09±4.11 c 20.72±4.28 a

2.3 不同成熟度枣果实采后硬度的动态变化

如图3-A 所示,不同成熟度果实的采后硬度整体均呈下降趋势,且在贮藏期间,各时期果实硬度整体表现为白熟期>半红期>全红期。白熟期枣果实硬度在采后第2天显著下降,半红期在第3天显著下降,全红期在第7 天显著下降。贮藏至第9 天,白熟期、半红期、全红期硬度分别为7.10 N、6.78 N、5.95 N,较第1天分别降低了23.99%、10.66%、12.10%。

图3 不同成熟度枣果实硬度、呼吸速率的动态变化
Fig. 3 Dynamic changes in firmness and respiration rate of jujube fruits at different maturity stages

2.4 不同成熟度枣果实采后呼吸速率的动态变化

如图3-B 所示,枣果实成熟度越高,呼吸速率越高。采后第1天,白熟期、半红期、全红期枣果实的呼吸速率分别为15.89 mg·kg-1·h-1、21.28 mg·kg-1·h-1、35.50 mg·kg-1·h-1。白熟期枣果实在第3 天(21.99 mg·kg-1·h-1)和第7天(18.26 mg·kg-1·h-1)出现呼吸峰;半红期枣果实在第3 天(30.81 mg·kg-1·h-1)和第6 天(27.94 mg·kg-1·h-1)出现呼吸峰;全红期未出现呼吸峰,呼吸速率整体呈下降趋势。贮藏至第9天,白熟期、半红期、全红期的呼吸速率分别为18.15 mg·kg-1·h-1、22.07 mg·kg-1·h-1、19.77 mg·kg-1·h-1

2.5 不同成熟度枣果实采后失水率的动态变化

如图4-A 和表3 所示,3 个成熟度的枣果实失水率均随着贮藏期的延长而逐渐升高。在贮藏期间,失水率表现为全红期>半红期>白熟期。第5 天,全红期的失水率显著高于半红期和白熟期。第9天,全红期、半红期、白熟期失水率分别达到4.92%、3.57%、2.73%。

图4 不同成熟度枣果实失水率、腐烂率的动态变化
Fig. 4 Dynamic changes in water loss rate and decay incidence of jujube fruits at different maturity stages

表3 不同贮藏时间枣果实失水率、腐烂率的变化
Table 3 The changes in water loss rate and rot rate of jujube fruits at different maturity stages

注:不同小写字母表示不同成熟度枣果实在同一天差异显著(P<0.05)。
Note:Different small letters indicate significant differences in jujube fruits at different maturity stages on the same day (P<0.05).

指标Index失水率Water loss rate/%贮藏时间Storage time/d 1 0.00±0.00 a 2时期Period白熟期White-ripe stage半红期Half-red stage全红期Full-red stage白熟期White-ripe stage半红期Half-red stage全红期Full-red stage 3 4 5 6 7 8 9 0.22±0.02 b 0.68±0.07 b 0.84±0.10 b 1.18±0.12 c 1.58±0.07 b 1.95±0.06 b 2.36±0.09 b 2.73±0.13 b 0.00±0.00 a 0.40±0.05 a 0.85±0.06 ab 1.33±0.1 ab 1.73±0.23 b 2.18±0.33 b 2.62±0.45 b 3.15±0.54 b 3.57±0.47 b 0.00±0.00 a 0.44±0.11 a 1.08±0.17 a 1.76±0.39 a 2.49±0.17 a 3.15±0.30 a 3.86±0.32 a 4.23±0.49 a 4.92±0.74 a腐烂率Rot rate/%0.00±0.00 a 1.11±1.92 ab 2.22±3.85 b 3.33±5.77 b 4.44±5.09 b 6.67±5.77 b 8.89±1.92 c 17.78±3.85 b 22.22±5.09 b 0.00±0.00 a 0.00±0.00 b 2.22±1.92 b 6.67±0.00 b 11.11±3.85 b 13.33±3.33 b 17.78±1.92 b 21.11±1.92 b 23.33±0.00 b 0.00±0.00 a 5.71±2.86 a 15.24±1.65 a 21.90±1.65 a 25.71±2.86 a 33.33±4.36 a 41.90±4.36 a 49.52±5.95 a 57.14±2.86 a

2.6 不同成熟度枣果实采后腐烂率的动态变化

果实的腐烂程度可以直接反映果实的储藏质量和耐储性,如图4-B 和表3 所示。3 个成熟度的枣果实腐烂率均随贮藏时间的延长而升高,全红期枣果实在采后第3 天的腐烂率显著高于白熟期和半红期。全红期、半红期、白熟期枣果实腐烂率分别在第4 天(21.90%)、第8 天(21.11%)、第9 天(22.22%)超过20.00%。第9 天,全红期、半红期、白熟期腐烂率分别为57.14%、23.33%、22.22%。这表明全红期枣果实不耐贮藏,白熟期与半红期枣果实的腐烂率无显著差异。

