不同生长调节剂对黄土高原烟富3号苹果果实品质的影响

高建翔,马志艳,李英睿,李 宇,曾宝珍,杨文奇,梁国平,毛 娟*,陈佰鸿

(甘肃农业大学园艺学院,兰州 730070)

摘 要:【目的】探究喷施赤霉素、复硝酚钠与绿原酸配比组合对烟富3 号果实品质的影响,确定不同植物生长调节剂的最佳配施组合,为黄土高原地区苹果园的管理提供科学依据。【方法】以甘肃省静宁县6年生烟富3号苹果为研究对象,分别设置T1(赤霉素GA4)、T2(赤霉素GA7)、T3(赤霉素GA4+7)、T4(绿原酸)、T5(复硝酚钠)、T6[赤霉素(GA4+7)+复硝酚钠]、T7[赤霉素(GA4+7)+复硝酚钠+绿原酸]7 个处理,对幼果进行喷施,以清水作为对照(CK),对果实的外观品质和内在品质进行检测。【结果】T7处理显著提升了果实的单果质量、果形指数、果实色泽以及维生素C、总酚、总糖、可溶性固形物、可溶性蛋白含量,降低了果皮黄色度、类黄酮含量、单宁含量等。相比之下,T3处理对果实也有相似的提升作用,但综合效果次于T7 处理。酯类、醇类物质是烟富3 号的主要香气物质类型,T7 处理下乙酸丁酯、2-甲基丁酸丙酯、正己醇、4-丁氧基丁醇、己烯醛含量显著高于其他处理,T3处理下萘等其他类香气物质含量显著高于其他处理。【结论】喷施10 mg·L-1的赤霉素GA4+7或12 mg·L-1的赤霉素(GA4+7)+复硝酚钠+绿原酸对改善黄土高原地区烟富3 号果实品质产生了积极影响,其中以T7处理的效果更为显著。

关键词:烟富3号苹果;植物生长调节剂;果实品质;香气成分

苹果(Malus domestica Bork.),蔷薇科苹果属,是一种典型的落叶乔木,其果实中含有丰富的矿物质和多种维生素,不仅营养成分较丰富,而且这些物质容易被人体消化吸收。因此,苹果长期以来被视为全球四大主要水果之一,在世界范围内享有盛誉[1]。富士苹果是中国当前晚熟苹果的主要栽培品种之一,其产量占中国苹果总产量的72.7%[2]。其中,烟富3号苹果果形端正,果个较大,着色均匀,色泽浓艳光亮,外观美观,果肉呈淡黄色,风味香甜深受黄土高原地区消费者喜爱,逐渐取代了其他品种的地位,成为该地区的主栽品种之一。随着种植面积的增加和生产规模的不断扩大,烟富3 号苹果在黄土高原地区的生产过程中,果实品质问题逐渐显现,严重影响了产值和市场竞争力。

黄土高原地区的干旱、低温与土壤贫瘠,往往会影响烟富3 号果实的生长和发育,从而导致果实品质下降。尤其是在栽培过程中,气候变化、土壤水分等多种因素对果实的外观、大小、着色度、糖酸比等关键品质指标产生影响。因此,烟富3 号苹果如何克服黄土高原地区特殊气候和土壤条件带来的不利影响,已成为黄土高原地区当前亟待解决的重要问题。目前,针对苹果品质下降问题,已有一些研究开始关注提升苹果品质的不同路径。姚瑞赟等[3]基于主成分分析法研究不同植物生长调节剂对苹果果实品质的影响,发现喷施不同类型的植物生长调节剂能够使果实中可溶性固形物、可溶性糖、类胡萝卜素含量及单果质量增加,其中喷施ALA 溶液对富士苹果果实品质改善的效果最好。谢荔等[4]研究在采前喷施低浓度5-氨基乙酰丙酸对促进苹果着色与改善品质的效应,发现采前10 d 喷施外源ALA 处理在一定范围内能够提高果肉中可溶性固形物和可溶性糖含量,并降低可滴定酸含量。

在果树吸收营养的过程中,生长调节剂具有增强植物抗性,调控果实大小、色素积累水平、糖酸组分含量和成熟衰老进程等多种生理作用,能够很大程度上改善果树的品质和产量。其中,赤霉素(gibberellins,GAs)是一种酸性二萜类化合物,经多方面研究发现,作为植物生长调节剂,在果实发育过程中发挥重要作用[5]。通过提高与细胞壁松弛相关酶的活性,促进果实体积增大和形态拉长[6]。赤霉素在调控果实生长发育的研究中已取得显著进展,具体体现在葡萄坐果调控、果实成熟推迟机制[7]、苹果果实着色改善[8]等方面。喷施外源赤霉素对苹果果实大小、形状、单果质量、色泽、硬度和糖酸含量等方面均有影响。GA4对植物果实细胞伸长的调节作用最为明显,能在一定程度上提高坐果率、防止果裂和果锈等的发生。GA4和GA7因性质相似、分离纯化困难,常以混合物即GA4+7存在。GA4+7混合使用时活性适中,能有效弥补GA3的缺陷,在苹果生产上,其主要作用是疏果,改变果形和大小,提高单果质量,使果皮增厚从而延长苹果的保存期[9-10]。此外,GA4+7与不同的植物生长调节剂复配,在果类等作物上喷施后,具有明显的改善品质、增加产量的效果[11-14]。绿原酸(chlorogenic acid)是水果中主要活性成分之一,具有多种生物功能。绿原酸能够促进苹果果实糖分的积累,改善果实风味[15]。此外,绿原酸还具备类似植物内源激素的生理调控作用,能够显著提高苹果的抗氧化能力,增强苹果果实中抗氧化酶(过氧化氢酶、超氧化物歧化酶等)活性,减少果实中自由基的积累,从而延缓果实的衰老进程。复硝酚钠(compound sodium nitrophenolate,CSN),又称爱多收,是一种高效的细胞活化剂,能够促进苹果果实的膨大,改善苹果果形,使其更加端正、均匀,促进果实的细胞分裂并延缓果实的成熟过程,从而影响果实的大小、形态、硬度、糖酸比等关键品质[16]。科学合理地喷施绿原酸和复硝酚钠,不仅能够打破细胞休眠状态、促进植物的生长发育、提升作物的营养品质和产量,还能显著提高肥料的利用效率[17-18]

因此,以6 年生烟富3 号苹果为试验材料,通过分析GA4、GA7、GA4+7、绿原酸与复硝酚钠单独喷施以及组合处理对果实品质的影响,筛选最优处理方案,旨在为该地区烟富3 号果实品质的提升提供理论支持。

1 材料和方法

1.1 试验地概况

本试验在甘肃省平凉市静宁县果树研究所(105°46′ E,35°33′ N)进行,地处黄土高原丘陵沟壑区,平均海拔1600 m,区内土壤肥力较高,昼夜温差大,有利于果实生长发育。试验地土壤基本理化性状如表1 所示,表现出明显的深度梯度特征。表层土壤(0~20 cm)氮、磷、钾等含量最高,养分条件优越,有利于植物生长。然而,深层土壤(40~60 cm)氮、磷、锰等含量远低于其他2 个土层,养分供应相对不足,肥力较低,需通过改良措施加以优化。各层土壤pH值稳定在8.22~8.39之间,整体呈微碱性,有利于Ca、K 元素的有效性释放。总体来看,试验区土壤养分主要集中于0~20 cm的表层土壤,具备典型的表聚性。

表1 试验区土壤基本理化性状
Table 1 Basic physical and chemical properties of soil in the test site

土层深度Soil-depth/cm 0~20 20~40 40~60 w(氮)N content/(mg·kg-1)0.89 0.85 0.74 w(磷)P content/(mg·kg-1)0.24 0.22 0.15 w(钾)K content/(mg·kg-1)19.52 16.05 14.07 w(锌)Zn content/(mg·kg-1)74.28 68.43 61.23 w(铁)Fe content/(mg·kg-1)8.18 7.47 7.12 w(锰)Mn content/(mg·kg-1)260.94 246.34 211.23 w(钙)Ca content/(mg·kg-1)8.25 7.44 7.29 pH 8.39 8.28 8.22

1.2 试验材料

选用6年生烟富3号苹果嫁接苗作为试验材料,砧木为M9T337,树形为纺锤形。种植方向为南北行向,种植密度为2 m×3.5 m(株距×行距),果实成熟期为10月下旬。

1.3 试验设计

试验于2024 年春季开始进行,采用随机区组设计,设置8 个处理,每个处理3 次重复,共24 个试验小区。每个小区包含3 株苹果树,共计72 株试验植株,喷施7 种不同组合的植物生长调节剂进行处理。每次喷施的时间间隔为7 d,从第4 次开始,喷药时间间隔延长至14 d,试验全程共进行7 次喷药。具体喷药时间:第1 次为5 月20 日,果实处于开花坐果期;第2 次为6 月1 日;第3 次为6 月8 日;第4次为6 月23 日;第5 次为7 月8 日;第6 次为7 月23日,果实处于幼果膨大期;第7次为8月7日,果实处于果实转色期。采用16 L 单喷头缘农锂电搅拌喷雾器,按照从下向上的顺序对全树进行均匀喷施,直至树体开始滴水为止。处理组喷施的植物生长调节剂溶液量均为0.8 L·株-1,其中对照组(CK)喷施等量清水,T1~T5 处理分别喷施赤霉素(GA4)、赤霉素(GA7)、赤霉素(GA4 + 7)、绿原酸和复硝酚钠(CSN),浓度(ρ,后同)均为10 mg·L-1,T6 和T7 处理喷施浓度分别为10 mg·L-1 GA4+7+1 mg·L-1复硝酚钠和10 mg·L-1 GA4+7+1 mg·L-1复硝酚钠+1 mg·L-1绿原酸。喷施时间选择在晴天早上进行,且喷施前后12 h 内无降雨,单株共计喷施5.6 L。植物生长调节剂赤霉素(GA7)购于上海吉至生化科技有限公司(CAS:510-75-8),其余植物生长调节剂均购于上海泰坦科技股份有限公司,其中赤霉素(GA4)CAS 为468-44-0,赤霉素(GA4+7)CAS 为77-06-5,绿原酸CAS 为327-97-9,复硝酚钠(CSN)CAS 为123-30-8,赤霉素(GA4+7)+复硝酚钠CAS 为77-06-5,赤霉素(GA4+7)+复硝酚钠+绿原酸CAS为77-06-5。

