冬枣×辰光三倍体后代果实糖酸组分遗传变异分析

张现磊1,吉银中1,谭 娟1,罗 智1,马全会1,吴翠云1,刘孟军2,闫芬芬1*

1南疆特色果树高效优质栽培与深加工技术国家地方联合工程实验室·塔里木大学园艺与林学学院,新疆阿拉尔 843300; 2河北农业大学中国枣研究中心,河北保定 071000)

摘 要:【目的】探讨枣三倍体后代果实糖酸性状的遗传变异特点,为枣倍性杂交选配亲本和选育优系提供理论依据。【方法】以冬枣×辰光杂交获得的41株三倍体及父母本的全红期果实为试材,利用高效液相色谱仪(HPLC)测定糖和酸含量。【结果】杂交后代蔗糖含量在糖组分中最高,占比达67.18%,其次为果糖和葡萄糖。杂交后代糖组分均呈现出正态分布特征,总糖、果糖和葡萄糖的超高亲比例分别为78.05%、80.49%和78.05%,蔗糖低低亲比例为65.85%。杂交后代有机酸以柠檬酸和抗坏血酸为主要成分,占比分别为36.62%和29.28%。杂交后代酸组分和总酸呈现出正态分布特征或偏态分布特征,各酸组分平均值均高于中亲值,中亲优势率为31.94%~166.78%,总酸的中亲优势率为67.68%,超高亲比例高达87.80%。有机酸积累存在超亲遗传趋势。果糖与葡萄糖呈极显著正相关,果糖、葡萄糖与总糖呈极显著正相关,总酸与奎宁酸、苹果酸、柠檬酸和抗坏血酸呈正相关。筛选出高糖优系4 份,总糖含量(w,后同)均在268.03 mg·g-1以上;高酸优系4 份,总酸含量均在12.10 mg·g-1以上;高糖酸优系2 份,总糖含量≥274.95 mg·g-1且总酸含量≥12.72 mg·g-1【结论】枣三倍体杂交后代群体的果糖、葡萄糖、蔗糖、柠檬酸和抗坏血酸可能是由微效多基因控制的数量性状。果糖、葡萄糖和酸组分含量呈趋高遗传,蔗糖含量则呈现趋低遗传。筛选出高糖优系4 份,高酸优系4份,高糖酸优系2份。

关键词:枣;三倍体;糖组分;酸组分;遗传评价

枣(Ziziphus jujuba Mill.)为鼠李科(Rhamnaceae)枣属(Ziziphus Mill),是原产于中国的特色经济果树[1-2]。枣果实富含多种功能性糖和有机酸等营养成分,是传统的药食同源佳品[3]。近年来,随着生活水平的提高,人们对果品的风味需求呈现多样化。新疆作为中国红枣最大的主产区,气候条件独具一格,生产的枣品质优良、享誉全球[4]。但是生产上以二倍体制干品种为主,优质鲜食品种较少,严重影响了枣产业的发展[5]。有性多倍化育种兼具杂交效益和倍性效应优势,尤其是在提高果实品质方面具有显著优势,是植物遗传改良和创造新品种的重要途径[6]

糖酸组分是决定果实风味口感及营养品质的关键性指标,不同的糖酸组成、比例和含量直接影响果实风味特征、营养成分及食用口感[7]。相关研究表明,二倍体枣果实中,果糖、蔗糖和葡萄糖是主要糖类,苹果酸、奎宁酸和柠檬酸是主要有机酸,在不同品种之间这些组分的比例有所不同[8]。果树三倍体种质由于基因组加倍引发DNA甲基化重组,糖酸代谢通路被显著改变,果实中的糖酸含量也受到影响[9]。目前,有关三倍体杂交后代糖酸组分遗传评价在柑橘[10]、苹果[11]、葡萄[12]等果树上已见报道。研究发现,三倍体杂交群体的糖酸含量呈现典型的数量性状遗传特征,糖含量受多基因累加效应控制,呈正态分布;酸含量则受主效基因与微效基因协同调控,呈现偏态分布[10]。三倍体杂交后代糖酸含量的遗传调控机制复杂,且易受环境因素和栽培管理措施的影响[13]