2.7 不同成熟度枣果实采后黄酮、总酚含量的动态变化

如图5-A~B 所示,枣果实成熟度越高,黄酮、总酚含量越低。白熟期、半红期、全红期枣果实在采后第1 天的黄酮含量分别为5.95 mg·g-1、2.42 mg·g-1、0.67 mg·g-1,总酚含量分别为7.63 mg·g-1、5.54 mg·g-1、4.30 mg·g-1。在整个贮藏过程中,黄酮、总酚含量均表现为白熟期>半红期>全红期。其中,白熟期的黄酮、总酚含量均呈现下降-上升-下降的趋势;采后第2 天黄酮、总酚含量均显著降低;黄酮含量在第1天最高(5.95 mg·g-1),第1~6天呈先下降后升高的趋势,并于第6 天升高至5.27 mg·g-1。总酚含量在第4天升至最高(7.93 mg·g-1),第5天开始逐渐下降。贮藏期末,白熟期的黄酮、总酚含量分别为3.96 mg·g-1、6.17 mg·g-1,同比第1 天显著降低。半红期的黄酮、总酚含量在第7 天均显著降低,第9 天的黄酮、总酚含量分别为0.74 mg·g-1、4.25 mg·g-1,同比第1天分别下降了69.42%、23.29%。全红期枣果实的黄酮、总酚含量整体均呈下降趋势,贮藏第9天,黄酮、总酚含量分别为0.51 mg·g-1、3.97 mg·g-1,较第1天分别下降了23.89%、7.24%。

图5 不同成熟度枣果实黄酮、总酚、维生素C、丙二醛含量的动态变化
Fig. 5 Dynamic changes in flavonoid, total phenolic, vitamin C, and malondialdehyde content in jujube fruit at different maturation stages

2.8 不同成熟度枣果实采后维生素C、丙二醛含量的动态变化

如图5-C所示,枣果实成熟度越高,维生素C含量越低。随着贮藏时间的延长,维生素含量逐渐降低。采后第1天,白熟期、半红期、全红期枣果实维生素C含量分别为286.59 mg·100 g-1、242.45 mg·100 g-1、213.97 mg·100 g-1;第2 天维生素C 含量均显著降低;第9 天白熟期、半红期、全红期的维素C 含量分别为205.17 mg·100 g-1、188.25 mg·100 g-1、170.80 mg·100 g-1,较第1 天分别降低了28.41%、22.36%、20.18%。在贮藏期间,维生素C含量均表现为白熟期>半红期>全红期。因此,在贮藏过程中白熟期果实能保持较高的维生素C含量,半红期次之。

如图5-D所示,白熟期、半红期、全红期枣果实在采后第1天的丙二醛含量(b)分别为0.101 μmol·100 g-1、0.081 μmol·100 g-1、0.105 μmol·100 g-1。白熟期和半红期枣果实丙二醛含量整体随着贮藏时间的延长而升高,均在第5 天趋于稳定。第5~9 天,白熟期的丙二醛含量在0.108~0.118 μmol·100 g-1之间浮动,半红期在0.118~0.129 μmol·100 g-1之间浮动。全红期枣果实的丙二醛含量整体呈先上升后下降的趋势,第3天丙二醛含量上升至最高(0.144 μmol·100 g-1),第5天较第3天显著降低,后期丙二醛含量在0.109~0.134 μmol·100 g-1之间浮动。全红期枣果实丙二醛含量在第1~4天高于白熟期和半红期,第5天这3个成熟度枣果实的丙二醛含量相近。

2.9 不同成熟度枣果实采后糖组分含量的动态变化

如图6 所示,枣果实成熟度不同,其糖组分占比不同。白熟期以果糖、葡萄糖占比较大(图6-A),半红期、全红期以蔗糖占比较大(图6-B~C),蔗糖含量随着成熟度的增加而增加。在采后贮藏期间,白熟期果实总糖含量呈先升高后降低的趋势,半红期呈先升高后降低再升高的趋势,全红期整体呈逐渐升高的趋势。采后第1 天,白熟期、半红期、全红期果实总糖含量分别为212.28 mg·g-1、319.27 mg·g-1、325.19 mg·g-1。白熟期果实总糖含量在第3 天升至最高(233.04 mg·g-1),第9 天(202.14 mg·g-1)显著降低;半红期果实总糖含量在第6 天显著降低(273.94 mg·g-1),第7~9 天逐渐升高,第9 天显著升高为362.78 mg·g-1;全红期果实总糖含量在第8 天显著升高(403.65 mg·g-1)。

图6 不同成熟度枣果实糖组分含量的动态变化
Fig. 6 Dynamic changes in sugar components content in jujube fruits at different maturity stages