1.4 果实采样

在每个处理区内,随机选取采样点,避开边行。具体操作:在每个处理区内,使用随机数生成器随机选择采样树,以确保采样点分布均匀,避免集中采集某一部分果实。同时,采样点距离行边至少1 m,以排除边缘效应的影响。确保所选树木的生长状态一致,具有代表性;确保采样时间一致,以减少时间差异对样本的影响。针对每株试验植株,分别从不同部位(上部、下部、内侧、外侧、向阳面、背阴面)采集果实样本,每株共计8 个。在采样过程中,排除病果、畸形果、未成熟果及果实过小的样本。采样完成后,样品于当日进行包装密封,快递运输至实验室,在对应条件下贮藏以备后续检测分析。

1.5 果实品质的测定

本试验测定的果实品质指标主要包括单果质量、纵横径、果形指数、果实硬度、花青苷含量、类黄酮含量、香气等。具体测定方法如下:单果质量使用电子天平称量(精度为0.01 g);果实横径、纵径采用游标卡尺测量,果形指数为果实纵横径之比;果皮颜色参数(亮度值L*、红色饱和度a*和黄色饱和度b*)使用手持色差仪测定;维生素C 含量采用2,6-二氯酚靛酚滴定法测定[19];花青苷含量利用分光光度法测定[20];总酚含量采用福林-肖卡法测定[21];单宁含量采用Folin-Denis 法测定[22];可溶性总糖含量采用蒽酮比色法测定;果实硬度使用质构仪测定;可溶性蛋白含量采用考马斯亮蓝染色法测定[23];可溶性固形物含量使用便携式数显糖度计测定[24];可滴定酸含量采用NaOH 中和滴定法测定[25];果实香气组分测定参考孙瑞红等[26]的方法并作适当调整。

1.6 数据处理

采用Microsoft Excel 2019 和IBM SPSS Statistics 23.0 软件进行数据统计分析,采用Origin 2024软件绘图。采用模糊隶属函数法结合主成分分析进行苹果品质综合评价,以解决果实品质多指标、边界模糊及指标间存在相关性的评价难题。模糊隶属函数法的核心是通过构建隶属函数,将各品质指标的实测值转化为隶属度(取值[0,1]),量化指标对“优质”集合的归属程度——正向指标(可溶性固形物含量)采用升型隶属函数,负向指标(可滴定酸度)采用降型隶属函数,实现不同指标的标准化统一。随后通过主成分分析,提取核心主成分并计算综合得分,最终依据综合得分确定各处理对苹果品质的提升效果,筛选最优处理,确保评价结果的客观性与科学性。

2 结果与分析

2.1 不同处理对烟富3号果实品质的影响

2.1.1 不同处理对烟富3 号果实外观品质的影响由图1 和图2 可知,不同生长调节剂处理对烟富3 号苹果成熟期的果实外观品质产生了显著影响。其中,T3 处理的单果质量最大,为351.63 g,较对照处理提高了16.22%;T7 处理次之,较对照处理提高了15.01%。在果实纵横径方面,T7处理表现最优,纵径为82.21 mm,显著大于对照处理,横径为89.90 mm。T7 处理的果形指数最大(0.92),T3 处理次之(0.90)。综上所述,T7和T3处理能够有效改善烟富3号苹果的外观品质。

图1 不同处理下烟富3 号成熟果实
Fig. 1 Mature fruits of Yanfu No. 3 under different treatments

图2 不同处理对烟富3 号果实外观品质的影响
Fig. 2 Effects of different treatments on the appearance quality of Yanfu No. 3 fruit

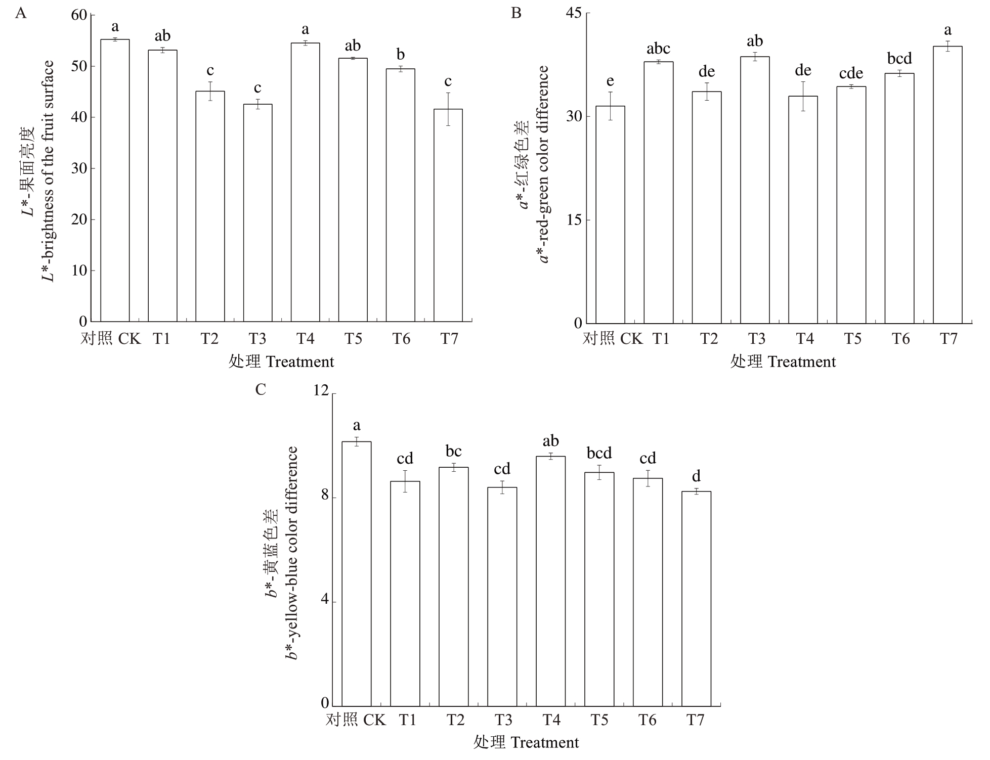
通过对不同处理下烟富3 号苹果的果皮色泽进行分析(图3),结果表明,各处理对果实着色具有显著影响。具体表现为:T7 处理下果皮亮度L*值最低,除了T1、T4、T5 处理外,其他处理均显著低于对照处理;T7处理下a*值最高,b*值最低,且各处理间差异显著。a*值较高表明果实的红色着色更加显著,b*值较低表明果实中黄色成分较少,呈现出更加鲜艳的红色调。较高的红色度与较低的黄色度共同作用,使得果实呈现出最佳的果色。因此,T7 处理在改善果实外观品质方面表现最优。

图3 不同处理对烟富3 号果实色泽的影响
Fig. 3 Effects of different treatments on fruit color of Yanfu No. 3

2.1.2 不同处理对烟富3 号果实内在品质的影响 表2 为不同处理对果实内在品质的影响。结果表明,各处理对果实内在品质指标存在显著影响。具体表现为:T7 处理下可溶性固形物含量最高,对照处理下可溶性固形物含量最低;维生素C 含量以T3 处理为最高,对照处理最低;可溶性蛋白含量在T7 处理中表现最高;可溶性糖含量在T3、T7 处理中表现最高,不同处理均能在一定程度上提高苹果果实的可溶性糖含量。此外,果实硬度从高到低依次为T7>T5>T4>T6>对照>T1>T3>T2。

表2 不同处理对烟富3 号果实可溶性固形物、维生素C、可溶性蛋白、可溶性糖含量及果实硬度的影响
Table 2 Effects of different treatments on soluble solids, vitamin C, soluble protein, soluble sugar content, and fruit hardness of Yanfu No. 3 fruit

注:不同小写字母表示P<0.05 差异显著。下同。
Note:Different small letters significant difference at P<0.05 level. The same below.

处理Treatment对照Control(CK)T1 T2 T3 T4 T5 T6 T7果实硬度Fruit hardness/(kg·cm-2)8.90±0.40 de 8.79±0.22 de 8.30±0.03 e 8.35±0.13 e 9.79±0.23 bc 9.99±0.11 ab 9.15±0.14 cd 10.78±0.18 a w(可溶性固形物)Soluble solids content/%16.40±0.72 c 18.20±0.21 bc 16.87±0.12 c 18.72±0.71 ab 16.60±0.90 c 17.03±0.52 bc 17.73±0.41 bc 19.97±0.24 a w(维生素C)Vitamin C content/(mg·g-1)32.75±1.48 b 32.90±0.55 b 33.87±1.58 ab 36.82±0.61 a 33.68±0.52 ab 33.15±0.83 b 34.10±0.85 ab 36.42±0.90 a w(可溶性蛋白)Soluble protein content/(mg·g-1)1.04±0.14 bc 0.93±0.14 c 1.09±0.10 bc 1.11±0.12 bc 1.51±0.15 a 1.12±0.08 bc 1.31±0.09 abc 1.34±0.03 ab w(可溶性糖)Soluble sugars content/%9.51±0.37 c 11.14±0.91 abc 9.71±1.55 bc 13.14±0.62 ab 11.57±0.95 abc 12.97±1.19 abc 10.88±0.68 abc 13.65±1.54 a

由表3可知,不同植物生长调节剂组合对烟富3号果实的可滴定酸含量影响不显著,各处理间无明显差异。T6 处理下可滴定酸含量(w,后同)最高,为0.80 mg·g-1;其次为T4 处理,为0.68 mg·g-1;T5 处理可滴定酸含量最低,为0.48 mg·g-1。淀粉含量以T3处理最高,比T2处理高0.15 mg·g-1。不同处理下的固酸比和糖酸比也有所不同,均以T7处理的效果最佳。