枣多倍体诱导和杂交育种技术难度大[2],三倍体种质创制数量有限,因此,有关枣果实糖酸组分的研究多集中于二倍体品种间的差异及其发育动态分析[14-15],针对枣三倍体杂交后代糖酸组分遗传变异规律的研究尚未见报道。本课题组前期以二倍体冬枣为母本、四倍体辰光为父本,通过罩网控制杂交技术获得41 株三倍体杂交后代,这为研究三倍体杂交后代果实品质性状的遗传规律和筛选优系提供了较好的材料。本研究采用高效液相色谱法测定果实糖、酸组分的含量,研究目标:(1)分析枣三倍体杂交后代和亲本中糖和酸的组成和比例;(2)探究糖和酸成分的遗传变异和遗传趋势特点;(3)筛选糖酸组分优异的枣三倍体杂交优系。本文将阐明枣三倍体杂交后代果实糖酸组分的遗传变异特点,为枣三倍体育种和新品种选育提供理论基础。

1 材料和方法

1.1 试验材料

以二倍体冬枣(DZ,2n=24)为母本、四倍体辰光(CG,2n=48)为父本,通过罩网蜜蜂授粉杂交技术[16],获得三倍体杂交后代群体(图1)。以经流式细胞仪鉴定后得到的41 株三倍体后代及亲本作为研究材料[17]。2021年在新疆阿拉尔市第一师十二团枣种质资源圃,采集三倍体材料接穗用于嫁接,砧木为6 年生灰枣,种质资源圃水肥充足、管理水平一致。在2023 年果实成熟期,每株优系采集树体(东、南、西、北)中部成熟均匀一致的果实共30个,每10个果实为1个生物学重复,共3次重复。在实验室削皮混样预处理后用于糖酸组分的测定。

图1 父母本与部分杂交后代果实
Fig. 1 The fruits of male, female parent and several hybrid offspring

1.2 样品预处理

将成熟度一致的枣果实削皮去核,留取果肉,称取锡箔纸后,使用锡箔纸包裹果肉,上端留口。将果肉与锡箔纸一起称质量,记为鲜质量。将包裹好的果肉放入真空冻干机中,温度设置为-50 ℃,压力保持在50 Pa 以下,冻干48 h 后取出使用百分天平称质量。用粉碎机将枣肉打粉,放入-80 ℃超低温冰箱保存待用。

1.3 糖组分测定

糖组分使用LC-2060C 3D 岛津高效液相色谱仪,色谱柱为Waters XBridge Amide(5 μm,4.6 mm×250 mm)柱;参考蒲云峰[18]的方法。准确称取1.0000 g 枣冻干粉,加5 mL 蒸馏水,在室温下超声加热(80 ℃)萃取40 min,于4000 r·min-1 下离心20 min,重复提取3 次,倒入25 mL 容量瓶定容,取上清液过0.22 μm 水相针式滤头后置于棕色进样瓶,放置于4 ℃冰箱中保存待测。流动相A(0.2%三乙胺-水):流动相B(0.2%三乙胺-乙腈)=24:76,流速为1 mL·min-1;进样体积10 μL;柱温30 ℃,雾化管、漂移管温度为60 ℃;氮气气流量为1.6 L·min-1;检测18 min。样品测定3 个生物重复,根据标准曲线计算鲜质量含量。

1.4 酸组分测定

酸组分使用LC-2060C3D 岛津高效液相色谱仪,色谱柱为InertsilAQ-C18(5 μm,4.6 mm×250 mm)柱;参考周晓凤[19]的方法。准确称取1.000 0 g 枣冻干粉,倒入15 mL 离心管中,加入5 mL 0.04 mol·L-1的磷酸二氢钾缓冲液(pH 2.6),在冰水浴中超声萃取40 min,于4000 r·min-1下离心20 min,倒入10 mL容量瓶中,重复提取,最终定容10 mL,吸取上清液过0.22 μm 水相针式滤头后置于棕色进样瓶,放置于4 ℃冰箱中保存待测。流动相为磷酸二氢钾缓冲液,流速为0.8 mL·min-1;进样体积10 μL;柱温30 ℃;检测波长210 nm;检测20 min。样品测定3个生物重复,根据标准曲线计算鲜质量含量。

1.5 数据分析

采用Excel 2016 分析数据,采用Origin 2024 绘图。变异系数、遗传传递力利用Excel 进行数据分析,公式如下:变异系数(CV)=标准差/F×100;遗传传递力=F/MP×100;中亲优势率=F-MP/0.5(P1+P2)×100。公式中的F为后代平均值,MP为中亲值,P1和P2为亲本值。