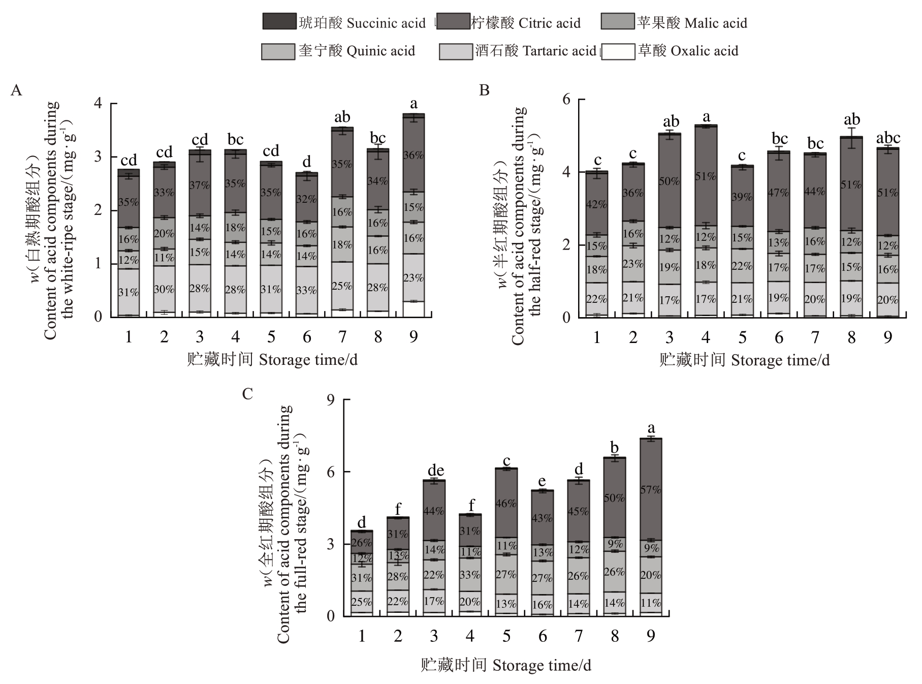
2.10 不同成熟度枣果实采后酸组分含量的动态变化

如图7 所示,不同成熟度枣果实酸组分均以柠檬酸、酒石酸、苹果酸、奎宁酸为主,琥珀酸和草酸含量最低。其中,奎宁酸含量占比随着成熟度的增加而增大,苹果酸反之。随着贮藏时间的延长,白熟期果实柠檬酸含量占比整体呈上升趋势,总酸含量则呈现波浪式起伏变化,第1天总酸含量为2.77 mg·g-1,第9 天为3.81 mg·g-1(图7-A)。半红期果实总酸含量呈先上升后下降的趋势,在第4 天总酸含量(5.30 mg·g-1)升至最高,第5天总酸含量(4.19 mg·g-1)显著降低,第9 天总酸含量为4.67 mg·g-1(图7-B)。全红期果实柠檬酸含量占比整体呈上升趋势,第9天占比最高为57.00%;总酸含量整体呈上升趋势,第9 天总酸含量较第1 天上升了51.68%(图7-C)。根据以上结果可知随着贮藏时间的延长,各成熟度果实的柠檬酸含量整体均呈上升趋势,酸组分含量表现为全红期>半红期>白熟期。

图7 不同成熟度枣果实酸组分含量的动态变化
Fig. 7 Dynamic changes in acid components content in jujube fruits at different maturity stages

2.11 不同成熟度枣果实采后贮藏性各指标的相关性分析

对不同成熟度枣果实贮藏期间的11 项品质指标进行相关性分析(图8),结果表明多数指标间存在显著关联。果实硬度与黄酮、总酚含量呈显著正相关(P<0.05),与失水率、腐烂率及丙二醛含量均呈极显著负相关(P<0.01)。失水率与腐烂率、丙二醛含量呈极显著正相关(P<0.01),而与黄酮、总酚及维生素C 含量均呈极显著负相关(P<0.01)。此外,丙二醛作为氧化损伤物质,其含量与3 种抗氧化物质(黄酮、总酚、维生素C)含量均呈极显著负相关(P<0.01),而3 种抗氧化物质含量之间则多呈显著正相关(P<0.05)。呼吸速率仅与维生素C 含量呈显著负相关(P<0.05)。由此可见,不同成熟度枣果实在贮藏期间的多项指标存在显著相关性。

图8 不同成熟度枣果实贮藏性各指标相关性分析
Fig. 8 Correlation analysis of storage performance parameters in jujube fruits at different maturity stages

3 讨 论

水果在自然界中广泛分布,但其经济价值常受到相对较短成熟期的限制,这缩短了果实的采后生命周期[13]。果实在采后贮藏和运输时的保质期通常与果实的采收时期和损伤情况有关。

果实的感官品质是影响消费者购买意愿的主要因素,可以根据感官品质的变化来预测果实营养品质的变化趋势[14]。通过对枣果实的外观、口感等指标进行评价,以综合判断果实的新鲜程度。感官评价结果表明,3 个成熟期枣果实的汁液评分均较低,外观评分较高;全红期的总体评价最高,半红期次之,白熟期最低。