表3 不同处理对烟富3 号果实可滴定酸含量、淀粉含量、固酸比及糖酸比的影响
Table 3 Effects of different treatments on titratable acid content, starch content, solid-acid ratio and sugar-acid ratio of Yanfu No. 3 fruit

处理Treatment对照 CK T1 T2 T3 T4 T5 T6 T7 w(可滴定酸)Titratable acid content/(mg·g-1)0.57±0.03 ab 0.64±0.06 ab 0.62±0.08 ab 0.61±0.04 ab 0.68±0.14 ab 0.48±0.03 b 0.80±0.08 a 0.54±0.06 b w(淀粉)Starch content/(mg·g-1)0.16±0.01 bc 0.16±0.00 cd 0.08± 0.01f 0.23±0.00 a 0.12±0.00 e 0.14±0.01 d 0.16±0.01 cd 0.18±0.01 b固酸比Solid-acid ratio 29.72±1.81 ab 31.61±2.93 a 25.19±2.80 ab 28.02±1.98 ab 26.61±5.05 ab 35.49±3.26 a 19.88±1.67 b 33.45±4.15 a糖酸比Sugar-acid ratio 16.72±0.86 c 17.60±1.95 bc 16.78±4.18 c 21.70±1.48 abc 18.35±3.30 bc 27.44±2.87 a 13.87±1.91 c 25.33±0.91 ab

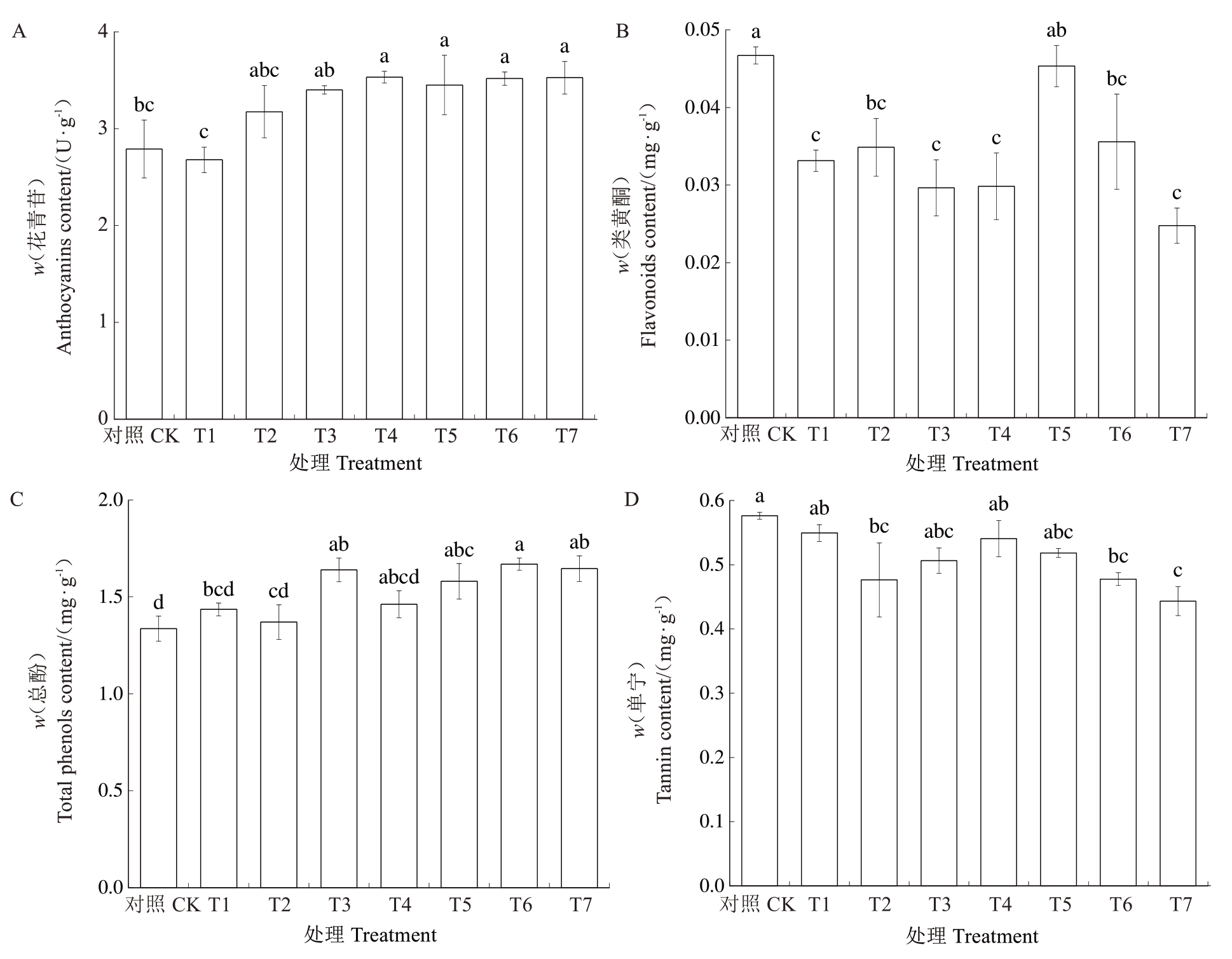
如图4所示,在不同处理条件下,T7处理的果实花青苷含量显著高于对照处理,且两者之间存在显著差异。T4、T5、T6 和T7 处理中,T4 处理的花青苷含量最高,但组间无显著差异。对照处理下类黄酮含量最高,并与其他处理之间存在显著差异。烟富3号果实的总酚含量范围为0.64 mg·g-1~1.33 mg·g-1,其中T3处理的总酚含量最高,各处理间的总酚含量存在差异。此外,单宁含量在不同处理间也表现出显著差异,其中T7处理的单宁含量最低。

图4 不同处理对烟富3 号果实酚类物质的影响
Fig. 4 Effects of different treatments on phenolic compounds in Yanfu No. 3 fruits

综上所述,不同植物生长调节剂处理显著影响了烟富3号果实的外观和内在品质。T3处理下单果质量达到351.63 g,相较于对照处理提高了15.01%;果形指数最优,为0.92;且该处理果皮红色度a*值最高,而黄色度b*值最低。T3处理下单果质量相较于对照处理提高了16.22%;果形指数次之,为0.90;相较于对照处理果皮红色度a*值显著提高,黄色度b*值显著降低。表明两个处理下果皮色泽更为鲜艳,果形更优,果实密度显著提高。内在品质方面,T7处理下可溶性固形物含量最高,果实硬度最大,且可滴定酸含量较低;T3 处理下维生素C、淀粉含量最高。此外,T3、T7处理的花青苷含量显著高于对照,单宁含量在T7 处理下最低。相较于其他处理,T7和T3 处理显著提升了烟富3 号苹果的外观品质和内在品质,其中T7处理表现更优。

2.2 不同处理对烟富3号苹果果实糖组分的影响

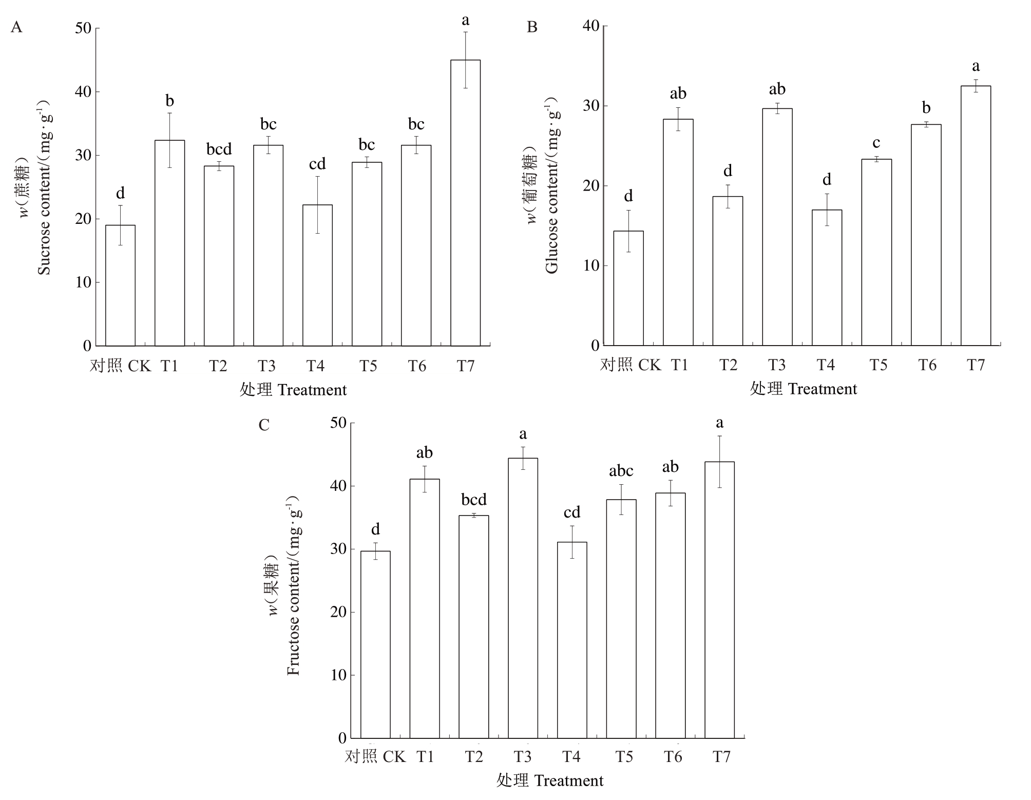
通过分析不同处理对烟富3 号苹果果实糖组分的影响(图5),发现相较于对照处理,T7、T3、T1处理可明显提高果实的果糖含量,分别提高了47.76%、49.68%、38.46%,其中T3 与T7 处理无显著差异;不同处理下葡萄糖和蔗糖含量也有所不同,均以T7处理的效果最佳,其次为T3 处理。综上所述,T7、T3和T1 处理对提升烟富3 号果实糖组分含量的效果较为显著。