总糖含量=果糖+葡萄糖+蔗糖。

总有机酸含量=草酸+酒石酸+奎宁酸+苹果酸+柠檬酸+抗坏血酸+富马酸。

2 结果与分析

2.1 杂交后代糖组分遗传变异分析

2.1.1 杂交后代糖组分比例及其含量分布 果糖、葡萄糖、蔗糖是枣中的主要糖组分,对果实口感有着重要的影响[20]。因此对枣三倍体杂交后代糖组分进行测定并与果糖、蔗糖、葡萄糖混标进行定性研究,发现杂交后代三倍体果实中糖主要由蔗糖、果糖和葡萄糖组成(图2),其中蔗糖为主要组分,占比为67.18% ,明显高于果糖(16.09% )和葡萄糖(16.13%)。二倍体母本冬枣和四倍体父本辰光也是以蔗糖积累为主,蔗糖含量占比分别为79.73%和80.01%。这表明杂交后代中蔗糖比例较双亲有所降低,但果糖与葡萄糖比例出现明显增加。由图3可知,杂交后代蔗糖含量明显高于其他组分,变化范围为98.76~222.60 mg·g-1,平均值为153.62 mg·g-1,且均值与中位线重合,数据离散程度较大。果糖含量与葡萄糖含量数据离散程度相对较小,果糖含量变化范围为13.73~88.24 mg·g-1,葡萄糖含量变化范围为13.04~101.14 mg·g-1,平均值分别为36.80 mg·g-1和36.82 mg·g-1。总糖含量变化范围为162.79~286.17 mg·g-1,平均值为228.68 mg·g-1,分布范围最广,说明不同样本间总糖含量差异较大。

图2 不同糖组分在亲本和杂交群体中的比例
Fig. 2 Proportions of various carbohydrate components in parental and hybrid populations

图3 三倍体杂交群体果实糖组分、总糖含量及其分布
Fig. 3 Distribution of sugar components, total sugar content in triploid hybrid population

2.1.2 枣三倍体群体糖组分性状分布及遗传特点杂交后代果实中的果糖、葡萄糖、蔗糖和总糖含量均呈明显的正态分布特征(图4),推测枣三倍体杂交后代果实中糖组分含量均是受多基因控制的数量性状,这与前人研究[21]一致。糖组分在杂交后代中的变异系数范围为18.40%~52.45%(表1),各性状均出现广泛的分离。葡萄糖含量变异系数最大,为52.45%,性状分离较为广泛。蔗糖含量变异系数最小,为18.40%,说明蔗糖在杂交后代中的变异较其他糖组分低,遗传相对稳定。枣三倍体杂交后代的果糖、葡萄糖和蔗糖遗传传递率分别为174.96%、193.25%和94.83%,表明糖组分的遗传效应较强。杂交后代中总糖的超高亲比例为78.05%,果糖和葡萄糖含量平均值明显大于中亲值,超高亲比例分别为80.49%和78.05%;蔗糖平均值明显低于中亲值,低低亲比例为65.85%,说明枣三倍体后代群体果糖和葡萄糖含量呈趋高变异,蔗糖含量则呈现趋低变异,极端单株较多。

表1 果实糖组分和总糖性状的遗传变异分析
Table 1 Genetic variation analysis of sugar components and total sugar content in triploids hybrid fruit

性状Traits w(果糖)Fructose content/(mg·g-1)w(葡萄糖)Glucose content/(mg·g-1)w(蔗糖)Sucrose content/(mg·g-1)w(总糖)Total sugar content/(mg·g-1)亲本 Parents母本Female 21.94 19.11 161.47 202.53父本Male 20.12 20.48 162.50 203.10中亲值MPV 21.94 19.11 161.47 202.82子代群体 Progeny population平均值±标准差Mean±SD 36.80±17.06 38.26±20.07 153.62±28.26 228.68±31.45最小值Min.14.91 13.05 98.76 162.79最大值Max.88.24 101.14 222.60 286.17变异系数CV/%46.38 52.45 18.40 13.75中亲优势率MPH/%74.96 93.25-5.16 12.75遗传传递力Ta/%174.96 193.25 94.83 112.75超高亲比例RH/%80.49 78.05 29.27 78.05超低亲比例RL/%19.51 17.07 65.85 21.95