果实颜色既是判断成熟度和进行果品分级的主要标准,也是评价采后贮藏品质和消费者接受度的主要指标之一[15-16]。塔优12 号果皮颜色变化较为特殊,随着果实的成熟,颜色由紫红色变为黄绿色,最终变为红色。本研究中3个成熟度枣果实在常温下颜色变化显著,但各时期色泽参数变化趋势存在明显差异。白熟期枣果实L*值先升高后降低;半红期果实在第7 天全部转变为红色时,L*值整体上先升高后降低。白熟期、半红期果实L*值的变化规律与牛润滋[17]对冬枣的研究结果不同,这可能与该材料果皮富含紫红色色素有关。随着贮藏时间的延长,紫红色逐渐消失,L*值升高;后期果皮转变为红色,L*值则降低。半红期枣果实a*值变化规律与胡慧慧[18]的研究结果一致。

果实在贮藏过程中,由于水分流失和细胞壁退化而导致果实硬度降低。本研究结果与王娟等[19]的结果一致,即果实硬度整体表现为白熟期>半红期>全红期,且采后果实硬度呈下降趋势。这可能是因为果实成熟度越高,细胞壁果胶分解越严重,进而导致细胞结构发生变化[20]。半红期和全红期果实硬度降低幅度小于白熟期,这可能与其初始硬度较低相关。

枣果实在采后依然可以进行生命活动,其中呼吸作用是重要的生命活动之一。采后白熟期和半红期果实均出现了两次呼吸峰,这与罗政等[21]关于冬枣在0 ℃贮藏时的呼吸速率变化一致;全红期果实呼吸速率变化则与冯荦荦等[22]的研究结果一致。枣果实第一次呼吸峰出现在果实未完全转红之前,这可能是由于在常温下枣果实依然呼吸旺盛,为应对采后的逆境条件产生了短暂的呼吸峰;第二次呼吸峰出现在枣果实转红前后,结合前人的研究结果,推测该次呼吸峰可能对应塔优12 号果实的完熟期。随着全红期枣果实逐渐进入完熟状态,营养物质不断消耗,呼吸速率逐渐下降,在第5天后呼吸速率逐渐趋于稳定。

在采后贮藏阶段,由于呼吸作用导致果实失水。不同成熟度果实的生理活跃程度不同,其失水程度存在差异[23]。大部分果蔬采后失水率达到5%~10%就会丧失商品价值[24]。全红期果实采后的失水现象最严重,其次是半红期,白熟期最轻。失水率与腐烂率显著相关,全红期果实腐烂率显著高于其他两个时期,贮藏至第4 天时腐烂率超过20%,贮藏品质严重下降,不适合在常温下长期保存。

多酚类和黄酮类等次生代谢产物,是植物体内重要的植保类物质,具有良好的抗氧化活性[25]。在本研究中抗氧化物质含量为白熟期>半红期>全红期,白熟期的抗氧化能力最强,其次为半红期。总酚含量在白熟期达到最高,且总酚、黄酮含量随着果实的成熟呈下降趋势,这与前人研究结果一致[26];而维生素C 含量的变化趋势与黎桂坤等[27]的研究结果一致,与蒋宝等[28]相反,推测是由于品种不同而产生的差异。

研究表明,采收成熟度过低或过高均不利于果实的贮藏和品质改善。果实采收过早会导致贮藏过程中果实营养品质变差,而采收过晚则会加速果实的成熟与衰老进程[29]。采收成熟度严重影响果实品质,苹果作为鲜食水果,成熟果实中的糖含量高于未成熟果实,而淀粉含量则相反[14]。在本研究结果中,全红期总糖含量最高,其次为半红期,白熟期最低,且半红期和全红期总糖含量在贮藏过程中整体均呈上升趋势。根据枣的糖组分含量,可将枣种质资源分为蔗糖积累型、还原糖积累型以及中间类型[30]。塔优12 号的蔗糖含量在半红期以及全红期积累超过58%,属于蔗糖积累型。本研究结果表明塔优12号蔗糖含量在全红期积累最多。

果实中有机酸多以柠檬酸、酒石酸或苹果酸为主要积累,且有机酸组分含量在果实发育前期积累,在成熟期下降[31]。在屈丝雨等[32]的研究中,全红期的冬枣和京沧1 号果实含酸量较白熟期高,与本研究结果一致,而白熟期的伏脆蜜果实有机酸含量高于全红期,该差异可能与品种有关,需要进一步系统研究。塔优12 号果实的酸组分主要为柠檬酸,半红期果实的柠檬酸含量占比高于白熟期,且整体上随着贮藏时间的延长而增大;全红期果实中柠檬酸与奎宁酸含量占比增大。由此表明,随着成熟度的提高,在总酸含量增加的同时,柠檬酸和奎宁酸含量也逐渐增多,因此该枣果实在成熟以及贮藏过程中以柠檬酸、奎宁酸的合成为主。