图5 不同处理下烟富3 号果实糖组分含量
Fig. 5 Sugar content of Yanfu No. 3 fruit under different treatments

2.3 不同处理对烟富3号苹果果实酸组分的影响

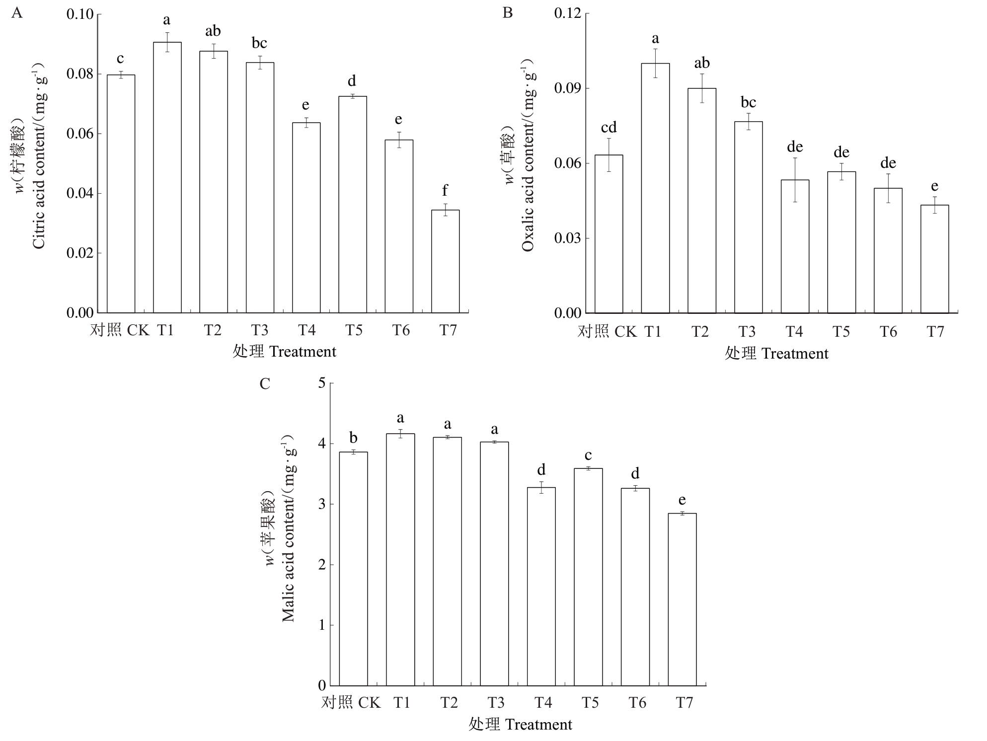
通过分析不同处理对烟富3 号苹果果实酸组分的影响可知(图6),T1、T2、T3 处理的柠檬酸、草酸、苹果酸含量较高,相较于对照处理,T1处理分别增加了0.01 mg·g-1、0.04 mg·g-1、0.3 mg·g-1,T1、T2处理无显著差异。T4、T6、T7处理的柠檬酸、草酸、苹果酸含量较低,相较于对照处理,T7处理分别减少了0.05 mg·g-1、0.02 mg·g-1、1.01 mg·g-1。综上所述,T4、T6 和T7 处理对减少烟富3号果实酸组分的效果较为显著。

图6 不同处理下烟富3 号果实酸组分含量
Fig. 6 Acid component content of Yanfu No. 3 fruit under different treatments

2.4 不同处理对烟富3号果实香气物质的影响

通过分析不同生长调节剂对烟富3 号苹果果实香气组分的影响可知,在8 个处理过程中,分别检测出78、81、88、70、67、79、74、69 种不同的香气物质。通过分类,这些香气物质主要归为酯类、醇类、醛类。酯类物质为苹果果实最主要的香气物质。由表4可知,在检测到的酯类物质中,主要包含乙酸2-甲基丁酯、丙酸正丙酯、乙酸叶醇酯,共计23种。T7处理下乙酸丁酯含量显著高于其他处理,为10.33 μg·kg-1;T3处理次之,为9.24 μg·kg-1;T2处理最低,为2.73 μg·kg-1。T7 处理下2-甲基丁酸丙酯含量显著高于其他处理,为4.21 μg·kg-1

表4 不同处理下烟富3 号果实酯类物质的含量
Table 4 Contents of esters in the fruit of Yanfu No. 3 under different treatments

注:- 表示该物质在该处理中未检测到。下同。
Note:- indicates that the substance is not detected in the treatment. The same below.

化合物Chemical compound w(香气成分-酯类)Aroma component content:esters/(μg·kg-1)对照CKT1T2T3T4T5T6T7乙酸2-甲基丁酯Aceticacidmethylbutylester乙酸己酯Hexyl acetate乙酸丁酯Butyl acetate丙酸2-甲基丁酯2-Methyl butyl propionate乙酸戊酯Amyl acetatee正辛酸异戊酯Isoamyl octanoate 2-甲基丁酸异丁酯Isobutyl 2-methylbutanoate 2-甲基丁酸丙酯Propyl 2-methylbutyrate 21.73±1.16 d 36.93±0.51 b 29.91±1.15 c 46.66±2.61 a 23.07±1.39 d 44.77±0.53 a 40.19±1.27 b 45.96±1.58 a 10.28±0.46 e 5.68±0.13 d 0.15±0.03 d 13.13±0.48 d ---13.54±0.18 d 2.73±0.17 e 0.16±0.02 d 30.04±0.81 c 9.24±0.64 ab 0.22±0.02 cb 5.32±0.31 d 0.25±0.04 b 34.22±0.36 b 8.90±0.29 bc 0.18±0.07 cd 35.90±0.51 b 8.67±0.13 c-39.42±1.29 a 10.33±0.16a 1.21±0.09 a 1.08±0.12 c 0.11±0.01 d 1.19±0.02 c 0.16±0.01 c-2.17±0.09 b 0.24±0.01 b 2.45±0.21 b 0.06±0.01 e 2.25±0.06 b-1.43±0.09 c 0.17±0.01 c 3.01±0.19 a 0.43±0.03 a 0.08±0.01 e 1.68±0.04 c 0.63±0.02 d 1.94±0.08 b--0.63±0.02 d 0.10±0.03 e 2.15±0.07 a 0.57±0.1 d 3.42±0.12 b 0.90±0.14 d 3.57±0.09 b 0.56±0.03 d 2.87±0.25 c -4.21±0.12 a

表4 (续) Fig. 4 (Continued)

化合物Chemical compound w(香气成分-酯类)Aroma component content:esters/(μg·kg-1)对照CKT1T2T3T4T5T6T7 2-甲基丁酸戊酯2-Methyl-butanoic acid pentyl ester丁酸丁酯Butyl butyrate丁酸丙酯Propyl butyrate丁酸己酯Hexyl butyrate 2-甲基丁酸丁酯Butyl 2-methylbutyrate银硬脂酸酯Silver stearate丙酸正丙酯Propyl propionate己酸己酯Hexyl hexanoate己酸丙酯Propyl hexanoate己酸甲酯Methyl hexanoate异丁酸己酯Hexyl isobutyrate 2-甲基丙酸丙酯Propyl isobutyratee 2-甲基丁酸丁酯Butyl 2-methylbutyrate异戊酸己酯Hexyl 2-methylbutyrate乙酸叶醇酯Leaf acetate 0.15±0.01 f -0.22±0.01 e 0.45±0.02 b 0.31±0.01 d 0.36±0.01 c 0.3±0.01 cd 0.53±0.05 a 0.41±0.01 d 0.52±0.3 d 1.13±0.06 c 1.44±0.31 d 0.27±0.03 f--1.24±0.02 a 7.42±0.22 a 2.58±0.17 a 1.83±0.23 c 0.53±0.02 c 1.62±0.01 c 1.83±0.05 b 1.42±0.17 d 1.19±0.06 a 4.71±0.01 b 2.46±0.08 a 3.15±0.85 a 0.28±0.02 f 0.56±0.02 d 0.68±0.04 d 1.62±0.22 cd 0.56±0.01 c 1.77±0.12 c 0.48±0.03 d 1.54±0.11 cd 0.99±0.04 b-1.49±0.13 b 2.80±0.12 b----0.16±0.01 c 0.38±0.03 f 0.32±0.02 e 0.03±0.01 d 0.03±0.001 e 0.43±0.01 bc 0.78±0.02 a-0.58±0.02 e 0.23±0.01 e-0.74±0.003 d 0.52±0.01 b 0.15±0.03 e 0.07±0.01 e 0.95±0.03 d 0.50±0.01 d-1.34±0.12 c 0.27±0.01d 0.60±0.01 b 4.45±0.32 ab 1.87±0.02 a 0.07±0.01d-1.11±0.01 a 0.51±0.12 b 0.08±0.01 e---0.31±0.03 c 0.11±0.01 d 1.06±0.01 c 1.10±0.01 c 0.14±0.02 c 0.73±0.03 d 0.37±0.02 c--0.63±0.03 ab 0.16±0.03 c 1.40±0.07 c 1.46±0.04 ab 0.25±0.01 b 2.40±0.14 b 0.27±0.01 d 1.15±0.03 a 5.50±0.52 a 0.86±0.03 cd 0.53±0.01 a 4.13±0.32 a 1.23±0.16 a 1.38±0.12 e 2.56±0.21 c 3.14±0.74 b 2.34±0.74 cd -3.95±0.34 b 2.16±0.21 c 5.43±0.19 a 4.67±0.34 cd 3.46±0.43 d 5.50±0.27 c 13.32±1.21 a 1.39±0.23 e -11.70±1.32 b 12.91±1.09 a 0.32±0.002 c -0.40±0.02 bc 1.92±0.24 a 0.64±0.001 b 0.15±0.01 d 0.26±0.02 c 2.15±0.03 a