图4 枣三倍体果实糖组分频率分布直方图
Fig. 4 Histogram frequency distribution of sugar component in triploids hybrid fruit

2.2 杂交后代酸组分遗传变异分析

2.2.1 杂交后代酸组分比例及其含量分布 通过对枣三倍体果实酸组分的研究,共鉴定出7 种有机酸。由图5 可知三倍体杂交后代中酸组分含量由高至低依次为柠檬酸>抗坏血酸>苹果酸>奎宁酸>酒石酸>草酸>富马酸。柠檬酸占比最高为36.62%,明显高于其他酸组分。母本冬枣和父本辰光也是以柠檬酸占比最高,分别为45.32%和47.61%。值得注意的是杂交后代的柠檬酸占比低于双亲,但抗坏血酸(28.03%)与奎宁酸占比(16.52%)均高于双亲。对酸组分含量分析(图6)发现,总有机酸含量范围为3.84~15.78 mg·g-1,平均值为9.07 mg·g-1。柠檬酸含量(1.41~5.98 mg·g-1)和抗坏血酸含量(0.93~5.68 mg·g-1)为三倍体枣果实中的主要有机酸,平均值分别为3.32 mg·g-1和2.54 mg·g-1;两者之和占总酸64.65%。各酸组分含量及总有机酸含量数据分离广泛,推测酸组分的遗传受主效基因影响较大。箱线图揭示多株系出现超亲极端值,说明后代中有酸组分极值株系的出现,这可能是由于倍性效应和杂交遗传的影响。

图5 不同酸组分在亲本和杂交群体中的比例
Fig. 5 Proportion of acid components in parental and hybrid populations

图6 三倍体杂交群体果实酸组分、总酸含量及其分布
Fig. 6 Acid components, total acid content and their distribution in triploid hybrids fruits

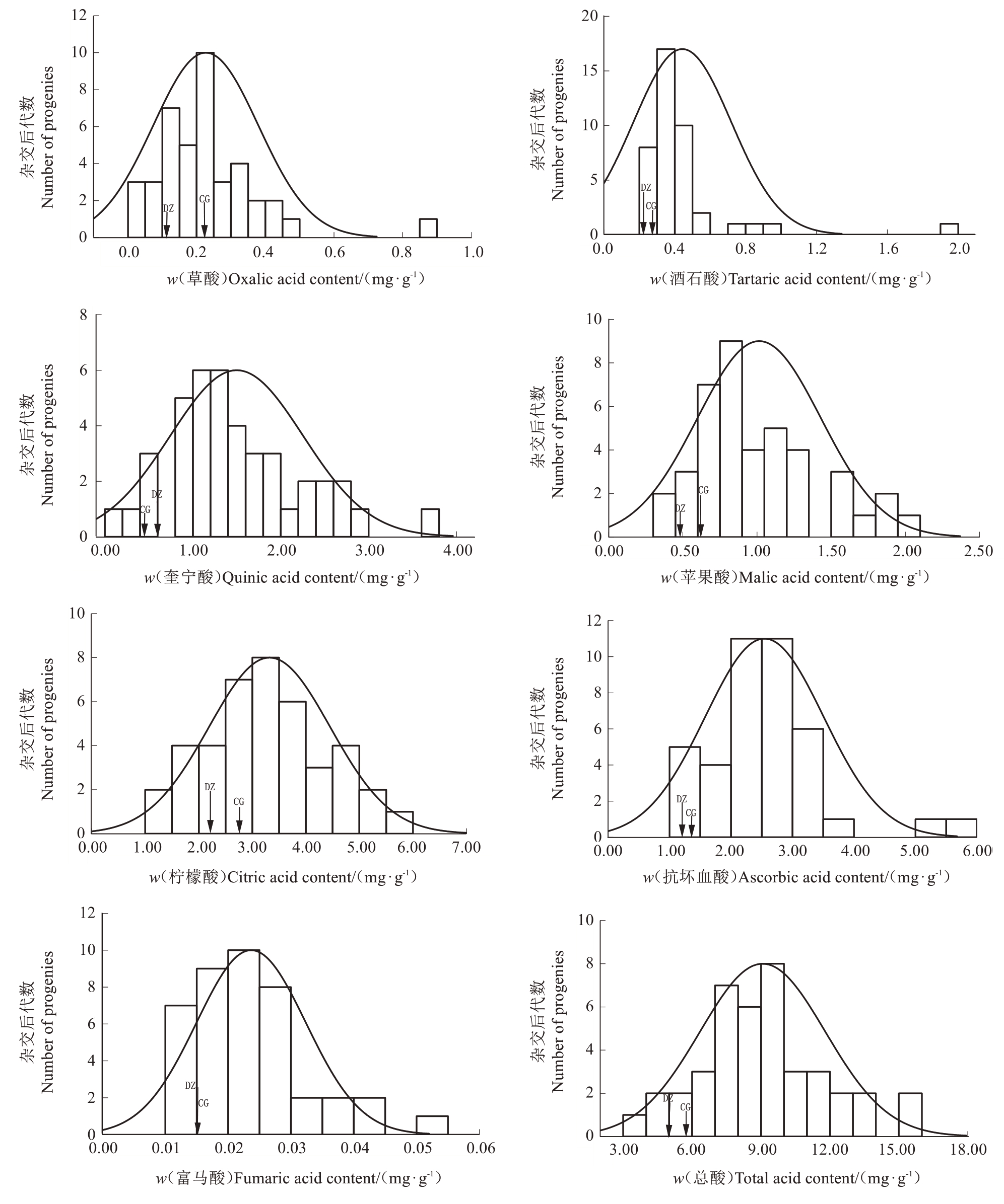
2.2.2 枣三倍体群体酸组分性状分布及遗传特点由图7 可知,三倍体杂交后代果实的柠檬酸、苹果酸、富马酸及总酸呈现正态分布特征,草酸、抗坏血酸、奎宁酸和酒石酸含量频率分布呈现偏态分布,推测三倍体枣杂交后代果实各酸组分是受多基因控制的数量性状,但受主效基因影响较大,这与前人研究[21]一致。酸组分的变异系数为34.04%~67.57%(表2),各性状均呈现广泛分离,其中三倍体杂交后代各酸组分的平均值均高于亲中值,中亲优势率在31.94%~166.78%之间,遗传传递力也比较高,奎宁酸的中亲优势率最高达166.78%,杂交后代各酸组分含量高于双亲的单株较多,超高亲比例较高,其中抗坏血酸的超高亲比例高达92.68%,总酸的中亲优势率为67.68%,超高亲比例高达87.80%,说明杂交后代有机酸积累存在超亲遗传。