4 结 论

综上所述,塔优12 号白熟期果实在贮藏过程中果实硬度、失水率等贮藏性质均优于半红期和全红期,但果实营养品质及口感显著低于半红期和全红期,鲜食价值不高,可加工为果脯、罐头、蜜饯等副食品;半红期枣果实的贮藏性质及部分营养品质显著高于全红期,且口感佳,较耐贮。在生产销售过程中,若产销两地相距较远、需长途运输时,为降低果实损耗率并保持果实口感,可采摘半红期果实,同时可以利用低温、气调、低压、热处理等贮藏方式延长鲜食枣的保质期;全红期枣果实在贮藏过程中腐烂、失水现象严重,不耐贮藏,但口感较好。如用于本地销售或加工,可选择在全红期采收。鲜枣果实具有较高的食用和商品价值,半红期可作为塔优12号的最佳采摘期。然而尚未见有关延长该果实贮藏期的研究,未来可结合低温、气调、化学、生物等保鲜技术,确定该果实的最佳贮藏方案。

参考文献 References:

[1] 李运毛,陆晖,李翔,冯学瑞,马冲,张悦,曹兵. 灵武长枣果实光泽度及其品质的调查与分析[J]. 河南农业科学,2024,53(10):127-137.LI Yunmao,LU Hui,LI Xiang,FENG Xuerui,MA Chong,ZHANG Yue,CAO Bing. Investigation and analysis of the glossiness of fruit and its quality of Ziziphus jujuba Mill. cv.‘Lingwuchangzao’[J]. Journal of Henan Agricultural Sciences,2024,53(10):127-137.

[2] 王丽娜,陈川,何荣军,孙培龙. 不同成熟期鲜枣香气物质变化及相关合成酶活性研究[J]. 核农学报,2023,37(11):2232-2242.WANG Lina,CHEN Chuan,HE Rongjun,SUN Peilong. Changes in aroma components and related enzyme activities in fresh jujube fruit at different ripening stages[J]. Journal of Nuclear Agricultural Sciences,2023,37(11):2232-2242.

[3] 李新岗. 中国枣产业[M]. 北京:中国林业出版社,2015:25.LI Xingang. Chinese jujube industry[M]. Beijing:China Forestry Publishing House,2015:25.

[4] 刘孟军,王玖瑞. 新中国果树科学研究70 年:枣[J]. 果树学报,2019,36(10):1369-1381.LIU Mengjun,WANG Jiurui. Fruit scientific research in New China in the past 70 years:Chinese jujube[J]. Journal of Fruit Science,2019,36(10):1369-1381.

[5] 周晨城. 中国鲜食枣产业现状调研[D]. 杨凌:西北农林科技大学,2023:5-6.ZHOU Chencheng. Investigation on the fresh jujube industry in China[D]. Yangling:Northwest A & F University,2023:5-6.

[6] ZHAO Y T,ZHU X,HOU Y Y,PAN Y F,SHI L,LI X H. Effects of harvest maturity stage on postharvest quality of winter jujube (Zizyphus jujuba Mill. cv. Dongzao) fruit during cold storage[J]. Scientia Horticulturae,2021,277:109778.

[7] 杨亚丽,刘慧燕,方海田,张浩宇,李金娜,张光弟. 低温低压静电场处理结合微孔PE 膜包装对不同成熟度灵武长枣贮藏品质的影响[J]. 食品与机械,2020,36(5):128-132.YANG Yali,LIU Huiyan,FANG Haitian,ZHANG Haoyu,LI Jinna,ZHANG Guangdi. Effects of low temperature and low voltage electrostatic field treatment combined with microporous PE film packaging on storage quality of different maturity Lingwu long jujube[J]. Food & Machinery,2020,36(5):128-132.

[8] 王静,杨丽君,赵萌,丁吉宗,丛伟红,胡巧茹. 南瓜果实采后几种营养品质指标的变化规律[J]. 食品科技,2010,35(1):52-55.WANG Jing,YANG Lijun,ZHAO Meng,DING Jizong,CONG Weihong,HU Qiaoru. Changes of several nutrient components in pumpkin fruit after harvest[J]. Food Science and Technology,2010,35(1):52-55.

[9] 肖程顺. 五种红枣采后生理与贮藏特性比较研究[D]. 西安:陕西科技大学,2012.XIAO Chengshun. The comparative study of postharvest physiology and storage property of five kinds of jujubes[D]. Xi’an:Shaanxi University of Science & Technology,2012.

[10] 中华人民共和国国家质量监督检验检疫总局,中国国家标准化管理委员会. 冬枣:GB/T 32714—2016[S]. 北京:中国标准出版社,2016.General Administration of Quality Supervision,Inspection and Quarantine of the People’s Republic of China,National Standardization Administration. Chinese Jujube:GB/T 32714—2016[S].Beijing:China Standards Press,2016.

[11] 曹建康,姜微波,赵玉梅. 果蔬采后生理生化实验指导[M]. 北京:中国轻工业出版社,2007:45-50.CAO Jiankang,JIANG Weibo,ZHAO Yumei. Experimental guidance for postharvest physiology and biochemistry of fruits and vegetables[M]. Beijing:China Light Industry Press,2007:45-50.

[12] 左晓婷,李丽莉,孙玉芳,靳娟,杨晓娟,郝庆. 烘干温度和时间对灰枣品质特征的影响[J]. 西北植物学报,2023,43(12):2070-2078.ZUO Xiaoting,LI Lili,SUN Yufang,JIN Juan,YANG Xiaojuan,HAO Qing. Fruit quality characteristics of Ziziphus jujuba under different drying temperature and time combinations[J]. Acta Botanica Boreali-Occidentalia Sinica,2023,43(12):2070-2078.