由表5可知,共检测到8种醇类物质。其中,正己醇、顺式-5-辛烯-1-醇、4-丁氧基丁醇3种醇类物质在所有处理中均存在。正己醇含量在T7处理最高,为32.85 μg·kg-1;对照处理最低,为9.25 μg·kg-1。4-丁氧基丁醇含量在T7处理最高,为5.31 μg·kg-1;对照处理最低,为0.31 μg·kg-1。反式-2-己烯-1-醇(E)-2-Hexen-1-ol和正己醇在所有香气物质中含量最高,在T3、T7处理下含量超过了10 μg·kg-1,显著高于其他处理。

表5 不同处理下烟富3 号果实醇类物质的含量
Table 5 Contents of alcohols in the fruit of Yanfu No. 3 under different treatments

化合物Chemical compound正己醇 Hexyl alcohol甲醇 Methanol正丁醇 1-Butanol反式-2-己烯-1-醇(E)-2-(E)-2-Hexen-1-ol 1-十一醇 Undecanol顺式-5-辛烯-1-醇(Z)-5-Octen-1-ol 2-乙基己醇2-Ethylhexanol 4-丁氧基丁醇4-Butoxybutyl Alcohol w(香气成分-醇类)Aroma component content:alcohols/(μg·kg-1)对照CK 9.25±0.20 h 0.83±0.07 d 1.23±0.08 e 0.62±0.07 f T1 11.07±0.09 g 0.98±0.04 d 0.84±0.03 f 3.13±0.13 d T2 12.48±0.19 f-2.16±0.06 c-T3 28.36±0.46 b 2.37±0.06 b 4.68±0.04 b 10.21±0.08 b T4 18.37±0.30 e 1.27±0.06 c-5.23±0.13 c T5 20.12±0.26 d 0.58±0.03 e 2.11±0.01 c 2.46±0.17 e T6 26.61±0.33 c 1.36±0.05 c 1.59±0.06 d 3.26±0.08 d T7 32.85±0.58 a 4.58±0.09 a 7.44±0.06 a 13.59±0.15 a 0.21±0.06 d 0.37±0.04 h 0.47±0.05 c 2.74±0.05 f 0.51±0.02 c 1.49±0.03 g 1.23±0.06 b 4.77±0.07 b-4.13±0.06 d 0.27±0.02 d 4.35±0.06 c 0.13±0.01 d 3.67±0.03 e 1.47±0.09 a 6.48±0.09 a 0.43±0.06 e 0.31±0.07 g 0.67±0.05 e 1.41±0.06 d 0.42±0.03 e 0.71±0.03 f 5.02±0.07 b 2.47±0.08 b 3.91±0.14 d 0.93±0.06 f 4.76±0.12 c 1.13±0.09 e-2.11±0.07 c 7.21±0.12 a 5.31±0.12 a

由表6可知,共检测到10种醛类物质。其中,2-苯基乙醛、正己醛、糠醛、癸醛、己烯醛5 种醛类物质在所有处理中均存在。己烯醛含量在T7 处理中最高,为397.64 μg·kg-1;T3处理次之,为308.56 μg·kg-1;对照处理最低,为141.35 μg·kg-1。2,4-二甲基苯甲醛含量在T3处理最高,为2.84 μg·kg-1;T7处理次之,为2.62 μg·kg-1;T6处理含量最低,为0.91 μg·kg-1。综上所述,T3、T7处理下醛类物质含量显著高于其他处理。

表6 不同处理下烟富3 号果实醛类物质的含量
Table 6 Contents of aldehydes in fruit of Yanfu No. 3 under different treatments

化合物Chemical compound 2,4-二甲基苯甲醛2,4-Dimethylbenzaldehyde 2-苯基乙醛Phenylacetaldehyde正己醛 Hexanal 2,5-二甲基苯甲醛2,5-Dimethylbenzaldehyde糠醛 Furfural(E,E)-2,4-己二烯醛(E,E)-2,4-Hexadienal癸醛 Decanal己烯醛 Hexenal正辛醛 Octanal反式-2-壬烯醛(2E)-2-(2E)-2-Nonenal w(香气成分-醛类)Aroma component content:aldehydes/(μg·kg-1)对照CK 0.93±0.05 ef T1 1.30±0.03 c T2-T3 2.84±0.03 a T4 1.14±0.04 d T5 1.06±0.03 de T6 0.91±0.03 f T7 2.62±0.07 b 0.02±0.01 d 0.13±0.02 b 0.07±0.01 c 0.02±0.01 d 0.15±0.02 b 0.04±0.01 cd 0.05±0.01 cd 0.94±0.02 a 13.14±0.06 h 1.06±0.03 e 21.24±0.10 f 1.53±0.05 d 15.59±0.12 g-45.40±0.18 b 3.01±0.10 b 40.52±0.11 d 2.91±0.08 b 43.32±0.17 c 1.13±0.02 e 31.14±0.12 e 2.03±0.08 c 48.31±0.19 a 3.92±0.06 a 0.25±0.02 e 0.51±0.02 e 1.15±0.08 d-0.33±0.01 e 1.45±0.04 b 2.11±0.05 b 1.65±0.07 a 2.34±0.10 a 0.71±0.04 d 0.24±0.02 e 0.69±0.03 d 1.64±0.07 c 0.91±0.05 c 2.31±0.08 a 1.49±0.06 b 0.14±0.02 e 141.35±0.66 g 0.22±0.01 c 0.08±0.01 g 0.44±0.01 d 241.43±0.86 e 0.15±0.01 c 0.12±0.01 f 0.63±0.02 bc 271.55±0.70 c 0.21±0.01 c-1.22±0.04 a 308.56±0.86 b 0.33±0.01 b 0.71±0.02 a 0.65±0.02 bc 230.88±0.82 f-0.38±0.01 c 0.69±0.03 b 251.05±0.77 d 0.12±0.01 f 0.58±0.02 b 0.59±0.02 c 272.15±0.96 c 0.18±0.01 d 0.18±0.01 e 1.29±0.04 a 397.64±0.99 a 0.49±0.01 a 0.34±0.01 d

由表7 可知,共检测到13 种其他类香气物质。其中,联苯、萘、香叶基丙酮、2-辛酮和2-甲基萘这5种物质含量较高。萘含量在T3 处理下最高,为99.53 μg·kg-1;T1 处理次之,为92.96 μg·kg-1。联苯、香叶基丙酮、2-辛酮、氧化苯乙烯在各处理中均存在。其中,氧化苯乙烯含量相对平均,差距最大为5.723 μg·kg-1,T3处理下含量显著高于其他处理。

表7 不同处理下烟富3 号果实其他类香气物质的含量
Table 7 Contents of other aroma compounds in Yanfu No. 3 fruit under different treatments

化合物Chemical compound 4-乙基愈创木酚4-Ethyl-2-methoxyphenol联苯 Biphenyl萘 Naphthalene香柏酮 Nootkatone香叶基丙酮Geranylacetone 2-烯丙基酚 2-Allylphenol 2-辛酮 2-Octanone 2,5-二甲酰呋喃2,5-dimethylfuran 2-甲基萘2-Methylnaphthalene氧化苯乙烯Styrene oxide 3,4-壬二烯3,4-Nonadiene 3,5-二羟基苯乙酮3,5-Dihydroxyacetophenone 4-甲氧基-3-甲基苯酚4-methoxy-3-methyl-phenol w(香气组分-其他类)Aroma component content:Other categories/(μg·kg-1)对照CK 1.07±0.04 d 8.41±0.27 e 80.62±0.44 d 1.45±0.26 b 8.71±0.24 e 1.78±0.22 bcd 9.43±0.25 e 1.05±0.20 c 13.72±0.24 d 9.86±0.21 c 1.95±0.14 c 1.64±0.14 d T1 2.21±0.13 abc 12.34±0.43 b 92.96±0.29 b-9.51±0.24 de-14.75±0.20 a 3.58±0.28 a 21.47±0.33 a 11.11±0.24 b 2.86±0.15 b 1.76±0.09 cd T2 2.04±0.07 c 15.68±0.21 a 66.31±0.29 g 1.62±0.36 ab 11.34±0.25 ab 3.88±0.28 a 12.03±0.13 b-15.42±0.30 c 9.94±0.24 c-2.08±0.10 c T3 2.48±0.16 a 11.71±0.27 c 99.53±0.33 a 2.36±0.21 a 8.99±0.28 e 1.12±0.24 d 8.85±0.14 f 3.95±0.26 a 18.63±0.31 b 14.14±0.20 a 3.21±0.12 b 2.79±0.11 b T4-15.38±0.23 a 71.25±0.14 f 1.79±0.23 ab 10.44±0.25 c 1.41±0.18 cd 9.14±0.14 ef T5 2.11±0.04 bc 14.31±0.25 a----8.42±0.20 e--10.69±0.28 bc-10.14±0.14 d-10.69±0.28 f 8.97±0.19 d 3.22±0.13 b 3.45±0.12 a T6-10.11±0.39 d 89.04±0.29 c 1.45±0.20 b 9.97±0.27 cd 2.39±0.23 b 10.66±0.15 c 1.34±0.20 c 12.48±0.28 e 10.88±0.22 c 4.07±0.16 a T7 2.41±0.04 ab 10.45±0.20 d 77.64±0.29 e 2.34±0.25 a 12.04±0.31 a 1.89±0.23 bc 9.11±0.12 ef 2.36±0.21 b 15.62±0.24 c 11.23±0.20 b-2.46±0.09 b 2.11±0.24 c 3.61±0.15 a -2.78±0.13 b 1.55±0.14 d 3.61±0.15 a--3.05±0.12 b

2.5 不同处理对烟富3号果实品质影响的综合评价

采用模糊隶属函数法对烟富3号果实品质共23项相关指标进行综合评价。模糊隶属函数公式为U(Xi)=(Xi-Xmin)/(Xmax-Xmin),i=1,2,3,…,n。式中U(Xi)为隶属函数值,获得各处理的值在[0,1]区间(表8)。排名越高,处理效果越好,综合评价结果为T7>T3>T1>T16>T5>T2>T4>对照。

表8 不同处理下烟富3 号果实品质的模糊隶属函数值和主成分因子得分
Table 8 Fuzzy membership function value and principal component analysing on fruit quality of Yanfu No. 3 under different treatments