表2 果实酸组分和总酸性状的遗传变异分析
Table 2 Genetic variation analysis of fruit acid components and total acid characters

性状Traits w(草酸)Oxalic acid content/(mg·g-1)w(酒石酸)Tartaric acid content/(mg·g-1)w(奎宁酸)Quinic acid content/(mg·g-1)w(苹果酸)Malic acid content/(mg·g-1)w(柠檬酸)Citric acid content/(mg·g-1)w(抗坏血酸)Ascorbic acid content/(mg·g-1)w(富马酸)Fumaric acid content/(mg·g-1)w(总酸)Total acid content/(mg·g-1)亲本 Parents母本Female 0.11 0.23 0.62 0.49 2.29 1.29 0.02 5.04父本Male 0.23 0.28 0.51 0.65 2.75 1.34 0.02 5.77中亲值MPV 0.17 0.26 0.56 0.57 2.52 1.31 0.02 5.41子代群体 Progeny population平均值±标准差Mean±SD 0.23±0.15 0.44±0.28 1.50±0.76 1.01±0.42 3.32±1.13 2.54±0.96 0.02±0.01 9.07±2.73最小值Min 0.01 0.23 0.17 0.41 1.42 0.93 0.01 3.84最大值Max 0.85 1.92 3.64 2.08 5.98 5.68 0.05 15.78变异系数CV/%67.57 62.45 50.44 41.06 34.04 37.88 36.81 30.07中亲优势率MPH/%32.60 72.67 166.78 77.23 31.94 93.33 54.77 67.68遗传传递力Ta/%132.61 172.67 266.78 177.23 131.94 193.33 154.77 167.68超高亲比例RH/%39.02 87.80 87.80 80.49 68.29 92.68 82.93 87.80超低亲比例RL/%17.07 2.43 9.76 4.89 21.95 4.89 17.07 7.31

图7 枣三倍体果实酸组分性状频率分布直方图
Fig. 7 Histogram of frequency distribution of acid components in triploid hybrids fruits