[13] 邓秀新. 关于我国水果产业发展若干问题的思考[J]. 果树学报,2021,38(1):121-127.DENG Xiuxin. Thoughts on the development of China’s fruit industry[J]. Journal of Fruit Science,2021,38(1):121-127.

[14] 孙江艳,刘义凤,刘磊,刘士伟,韩晓峰,柳嘉,段盛林,王永霞.食品感官评价的技术手段与应用研究进展[J]. 食品工业科技,2023,44(24):359-366.SUN Jiangyan,LIU Yifeng,LIU Lei,LIU Shiwei,HAN Xiaofeng,LIU Jia,DUAN Shenglin,WANG Yongxia. Analysis on the technical means and application status of food sensory evaluation[J]. Science and Technology of Food Industry,2023,44(24):359-366.

[15] WANG J,WANG J H,LI Y,LV Y Q,ZHAO J,LI H,ZHANG B,ZHANG M S,TIAN J W,LI X L,XING L B. Epigenomic mechanism regulating the quality and ripeness of apple fruit with differing harvest maturity[J]. Physiologia Plantarum,2024,176(2):e14278.

[16] INFANTE R,MENESES C,DEFILIPPI B G. Effect of harvest maturity stage on the sensory quality of ‘Palsteyn’ apricot(Prunus armeniaca L.) after cold storage[J]. The Journal of Horticultural Science and Biotechnology,2008,83(6):828-832.

[17] 牛润滋. 冬枣果实采后代谢物变化特征研究[D]. 杨凌:西北农林科技大学,2023:18.NIU Runzi. Postharvest metabolites change characteristics in winter jujube[D]. Yangling:Northwest A & F University,2023:18.

[18] 胡慧慧,张辉,古丽丹·塔勒达吾,地力白尔·依明. 冰温保鲜对新疆鲜枣贮藏品质的影响[J]. 保鲜与加工,2020,20(2):62-67.HU Huihui,ZHANG Hui,Gulidan·Taledawu,Dilibaier·Yiming.Effect of ice temperature preservation on storage quality of fresh jujube in Xinjiang[J]. Storage and Process,2020,20(2):62-67.

[19] 王娟,张海红,马晓艳,高坤,王通. 灵武长枣贮藏过程中活性氧代谢和水分迁移与果实硬度的相关性[J]. 食品科学,2022,43(1):184-190.WANG Juan,ZHANG Haihong,MA Xiaoyan,GAO Kun,WANG Tong. Correlation of active oxygen metabolism and water migration with fruit firmness in Lingwuchangzao jujube during storage[J]. Food Science,2022,43(1):184-190.

[20] 高宇思,杨林先,刘冰雁. 低温胁迫下果树的生理响应研究进展[J]. 北方果树,2023(4):1-5.GAO Yusi,YANG Linxian,LIU Bingyan. Physiological response of fruit trees under low temperature stress research progress[J]. Northern Fruits,2023(4):1-5.

[21] 罗政,耿子坚,陈飞平,王玲,张惠娜,陈于陇. 不同气调包装对鲜食冬枣保鲜效果的比较[J]. 广东农业科学,2021,48(3):151-159.LUO Zheng,GENG Zijian,CHEN Feiping,WANG Ling,ZHANG Huina,CHEN Yulong. Comparison of fresh-keeping effects of different modified atmosphere packaging on fresh winter jujube[J]. Guangdong Agricultural Sciences,2021,48(3):151-159.

[22] 冯荦荦,郜海燕,张润光,闫欣鹏,张娅妮,韩齐齐,张有林. 不同气体成分贮藏对狗头枣鲜果生理变化与品质的影响[J]. 浙江农业学报,2021,33(4):704-713.FENG Luoluo,GAO Haiyan,ZHANG Runguang,YAN Xinpeng,ZHANG Yani,HAN Qiqi,ZHANG Youlin. Effects of different gas composition storage on physiological changes and quality of Dog-head jujube fruit[J]. Acta Agriculturae Zhejiangensis,2021,33(4):704-713.

[23] 许奇志,陈秀萍,邓朝军,蒋际谋. 采摘成熟度对‘新白8 号’枇杷常温贮藏效果的影响[J]. 果树学报,2019,36(12):1744-1753.XU Qizhi,CHEN Xiuping,DENG Chaojun,JIANG Jimou. Effect of different harvest maturity on storage quality of loquat‘Xinbai No. 8’ at room temperature[J]. Journal of Fruit Science,2019,36(12):1744-1753.

[24] LUFU R,AMBAW A,OPARA U L. Water loss of fresh fruit:Influencing pre-harvest,harvest and postharvest factors[J]. Scientia Horticulturae,2020,272:109519.