处理 Treatment单果质量 Single fruit mass果实纵径Fruit longitudinal diameter果实横径Fruit transverse diameter果形指数Fruit shape index果实硬度Ftuit hardness维生素C含量Vitamin C content花青苷含量Anthocyanin content总酚含量Total phenolic content单宁含量 Tannin content淀粉含量 Starch content可溶性蛋白含量Soluble protein content可溶性固形物含量Soluble solids content可滴定酸含量Titratable acid content可溶性糖含量Soluble sugar content固酸比 Solid-acid ratio糖酸比 sugar-acid ratio类黄酮含量Flavonoids content果糖含量 fructose content葡萄糖含量Glucose content蔗糖含量Sucrose content草酸含量Oxalic Acid content柠檬酸含量Citric acid content苹果酸含量Malic acid content隶属函数Subordinate functions综合排名Comprehensive ranking对照CK 0.00 0.00 0.44 0.00 0.24 0.00 0.13 0.00 1.00 0.57 0.19 0.00 0.29 0.00 0.63 0.21 1.00 0.00 0.00 0.00 0.00 0.00 0.00 0.26 8 T1 0.87 0.57 0.00 0.70 0.20 0.04 0.00 0.30 0.80 0.55 0.00 0.50 0.51 0.39 0.75 0.27 0.38 0.77 0.77 0.51 0.59 0.88 0.90 0.50 4 T2 0.61 0.28 0.25 0.34 0.00 0.27 0.58 0.10 0.25 0.00 0.28 0.13 0.43 0.05 0.34 0.21 0.46 0.38 0.24 0.36 0.24 0.52 0.33 0.29 7 T3 1.00 0.74 0.13 0.87 0.02 1.00 0.85 0.91 0.47 1.00 0.31 0.65 0.41 0.88 0.52 0.58 0.22 1.00 0.84 0.48 0.82 0.95 0.96 0.64 2 T4 0.38 0.17 0.29 0.21 0.60 0.23 1.00 0.38 0.73 0.25 1.00 0.06 0.61 0.50 0.43 0.33 0.23 0.10 0.15 0.12 0.12 0.42 0.32 0.40 6 T5 0.53 0.33 0.03 0.43 0.68 0.10 0.91 0.73 0.56 0.41 0.33 0.18 0.00 0.84 1.00 1.00 0.94 0.56 0.50 0.38 0.35 0.68 0.56 0.52 3 T6 0.76 0.38 0.06 0.48 0.34 0.33 0.98 1.00 0.26 0.55 0.66 0.37 1.00 0.33 0.00 0.00 0.49 0.62 0.73 0.48 0.18 0.81 0.77 0.50 5 T7 0.93 1.00 1.00 1.00 1.00 0.90 0.99 0.93 0.00 0.70 0.71 1.00 0.19 1.00 0.87 0.84 0.00 0.96 1.00 1.00 1.00 1.00 1.00 0.77 1

2.6 不同处理对烟富3号果实产量的影响

在幼果期喷施植物生长调节剂后,各处理间果树的产果数量差异不大,维持在120~130 个之间。但对果实的形态和质量有显著改善,所有处理均提高了果实的纵径、单果质量。其中,T3 和T7 处理相比对照处理,果实纵径分别提高了8.83%和11.88%,单果质量分别提高了16.22%和15.01%,提升效果最为显著;横径无显著差异。以上表明T3 和T7 处理显著提高了果实的大小和质量,从而增加了果实密度。因此,在幼果期喷施植物生长调节剂可以明显提高烟富3号的果实产量。

3 讨 论

植物生长调节剂通过调控植物内源激素的平衡,直接影响果树的生长发育过程,进而改善果实的形态和内在品质。作为一类具有生理活性的化合物,在促进植物的发芽、开花、坐果以及果实成熟等过程中,表现出显著效果[27-28]。与传统农业相比,植物生长调节剂具有微量高效、成本低廉以及环境友好等优势。然而,不同种类的植物生长调节剂及其施用剂量对果实形态和内在品质的影响并不相同。因此,在选择和使用植物生长调节剂时,需结合作物需求、土壤条件等多方面因素科学合理应用。植物生长调节剂不仅能促进苹果树的高产、稳产,还能提高果实质量,增强树体的生长活力和代谢活动。在适宜条件下施用植物生长调节剂,是实现作物增产的重要途径。例如,Liu等[29]研究表明外源赤霉素处理可改善自花授粉苹果果实品质,喷施赤霉酸可增加果实质量,降低不对称果实的比例,使果实外观品质恢复至异花授粉果实的水平。

笔者发现喷施不同的植物生长调节剂在提升烟富3号苹果的品质方面发挥了不同程度的作用。T3处理显著提高了果实单果质量,达到了351.63 g,与对照对比,提高了16.22%;T7 处理则改善了果形指数;相较于其他处理,T7 处理下果实硬度和可溶性固形物含量也表现最佳。这与薛桂新等[30]关于赤霉素和多效唑处理可改善苹果、梨果形指数的研究,以及许阿飞[16]关于复硝酚钠和胺鲜酯对苹果根系和氮素吸收同化的调控作用一致。笔者还通过检测果实的色泽和维生素C、类黄酮、可溶性蛋白、可溶性糖、花青苷、总酚、单宁、可滴定酸含量及糖酸比等指标,探讨了植物生长调节剂对果实品质的影响。研究表明,成熟时果皮颜色是由类黄酮、类胡萝卜素和花青素的水平共同决定的。a*值的增大通常与花青苷含量的积累密切相关。花青苷合成得到促进时,果实的色差值往往会显著增大,尤其是在果皮红色部分[31]。在本试验中,除T1 处理外,其他处理下的花青苷含量相较于对照显著提高,红绿色差a*值相较于对照也显著提高,这与黄亚萍[32]关于苹果俄矮2号突变体果实花青苷形成机制的研究结果一致。其中,花青苷的合成主要由乙烯和细胞分裂素等激素调控。赤霉素处理可能抑制了这些激素的合成或信号转导途径,进而影响花青苷的积累,这可能是赤霉素GA4处理组花青苷积累量低于其他处理组的原因。此外,除T5处理,其他处理的类黄酮含量均显著低于对照处理。其原因是赤霉素处理可能调整了植株体内的资源分配策略:其促进生长和发育的效应,促使能量与资源更多地流向细胞分裂和伸长等过程,而非用于苯丙烯酸途径中类黄酮的合成。因此,植物在面对有限能量的情况下,可能会优先选择将能量用于生长过程,而减少对类黄酮等次级代谢产物的合成。绿原酸合成途径与类黄酮合成途径存在竞争关系,两者都依赖于苯丙氨酸作为前提物质。绿原酸的积累可能通过增加苯丙氨酸的消耗,从而减少供给类黄酮合成的原料,进而导致类黄酮合成减少。赤霉素处理减少单宁的积累,这可能是通过抑制多酚氧化酶(PPO)活性这一途径来实现的。复硝酚钠通过激活抗氧化酶活性,降低氧化酶的作用,减缓维生素C的降解,从而增加果实中的维生素C含量。绿原酸通过降低苯丙氨酸氨基转移酶(PAL)活性,减少单宁的积累。因此,T7处理通过多重途径协同作用,显著提高苹果中维生素C含量,并降低单宁的积累。另有研究表明[33],果实中总酚、可溶性蛋白、可溶性糖、糖组分含量及糖酸比越高,酸组分、可滴定酸含量越低,果实品质越好。相较于对照处理,所有处理的总酚含量、糖酸比均提高,其中以T7处理效果最好。在糖组分中,相较于对照处理,所有处理下果实的葡萄糖、果糖、蔗糖含量均升高。其中T3 和T7 处理下提升效果最为显著。此外,相较于对照处理,T5、T7处理下可滴定酸含量降低,表明喷施适宜的植物生长调节剂可提升果实的品质。

在前人研究中,苹果果实的香气主要包括酯类、醇类、醛类[34],与本研究结果一致。在不同植物生长调节剂处理下,绝大多数果实香气含量相较于对照处理明显提高。其中T7 处理显著提高了果实中酯类、醇类和醛类香气物质含量。赤霉素能够通过调控果实发育和成熟进程间接影响香气物质合成,通过与MdGID1a 结合,解除DELLA 蛋白对香气合成基因的抑制,从而促进挥发性物质积累[35];此外,还能够通过协同调控脂氧合酶和醇酰基转移酶的活性,直接促进脂肪酸代谢途径中酯类物质的合成。同时,赤霉素能够通过激活乙烯合成途径加速果实成熟,进而促进酯类、醛类等挥发性物质的释放。复硝酚钠通过激活细胞活力与调节内源激素平衡,促进细胞质流动并提高细胞代谢速率,增强了果实对养分的吸收与利用能力,为香气物质的合成提供了能量和底物。绿原酸作为酚类抗氧化剂,通过减轻果实发育过程中的氧化损伤,维持细胞内代谢稳态,间接促进了香气物质合成。综上所述,T7 处理能够显著提高果实香气,其主要归因于赤霉素、复硝酚钠和绿原酸的综合作用,促进了香气物质的合成与释放。

虽然植物生长调节剂在短期内对烟富3 号苹果的生长和果实内在品质产生了积极影响,但长期喷施的效果尚需进一步观察和验证。因此,下一阶段将对喷施植物生长调节剂的烟富3 号苹果进行长期跟踪研究,以全面评估其对生长发育和果实内在品质的长期效应,并探讨长期使用可能产生的负面影响。负面影响包括植物生长调节剂引起的果实生长周期改变,从而导致果实品质波动;生态环境出现潜在污染,降低植物对外界环境的适应能力;以及植物体内可能产生累积性毒性等。通过对这些潜在问题的进一步研究,可以为植物生长调节剂的长期应用提供更加科学的依据。

4 结 论

综上所述,经T7处理后,果实的果形指数、可溶性固形物含量、可溶性糖含量以及糖组分方面表现最佳,同时酸组分含量最低,能够显著提升果实的外观表型和糖酸比。T3处理的烟富3号果实单果质量以及维生素C、淀粉、果糖含量最高,表明该处理对果实的营养成分和糖分积累有较好的效果。香气物质分析结果显示,醛类、酯类和醇类是其主要香气成分,其中乙酸2-甲基丁酯、正己醇、己烯醛为烟富3 号果实的特征香气成分。T7 处理下乙酸丁酯、2-甲基丁酸丙酯、正己醇、4-丁氧基丁醇、己烯醛含量显著高于其他处理,T3 处理下萘等其他类香气物质含量显著高于其他处理。综合分析发现,喷施10 mg·L-1的赤霉素GA4+7或12 mg·L-1的赤霉素(GA4+7)+复硝酚钠+绿原酸对改善黄土高原地区烟富3 号果实品质产生了积极影响,其中以T7处理的效果更为显著。

参考文献 References:

[1] 尹义庆,岳喜强,徐华强,周西友,秦敏,南晓博. 鲁西平原苹果树提质升级栽培技术[J]. 落叶果树,2024,56(4):89-91.YIN Yiqing,YUE Xiqiang,XU Huaqiang,ZHOU Xiyou,QIN Min,NAN Xiaobo. Cultivation techniques for upgrading apple trees in the western plains of China[J]. Deciduous Fruits,2024,56(4):89-91.