2.3 果实糖组分、酸组分的相关性分析

为探究三倍体杂交后代果实各糖酸组分间的关系,对果实成熟期的总糖、总酸含量及各糖酸组分含量进行相关性分析。由图8 可知,果糖与葡萄糖呈极显著正相关,相关性系数为0.99;果糖、葡萄糖与总糖呈极显著正相关,相关系数分别为0.67、0.67;果糖和葡萄糖与蔗糖呈极显著负相关,相关系数分别为-0.56、-0.57。柠檬酸与草酸、奎宁酸和苹果酸呈极显著正相关;奎宁酸与苹果酸、柠檬酸、抗坏血酸和总糖呈极显著正相关,与酒石酸呈显著负相关;总酸与奎宁酸、苹果酸、柠檬酸、抗坏血酸呈极显著正相关,相关系数分别为0.81、0.71、0.90 和0.78,说明总酸受奎宁酸、苹果酸、柠檬酸、抗坏血酸影响较大。

图8 三倍体杂交后代糖酸组分的相关性分析
Fig. 8 Correlation analysis of sugar and acid components in triploid hybrids fruits

2.4 杂交后代优系筛选

将所有杂交后代按照糖酸组分含量由高到低排序,在41 个杂交后代中挑选出排名前4 的高糖杂交优系,排名前4 的高酸杂交优系,排名前2 的高糖酸杂交优系(表3)。研究发现4 份高糖优系中总糖含量范围268.03~282.00 mg·g-1,其中Q1 总糖含量最高,为282.00 mg·g-1,高于亲本39.04%。除Q1 的糖组分为葡萄糖积累型外,其余高糖优系均为蔗糖积累型。4 份高酸优系总酸含量范围为12.10~15.78 mg·g-1,在所有杂交后代中Q129 总酸含量最高,为15.78 mg·g-1,酸组分中Q129 为抗坏血酸含量最高,柠檬酸次之,其余高酸优系均为柠檬酸积累优势型。2 个高糖酸优系Q164 和Q184,2 个优系既有较高的糖组分含量,酸组分含量也相对较高,总糖含量≥274.95 mg·g-1,总酸含量≥12.72 mg·g-1,属于高糖高酸优系,说明该品种具有果实风味浓郁的潜力。

表3 筛选出的高糖、高酸和高糖酸优系
Table 3 Selected superior lines with high sugar, high acid and high sugar-acid content

类型Type w(总糖)Total sugar content/(mg·g-1)w(总酸)Total acid content/(mg·g-1)w(果糖)Fructose content/(mg·g-1)w(葡萄糖)Glucose content/(mg·g-1)w(蔗糖)Sucrose content/(mg·g-1)w(草酸)Oxalic acid content/(mg·g-1)w(富马酸)Fumaric acid content/(mg·g-1)w(酒石酸)Tartaric acid content/(mg·g-1)w(奎宁酸)Qunic acid content/(mg·g-1)w(苹果酸)Malic acid content/(mg·g-1)w(柠檬酸)Citric acid content/(mg·g-1)w(抗坏血酸)Ascorbic acid content/(mg·g-1)高糖 High sugar Q1 282.00 Q140 276.89 Q123 269.14 Q138 268.03高酸High acid Q129 244.20 Q5 230.15 Q11 259.18 Q102 210.92高糖酸High sugar acid Q164 286.17 Q184 274.95 6.62 10.41 7.75 8.52 15.78 13.88 13.12 12.10 12.72 15.00 82.10 51.87 25.73 62.86 48.04 39.32 31.22 24.00 88.24 25.45 101.14 50.23 26.39 64.51 50.39 37.54 30.71 22.00 93.77 26.90 98.76 174.79 217.01 140.66 145.78 153.29 197.25 164.93 104.16 222.60 0.15 0.15 0.25 0.15 0.33 0.33 0.22 0.85 0.23 0.05 0.01 0.02 0.04 0.02 0.02 0.03 0.03 0.05 0.01 0.02 0.28 0.46 0.47 0.43 0.38 0.45 0.32 0.36 0.38 0.36 1.37 1.83 1.48 1.60 3.64 2.67 2.34 1.87 2.90 2.55 0.85 1.17 0.91 0.82 1.54 2.08 1.88 1.35 1.70 0.98 2.22 4.28 3.13 3.19 4.44 4.96 4.86 5.98 4.60 5.39 1.73 2.49 1.47 2.31 5.41 3.38 3.47 1.64 2.90 5.65