[25] 王彬彬,李娜,范伟,李季生,贾漫丽. 茉莉酸甲酯处理对桑椹采后生理及贮藏品质的影响[J]. 食品科学,2025,46(13):314-323.WANG Binbin,LI Na,FAN Wei,LI Jisheng,JIA Manli. Effect of methyl jasmonate treatment on postharvest physiology and storage quality of mulberry fruits[J]. Food Science,2025,46(13):314-323.

[26] WANG C T,CHENG D,CAO J K,JIANG W B. Antioxidant capacity and chemical constituents of Chinese jujube (Ziziphus jujuba Mill.) at different ripening stages[J]. Food Science and Biotechnology,2013,22(3):639-644.

[27] 黎桂坤,王仁才,仇振华,刘吉凯,石浩,黄建玲. 不同采收时期对南方冬枣贮藏性能的影响[J]. 湖南农业科学,2013(12):39-41.LI Guikun,WANG Rencai,QIU Zhenhua,LIU Jikai,SHI Hao,HUANG Jianling. Effects of different harvesting periods on storage performance of southern winter jujube[J]. Hunan Agricultural Sciences,2013(12):39-41.

[28] 蒋宝,侯清娥,高红芳,杨玉娜. 不同采收成熟度对设施冬枣综合品质的影响[J]. 江苏农业学报,2024,40(7):1312-1319.JIANG Bao,HOU Qing’e,GAO Hongfang,YANG Yuna. Effects of different harvest maturity on the comprehensive quality of Ziziphus jujuba Mill. cv. Dongzao under protected cultivation condition[J]. Jiangsu Journal of Agricultural Sciences,2024,40(7):1312-1319.

[29] THOLE V,VAIN P,YANG R Y,DA SILVA J A B,ENFISSI E M A,NOGUEIRA M,PRICE E J,ALSEEKH S,FERNIE A R,FRASER P D,HANSON P,MARTIN C. Analysis of tomato post-harvest properties:Fruit color,shelf life,and fungal susceptibility[J]. Current Protocols in Plant Biology,2020,5(2):e20108.

[30] 周晓凤. 基于果实糖酸分析的枣种质资源遗传多样性研究[D].阿拉尔:塔里木大学,2019:2.ZHOU Xiaofeng. Genetic diversity research based on fruit sugar and acid of jujube germplasm[D]. Ala’er:Tarim University,2019:2.

[31] 周先艳,朱春华,李进学,高俊燕,龚琪,沈正松,岳建强. 果实有机酸代谢研究进展[J]. 中国南方果树,2015,44(1):120-125.ZHOU Xianyan,ZHU Chunhua,LI Jinxue,GAO Junyan,GONG Qi,SHEN Zhengsong,YUE Jianqiang. Research progress on organic acid metabolism in fruits[J]. South China Fruits,2015,44(1):120-125.

[32] 屈丝雨,任甜,樊丁宇,郝庆,李亚兰. 鲜食枣果实发育期糖酸组分含量及比例的变化[J]. 北方园艺,2024(6):86-92.QU Siyu,REN Tian,FAN Dingyu,HAO Qing,LI Yalan. Changes in the content and proportion of sugar and acid components during the developing period of fresh jujube fruit[J]. Northern Horticulture,2024(6):86-92.

Changes in postharvest fruits quality from a superior line of Ziziphus jujuba ‘Tailihong’ seedling progeny at different maturity stages

ZENG Jianhui, XIANG Biao, WU Cuiyun, LIN Minjuan*

(College of Horticulture and Forestry, Tarim University/National and Local Joint Engineering Laboratory for High-efficiency and Highquality Cultivation and Deep Processing Technology of Special Fruit Trees in Southern Xinjiang, Alar 843300, Xinjiang, China)