[2] 匡立学,聂继云,李银萍,程杨,沈友明. 中国不同地区‘富士’苹果品质评价[J]. 中国农业科学,2020,53(11):2253-2263.KUANG Lixue,NIE Jiyun,LI Yinping,CHENG Yang,SHEN Youming. Quality evaluation of ‘Fuji’ apples cultivated in different regions of China[J]. Scientia Agricultura Sinica,2020,53(11):2253-2263.

[3] 姚瑞赟,白茹,于庆帆,郑聪丽,杨怡帆,吉燕. 基于主成分分析法研究不同植物生长调节剂对苹果果实品质的影响[J]. 黑龙江农业科学,2023(3):56-63.YAO Ruiyun,BAI Ru,YU Qingfan,ZHENG Congli,YANG Yifan,JI Yan. Effects of different plant growth regulators on apple fruit quality based on principal component analysis[J]. Heilongjiang Agricultural Sciences,2023(3):56-63.

[4] 谢荔,成学慧,陈禹平,张林森,张永旺,王志龙,汪良驹. 采前喷施低浓度5-氨基乙酰丙酸促进苹果着色与改善品质的效应[J]. 江苏农业科学,2015,43(1):162-165.XIE Li,CHENG Xuehui,CHEN Yuping,ZHANG Linsen,ZHANG Yongwang,WANG Zhilong,WANG Liangju. Effects of pre-harvest application of low-concentration 5-aminoacetic acid on apple coloring and quality improvement[J]. Jiangsu Agricultural Sciences,2015,43(1):162-165.

[5] 陈鸿,杜金华,马瑞娟,张圆圆,丁辉,张斌斌,俞明亮. 外源赤霉素(GA3)对不同桃品种(系)果实品质的影响[J/OL]. 果树学报,2025:1- 18(2025- 01- 22). https://doi.org/10.13925/j.cnki.gsxb.20240392.CHEN Hong,DU Jinhua,MA Ruijuan,ZHANG Yuanyuan,DING Hui,ZHANG Binbin,YU Mingliang. The influence of exogenous gibberellin (GA3) on fruit quality of different peach varieties (strains)[J/OL]. Journal of Fruit Science,2025:1-18(2025-01-22). https://doi.org/10.13925/j.cnki.gsxb.20240392.

[6] 路侠. 不同浓度赤霉素(GA3)对‘嘎拉’苹果果形的影响[D].泰安:山东农业大学,2023.LU Xia. Effect of different concentration of gibberellin (GA3)on fruit shape of ‘Gala’ apple[D]. Tai’an:Shandong Agricultural University,2023.

[7] XUE Z Y,YANG R,WANG Y D,MA Y C,LIN Y J,LI Z G,SONG Y Q,FENG X X,LI L L. Candidate gene mining of GAmediated regulation of pear fruit shape[J]. Horticulture,Environment,and Biotechnology,2024,65(3):403-412.

[8] LU L,LIANG J J,CHANG X,YANG H T,LI T Z,HU J F. Enhanced vacuolar invertase activity and capability for carbohydrate import in GA- treated inflorescence correlate with increased fruit set in grapevine[J]. Tree Genetics & Genomes,2017,13(1):21.

[9] 段诗瑶. GA 与MeJA 调控苹果果实着色的关键基因筛选和功能初探[D]. 北京:北京农学院,2023.DUAN Shiyao. Screening and function analysis of key genes for regulate of GA and MeJA induced apple fruit coloring[D]. Beijing:Beijing University of Agriculture,2023.

[10] 肖江,聂志奎,周圣骄,刘杰,聂波,廖海兵,胡腾飞. 赤霉素GA4提取工艺研究[J]. 化学与生物工程,2023,40(9):65-68.XIAO Jiang,NIE Zhikui,ZHOU Shengjiao,LIU Jie,NIE Bo,LIAO Haibing,HU Tengfei. Extraction process of gibberellin GA4[J]. Chemistry & Bioengineering,2023,40(9):65-68.

[11] 李佼佼,曹峥,开玉美,杨文革,钱永根,胡永红. RP-HPLC 法检测发酵液中赤霉素GA4,GA7 的含量[J]. 分析试验室,2013,32(11):9-12.LI Jiaojiao,CAO Zheng,KAI Yumei,YANG Wenge,QIAN Yonggen,HU Yonghong. Determination of GA4 and GA7 in fermentation broth by reversed-phase liquid chromatography[J].Chinese Journal of Analysis Laboratory,2013,32(11):9-12.

[12] 张文宣,刘义雄,周金龙,钟名兴,赵南,徐勇,匡利. 赤霉素GA4+7 在5000 L 发酵罐中的中试发酵工艺[J]. 农药,2011,50(11):805-807.ZHANG Wenxuan,LIU Yixiong,ZHOU Jinlong,ZHONG Mingxing,ZHAO Nan,XU Yong,KUANG Li. The fermentation technology conditions of pilot plant for gibberellin A4+A7 in 5000L tank[J]. Agrochemicals,2011,50(11):805-807.

[13] 李向东,金浩. 巨峰葡萄应用赤霉素(GA4+GA7)诱导无核、增大果粒的效应研究[J]. 上海农学院学报,1993,11(4):302-308.LI Xiangdong,JIN Hao. Effects of GA4+GA7 application on the seed lessness and maturity of ‘Kyoho’ (Vitis labrusca L. × V. vinifera L.) grapes[J]. Journal of Shanghai Jiao Tong University(Agricultural Science),1993,11(4):302-308.

[14] 陶建敏,庄智敏,章镇,韩传光,耿其芳. GA3与GA4+7对诱导巨峰葡萄产生无核及果实发育的影响[J]. 中外葡萄与葡萄酒,2005(2):15-18.TAO Jianmin,ZHUANG Zhimin,ZHANG Zhen,HAN Chuanguang,GENG Qifang. The Effect of GA3 and GA4+7 treatment on inducing seedless and berry growth of Kyoho grape[J]. Sinooverseas Grapevine & Wine,2005(2):15-18.

[15] 周兰,康国栋,王强,张利义,张彩霞,田义,丛佩华. 苹果果实发育期绿原酸含量分析[J]. 中国果树,2013(3):36-38.ZHOU Lan,KANG Guodong,WANG Qiang,ZHANG Liyi,ZHANG Caixia,TIAN Yi,CONG Peihua. Analysis of chlorogenic acid content during apple fruit development[J]. China Fruits,2013(3):36-38.

[16] 许阿飞. 复硝酚钠和胺鲜酯对苹果根系和氮素吸收同化的调控作用[D]. 泰安:山东农业大学,2022.XU Afei. Regulatory effects of compound sodium nitrophenolate and diethyl aminoethyl hexanoate on apple root and nitrogen absorption and assimilation[D]. Tai’an:Shandong Agricultural University,2022.

[17] 陈中说. 绿原酸对大豆下胚轴不定根发生的影响研究[D]. 雅安:四川农业大学,2013.CHEN Zhongshuo. The study of the influence of chlorogenic acid on the adventitious root formation of soybean hypocotly[D].Yaan:Sichuan Agricultural University,2013.

[18] 田梦妤. 复硝酚钠对谷子生长发育及产量的影响[D]. 太谷:山西农业大学,2022.TIAN Mengyu. Effects of sodium compound nitrophenol on growth and yield of foxtail millet[D]. Taigu:Shanxi Agricultural University,2022.

[19] 徐朝阳. 2,6-二氯酚靛酚滴定法与碘量法测定蔬菜水果中维生素C 方法的准确度比较[J]. 食品安全导刊,2021(25):100-101.XU Chaoyang. Comparison of the accuracy of 2,6-dichlorophenol indophenol titration and iodometric method for the determination of vitamin C in vegetables and fruits[J]. China Food Safety Magazine,2021(25):100-101.

[20] 赵春霞,张宝月,黄蓉,李百川,赵鑫. 不同前处理对葡萄籽提取物中原花青素含量测定结果的影响[C]//杭州:中国香料香精化妆品工业协会. 第十届中国化妆品学术研讨会论文集.上海相宜本草化妆品股份有限公司,2014:79-83.ZHAO Chunxia,ZHANG Baoyue,HUANG Rong,LI Baichuan,ZHAO Xin. Effects of different pretreatment on the determination of proanthocyanidin content in grape seed extract[C]//Hangzhou:China Flavor,Fragrance and Cosmetic Industry Association. Proceedings of the 10th China Cosmetic Symposium.Shanghai Xiangyi Benqiao Cosmetics Co;,2014:79-83.

[21] 李应丽,王学清,杨迎春,杨洁. 发酵及新鲜葡萄籽与相关保健品中原花青素检测方法的比较[J]. 食品工业科技,2013,34(12):57-60.LI Yingli,WANG Xueqing,YANG Yingchun,YANG Jie. Comparison of fermented and fresh grape seed and related health care products procyanidins detection method[J]. Science and Technology of Food Industry,2013,34(12):57-60.