3 讨 论

3.1 杂交后代糖酸组分比例及含量分布特点

枣果实中糖酸组分的构成比例及其含量是评价果实风味品质的关键指标。本研究发现,在二倍体冬枣(母本)与四倍体辰光(父本)杂交获得的41 株三倍体群体果实中,可溶性糖以葡萄糖、果糖和蔗糖为主要组分,其中蔗糖含量及其占比呈现显著优势,该特性与枣二倍体品种的糖分积累模式具有一致性[22]。前人研究表明,枣果实糖分积累具有明显的阶段性特征:在发育初期主要表现为果糖和葡萄糖的快速积累,而进入白熟期后蔗糖比例显著增加,这一动态模式可能与果实成熟过程中转化酶(INV)、蔗糖合酶(SS)等关键酶活性调控密切相关[23]。本研究对全红期枣三倍体果实糖组分测定发现,杂交后代蔗糖占比和含量都呈现趋低遗传倾向,而果糖和葡萄糖呈现趋高遗传,表现出明显的超亲遗传效应。蔗糖合成酶是调控蔗糖代谢的关键之一。冯延芝等[24]研究表明蔗糖代谢途径中的关键基因随着果实发育进程的推进,表达量整体呈下降趋势;故而推测三倍体杂交后代可能通过基因组重排或倍性效应干扰蔗糖合成途径。研究表明,染色体数目异常会影响蔗糖合成效率,而果糖与葡萄糖则通过代谢补偿机制表现出同步富集特征,该发现与柑橘、苹果等园艺作物多倍体化过程中的糖分积累规律具有一致性[24-26],与王婷婷等[10]在柑橘三倍体后代糖酸性状研究中发现蔗糖含量呈现趋低变异相似,但枣三倍体后代群体果糖和葡萄糖呈趋高变异,总糖呈现出趋高变异,极端单株较多;而柑橘三倍体各糖组分及总糖整体呈现衰退变异,这可能与树种的特异性有关。

有机酸也是构成果实风味的重要物质。童盼盼[27]通过对3 个枣主栽品种成熟果实中酸组分研究发现,苹果酸含量最高。马倩倩[28]通过对枣果实的研究发现苹果酸含量最高、可达19.21 mg·g-1。赵爱玲等[8]对219种枣品种酸组分研究发现,枣中有机酸以苹果酸、奎宁酸、柠檬酸为主。梁丰志等[15]通过9个枣品种研究发现,主要酸组分为苹果酸、柠檬酸、琥珀酸。本研究发现三倍体杂交后代有机酸以柠檬酸积累为主,抗坏血酸次之,这可能与品种遗传特性、糖酸代谢、气候环境条件和栽培措施有关[29]。枣三倍体果实中糖酸组分含量的高低具有较明显的趋高遗传特性。明确不同品种的糖酸特性,可为今后育种者选择亲本提供参考,也为将来深入探究糖酸代谢机制以及分子遗传调控机制提供理论依据。

3.2 杂交后代糖酸组分遗传变异特点

在苹果[30]、葡萄[31]、柑橘[32]等果树上研究表明,果实中糖组分含量是由多基因控制的数量性状,加性效应在遗传效应中占比较大。本研究中枣三倍体杂交后代果糖、葡萄糖、蔗糖和总糖均呈正态分布,推测也属于由多基因控制的数量性状。各糖组分的变异系数在18.40%~52.45%之间。蔗糖变异系数最小,为18.40%,说明蔗糖在杂交后代中的变异系数较其他糖组分小,遗传相对稳定。果糖、葡萄糖和总糖含量平均值均高于中亲值,超高亲比例也较高,具有趋高遗传趋势。但有机酸的积累与糖积累相比有所差异。前人研究发现有机酸含量的积累是受主效基因和加性多基因共同控制,在有性后代中呈偏态分布[11]。本研究发现,三倍体杂交后代果实的柠檬酸、抗坏血酸、苹果酸、富马酸及总酸呈现正态分布特征,而草酸、奎宁酸和酒石酸含量呈现偏态分布,表明枣杂交后代果实各酸组分是受多基因控制的数量性状。各酸组分的变异系数在34.04%~67.57%之间。其中柠檬酸含量最高,变异系数最小,说明柠檬酸相对其他酸组分在子代中性状分离幅度小。草酸和酒石酸的变异系数较大,分别为67.57%和62.45%。前人研究发现该现象可能与调控基因类型不同有关,柠檬酸代谢受线粒体柠檬酸合酶(CS)和液泡转运体调控,其合成路径相对保守[33]。草酸和酒石酸代谢受少数主效基因控制,易在杂交中因基因重组或表观修饰产生分离[30]。有机酸的代谢网络错综复杂,其调控深受遗传背景、树木年龄及环境因素的共同影响[34]。本研究也发现,三倍体后代果实的酸组分及总酸含量均高于双亲,推测三倍体后代存在基因剂量效应,使得大部分三倍体后代果实有机酸含量高于双亲,这与前人研究结果一致[10]