Abstract:【Objective】 Ziziphus jujuba Mill., a hallmark fruit crop in China, holds significant economic and cultural value due to its dual utility for fresh consumption and drying. However, the rapid postharvest quality deterioration of fresh jujube limits its market circulation and storage duration. The physiological changes and nutrient retention in fruits postharvest are profoundly influenced by maturity stages,making the determination of the optimal harvest period a critical issue for balancing fruit quality, storability, and commercial value. Tayou 12, a superior line derived from seedling progeny of the Tailihong jujube, stands out for its stable yield, high productivity, intense sweetness, and large fruit size. Despite its outstanding agronomic traits, systematic studies on the postharvest quality dynamics of its fruit at different maturity stages remain scarce. This research aims to elucidate quality changes during ambient storage of Tayou 12 fruits at varying maturity stages, and to provide reference for precise harvest timing. 【Methods】 Fruits at three maturity stages, including white-ripe stage (<5% reddening, greenwhite peel, crisp texture), half-red stage (50%-70% reddening, transitional green-red coloration), and full-red stage (>95% reddening, physiological maturity with complete sugar accumulation), were studied. For each stage, 20 kg of intact, undamaged, disease-free fruits were stored in ventilated plastic crates at 25±1 ℃ and 75%±5% relative humidity. Daily sampling was conducted to assess water loss(gravimetric method, %), firmness (TMS-PRO texture analyzer, N), total phenolics (Folin-Ciocalteu method, mg·g-1), flavonoids (aluminum nitrate-sodium nitrite colorimetry, mg·g-1), vitamin C (2,6-dichloroindophenol titration, mg·100 g-1), malondialdehyde (spectrophotometry, μmol·100 g-1), respiration rate (closed-system gas chromatography, mg·kg-1·h-1), decay rate (visual inspection, %), organic acids, and sugar profiles (HPLC, mg·g-1). 【Results】 During storage, the sensory evaluation of fruits at different maturity stages showed significant differences. The total evaluation score of the white-ripe stage was the highest at 25.3 points on the 4th day; the half-red stage (26.4 points) and the full-red stage (28.9 points) both had the highest total scores on the 1st day. After 9 days of storage, fruit at full-red stage showed the best sensory evaluation during the storage period, making it suitable for fresh consumption.After harvest, the white-ripe and half-red stage fruits increased in the red area of the peel with the increase of storage time. The half-red stage fruits turned completely red on the 7th day, indicating that the post-harvest ripening process of immature jujube fruits continued. During storage, the firmness of jujube fruits at different maturity stages decreased. The white-ripe stage fruits had the highest initial firmness (9.35 N) and the greatest degree of decline. The firmness of the full-red fruits decreased to 5.92 N on the 7th day. The firmness of the half-red stage jujube fruits was between those of the white-ripe fruits and full-red fruits. The full-red fruits had the highest initial respiration rate (35.50 mg·kg-1·h-1),which was 2.24 times that of the white-ripe fruits (15.89 mg·kg-1·h-1) and 1.67 times that of the half-red fruits (21.28 mg·kg-1·h-1), reflecting vigorous metabolic activities. However, during storage, the respiration rate of the full-red fruits showed a significant downward trend, and became lower than that of the half-red fruits from the 5th day. The white-ripe and half-red fruits both showed respiration peaks during storage, and they had no significant difference in initial respiration rate and final respiration rate, indicating that immature fruits could maintain metabolic vitality during post-harvest storage. The water loss rate during storage increased with the increase of maturity:white-ripe stage (2.73% on the 9th day of storage)<half-red stage (3.57%)<full-red stage (4.92%), which was related to the stomatal density and cuticle thickness of the peel. The full-red fruits deteriorated rapidly, with a decay rate of 21.9% on the 4th day of storage, mainly due to peel softening and a decrease in the content of antibacterial substances. The white-ripe fruits had significantly higher initial contents of total phenols (7.63 mg·g-1), flavonoids (5.95 mg·g-1), and vitamin C (286.59 mg·100 g-1), which might be related to the active synthesis of phenolic substances in the early stage of maturity. The sugar composition in jujube fruits varies with ripeness. In fruits at white-ripe stage, fructose and glucose accounted for a larger proportion, while in the half-red and full-red fruits, sucrose was the dominant sugar component. The total sugar content in the white-ripe fruits showed increased first and then decreased; in the half-red fruits total sugar presented a trend of increasing first, then decreasing and increasing again; and in the full-red fruits displayed a gradual increasing trend. The order of total sugar content among different stages was full-red stage >half-red stage >white-ripe stage. Specifically, the total sugar content in the white-ripe fruits reached the maximum on the 3th day (233.04 mg·g-1). In the half-red fruits, it increased significantly to 362.78 mg·g-1 on the 9th day. In the full-red fruits, the total sugar content rose significantly to 403.65 mg·g-1 on the 8th day. The major acids in the fruit included citric acid, tartaric acid and malic acid. During storage,the acid content in the full-red fruits showed constantly increased, and was generally higher than that in the white-ripe and half-red fruits. 【Conclusions】 This study systematically reveals the postharvest quality changes in “Tayou 12” jujube at maturity stages during storage. The half-red fruits proved to be optimal for harvest, balancing nutrient retention (high antioxidants, balanced sugars), acceptable firmness(6.78 N at day 9), and moderate decay resistance (23.33% decay at day 9). White-ripe fruits are suitable for long-distance transportation or long-term storage; however, their low sugar content and rapid loss of nutrients restrict the fresh-eating quality. Full-red stage is ideal for immediate consumption or processing but requires strict logistics due to poor storage performance. These findings provide a scientific framework for precision harvesting tailored to end-use purposes. Future research should explore controlled atmosphere storage technologies to extend the shelf life of fruit at half-red stage, so as to maximize commercial benefits and consumer satisfaction.

Key words:Jujube; Maturity; Storage; Quality

中图分类号:S665.1

文献标志码:A

文章编号:1009-9980(2026)02-0394-13

DOI:10.13925/j.cnki.gsxb.20250291

收稿日期:2025-05-23

接受日期:2025-08-08

基金项目:兵团指导性科技计划项目(2023ZD104);塔里木大学创新研究团队资助项目(TDZKCX202310);塔里木大学研究生创新项目(TDGRI202232)

作者简介:曾建会,女,在读硕士研究生,研究方向为果树种质资源评价与品种选育。E-mail:zjh11082025@163.com

*通信作者Author for correspondence. E-mail:lmjzky@163.com