[22] 李静,聂继云,李海飞,孟刚,韩艳静. 苹果果实单宁Folin-Denis 测定法[J]. 中国果树,2006(5):57-59.LI Jing,NIE Jiyun,LI Haifei,MENG Gang,HAN Yanjing. Determination of tannins in apple fruit by Folin-Denis method[J].China Fruits,2006(5):57-59.

[23] 焦洁. 考马斯亮蓝G-250 染色法测定苜蓿中可溶性蛋白含量[J]. 农业工程技术,2016,36(17):33-34.JIAO Jie. Determination of soluble protein content in alfalfa by Caulmers Brilliant Blue G-250 staining[J]. Agricultural Engineering Technology,2016,36(17):33-34.

[24] 聂继云,李静,徐国锋,李海飞,闫震,匡立学,李志霞,毋永龙. 水果可溶性固形物含量测定适宜取汁方法的筛选[J]. 保鲜与加工,2014,14(5):62-64.NIE Jiyun,LI Jing,XU Guofeng,LI Haifei,YAN Zhen,KUANG Lixue,LI Zhixia,WU Yonglong. Screening suitable juicing methods for determination of total soluble solids content in fruits[J]. Storage and Process,2014,14(5):62-64.

[25] 李猛,王雷存,任小林,张盈盈. 陕西地区红富士苹果冠层果实品质差异及相关性分析[J]. 果树学报,2010,27(6):859-863.LI Meng,WANG Leicun,REN Xiaolin,ZHANG Yingying. Diversity and correlation analysis of quality factors for canopy fruit of Fuji apple in Shaanxi area[J]. Journal of Fruit Science,2010,27(6):859-863.

[26] 孙瑞红,张甘雨,许恺,武海斌,张文升. 植物生长调节剂在果树上的登记情况与应用技术[J]. 落叶果树,2023,55(3):54-59.SUN Ruihong,ZHANG Ganyu,XU Kai,WU Haibin,ZHANG Wensheng. Registration and application techniques of plant growth regulators on fruit trees[J]. Deciduous Fruits,2023,55(3):54-59.

[27] 孟祥谦,邹宗峰,曲诚怀,王双磊,缪玉刚. 不同植物生长调节剂对苹果新梢及叶片生长的调控效果[J]. 浙江农业科学,2023,64(6):1515-1518.MENG Xiangqian,ZOU Zongfeng,QU Chenghuai,WANG Shuanglei,MIAO Yugang. Effect of different plant growth regulators on the growth of new shoots and leaves of apple[J]. Journal of Zhejiang Agricultural Sciences,2023,64(6):1515-1518.

[28] 邹倩,孙鲁龙,苏雅婷,曹静瑶,贾鹏晓,刘倩倩,高华. 不同植物生长调节剂对瑞香红苹果树生长及成花的影响[J]. 中国果树,2025(1):17-22.ZOU Qian,SUN Lulong,SU Yating,CAO Jingyao,JIA Pengxiao,LIU Qianqian,GAO Hua. Effects of different plant growth regulators on the growth and flower formation of ‘Ruixianghong’apple tree[J]. China Fruits,2025(1):17-22.

[29] LIU C S,XIAO P S,JIANG F,WANG S Y,LIU Z,SONG G Z,LI W,LV T X,LI J,WANG D M,LI Y,WU C B,LI T Z. Exogenous gibberellin treatment improves fruit quality in self-pollinated apple[J]. Plant Physiology and Biochemistry,2022,174:11-21.

[30] 薛桂新,吴秀玉,王颖,范丽清. 赤霉素和多效唑对苹果梨果实纵横径的影响[J]. 延边大学农学学报,1999,21(2):95-97.XUE Guixin,WU Xiuyu,WANG Ying,FAN Liqing. Effect of GA and PP333 on longitudinal diametre and diametre of apple pear[J]. Journal of Agricultural Science Yanbian University,1999,21(2):95-97.

[31] SHI Q Q,ZHANG Z,SU J J,ZHOU J,LI X G. Comparative analysis of pigments,phenolics,and antioxidant activity of Chinese jujube (Ziziphus jujuba Mill.) during fruit development[J].Molecules,2018,23(8):1917.

[32] 黄亚萍. 苹果‘俄矮2 号’突变体果实花青苷形成机理研究[D].兰州:甘肃农业大学,2024.HUANG Yaping. Study on the mechanism of anthocyanin formation in the fruit of ‘Oregon spur Ⅱ’ mutant of apple[D]. Lanzhou:Gansu Agricultural University,2024.

[33] KHANDAKER M M,BOYCE A N,OSMAN N,HOSSAIN A S. Retracted:Physiochemical and phytochemical properties of wax apple (Syzygium samarangense [Blume] Merrill & L. M.Perry var. Jambu Madu) as affected by growth regulator application[J]. The Scientific World Journal,2012,2012(1):728613.

[34] 刘畅. 4 种小苹果香气物质检测及主成分分析[J]. 中国林副特产,2020(3):17-19.LIU Chang. Detection of aroma substances and principal component analysis of four kinds of small apples[J]. Forest By-Product and Specialty in China,2020(3):17-19.

[35] 宋杨,张艳敏,吴树敬,冯守千,王传增,陈学森. 短枝型苹果赤霉素受体基因MdGID1a 及其启动子克隆和表达分析[J]. 园艺学报,2013,40(11):2237-2244.SONG Yang,ZHANG Yanmin,WU Shujing,FENG Shouqian,WANG Chuanzeng,CHEN Xuesen. Cloning,expression analysis of MdGID1a gene and promoter from spur-type apple[J]. Acta Horticulturae Sinica,2013,40(11):2237-2244.

Effects of different growth regulators on fruit quality of Yanfu No. 3 ap‐ple on the Loess Plateau

GAO Jianxiang, MA Zhiyan, LI Yingrui, LI Yu, ZENG Baozhen, YANG Wenqi, LIANG Guoping,MAO Juan*, CHEN Baihong

(College of Horticulture, Gansu Agricultural University, Lanzhou 730070, Gansu, China)

Abstract:【Objective】 The study aimed to systematically evaluate the regulatory effects of different plant growth regulators on quality formation during the fruit development of Yanfu No. 3 apple, and to elucidate their physiological impacts on fruit appearance characteristics, nutritional quality, and aroma substance formation. 【Methods】 The experiment was conducted in the main apple-producing area of Jingning County, Gansu Province, using widely cultivated 6-year-old Yanfu No. 3 (Malus domestica Bork.) apple trees as research material. Treatments were applied at the young fruit stage, approximately 20 days after flowering, using a randomized block design with seven spray treatments:T1 (gibberellin GA4), T2 (gibberellin GA7), T3 (spraying gibberellin GA4+7 compound), T4 (chlorogenic acid), T5 (sodium nitrophenolate), T6 (gibberellin (GA4+7) + sodium nitrophenolate), T7 (gibberellin (GA4+7) + sodium nitrophenolate + chlorogenic acid). water spray treatment served as the control (CK). Each treatment was replicated three times. All treated trees received unified water and fertilizer management, pest and disease control, and pruning techniques to minimize interference from non-experimental factors and ensure the feasibility of the experimental data. The full-bloom date of Yanfu No. 3 apple is April 28, and the fruits are ripe and harvested on October 22, which is 170 days after full bloom, and relevant indicators were immediately tested and analyzed. Appearance characteristics included fruit weight and fruit shape index; internal quality indicators included the contents of vitamin C, total phenols, total sugars,soluble solids, soluble protein, flavonoids, and tannins in the fruits. 【Results】 The research results showed that all different spray treatments affected the quality formation of Yanfu No. 3 apple fruits,with significant differences observed among treatments for the various indicators. Although single regulator treatments performed well in certain individual indicators, the combination treatments demonstrated superior comprehensive regulatory effects. Notably, the T7 treatment (GA4+7 + chlorogenic acid + sodium nitrophenolate) showed significant advantages in enhancing fruit nutritional components. The fruits under T7 treatment exhibited significantly higher contents of vitamin C, total sugars, soluble solids, and soluble protein compared with other treatments and the control, indicating a strong synergistic effect of the regulator complex in promoting nutrient accumulation. In addition, T7 treatment significantly reduced the contents of flavonoids and tannins in the fruits and effectively improved their flavor.Regarding appearance characteristics, the fruits from T3 and T7 treatments showed better shape indices.The analysis identified the main aroma components of Yanfu No. 3 apples as esters, alcohols components. The T7 treatment was particularly effective, resulting in the fruits exhibiting a more intense overall aroma. The underlying mechanism would be presumed to be related to the regulators promoting the synthesis and conversion of aroma precursors and enhancing fatty acid metabolism and related enzyme activities, thereby increasing the accumulation level of volatile aroma compounds. 【Conclusion】 Based on the systematic analysis of the appearance characteristics, nutritional quality, and aromatic compounds of the Yanfu No. 3 fruits in this experiment, it can be concluded that the application of 10 mg·L-1 gibberellic acid GA4+7 plant growth regulators and 12 mg·L-1 gibberellic acid (GA4+7) + sodium nitroprusside + chlorogenic acid plant growth regulators had a positive effect on improving the fruit quality of Yanfu No. 3 in the Loess Plateau region, with the T7 treatment showing the most significant effect.

Key words:Yanfu No. 3 apple; Plant growth regulator; Fruit quality; Aroma composition

中图分类号:S661.1

文献标志码:A

文章编号:1009-9980(2026)02-0279-15

DOI:10.13925/j.cnki.gsxb.20250298

收稿日期:2025-06-01

接受日期:2025-07-28

基金项目:甘肃省高等学校产业支撑计划项目(2023CYZC-48);甘肃省科技重大专项(23ZDNA001-4);甘肃省中央引导地方项目(25ZYJA031)

作者简介:高建翔,男,在读硕士研究生,研究方向为果树生物技术。E-mail:2896954818@qq.com

*通信作者Author for correspondence. E-mail:maojuan@gsau.edu.cn