本研究发现果糖与葡萄糖含量呈现极显著正相关,相关性系数达到0.99,说明随着果糖的增加,葡萄糖也增加,这与前人研究结果一致[35]。果糖和葡萄糖与蔗糖呈极显著负相关,但与总糖呈极显著正相关,说明总糖受果糖与葡萄糖影响较大。酸组分的研究发现总酸与奎宁酸、苹果酸、柠檬酸、抗坏血酸呈极显著正相关,进一步说明奎宁酸、苹果酸、柠檬酸和抗坏血酸是总酸的主要组成。

3.3 杂交优系的筛选

本研究表明杂交后代糖组分和酸组分各性状分离广泛,特征差异明显,具有一定数量的超亲单株出现,并筛选出高糖、高酸和高糖酸的优系。本研究筛选出高糖优系4 个,含量均在268.03 mg·g-1以上,总糖含量较亲本高出32.15%~39.04%,其中Q164 总糖含量最高,为286.17 mg·g-1。相比薛晓芳等[36] 210个枣品种总糖平均含量为241.85 mg·g-1而言,显著高出44.32 mg·g-1。与糖相比,有机酸含量对水果的整体风味层次更加关键。本研究筛选的4个高酸优系总酸含量为12.10~15.78 mg·g-1,相比亲本高出123.70%以上。高糖高酸的枣果实有利于加工口感丰富的特色果脯和果汁[37]。研究筛选出2 个高糖酸优系Q164 和Q184,不仅总糖含量高,且总酸也较高。蔗糖的甜味可提升水果的风味,还有促进代谢和抗氧化等保健功能。Q184作为高糖酸优系,蔗糖含量高达222.60 mg·g-1,显著高于亲本,与薛晓芳等[36]210 个枣品种蔗糖平均含量(115.67 mg·g-1)相比高出92.44%,比蔗糖最高值(196.13 mg·g-1)高出26.47 mg·g-1。Q184为蔗糖积累型优异杂交后代。

4 结 论

通过冬枣×辰光获得的41株三倍体杂交后代群体属于蔗糖积累型果实,蔗糖含量在糖组分中含量最高,占比达67.18%,其次为果糖和葡萄糖含量,分别占总糖16.09%和16.13%。从杂交后代共鉴定出7 种有机酸,以柠檬酸和抗坏血酸为主。糖组分、酸组分均呈现出正态分布特征,推测为多基因控制的数量性状。果糖、葡萄糖、总糖含量平均值均高于中亲值,各酸组分和总酸平均值均高于中亲值,枣三倍体后代具有趋高遗传趋势。筛选出枣三倍体高糖优系4 个和高酸优系4 个以及高糖高酸杂交优系2个。这为今后科学配置杂交组合、培育品质优良的枣三倍体品种提供了理论依据。

参考文献 References:

[1] 王超,韩刚. 枣果实风味研究进展[J]. 果树学报,2020,37(6):920-928.WANG Chao,HAN Gang. Advances in research on jujube flavor[J]. Journal of Fruit Science,2020,37(6):920-928.

[2] 刘孟军,王玖瑞. 新中国果树科学研究70 年:枣[J]. 果树学报,2019,36(10):1369-1381.LIU Mengjun,WANG Jiurui. Fruit scientific research in New China in the past 70 years:Chinese jujube[J]. Journal of Fruit Science,2019,36(10):1369-1381.

[3] 鲁周民,刘坤,闫忠心,李新岗. 枣果实营养成分及保健作用研究进展[J]. 园艺学报,2010,37(12):2017-2024.LU Zhoumin,LIU Kun,YAN Zhongxin,LI Xingang. Research status of nutrient component and health functions of Ziziphus jujuba Mill.[J]. Acta Horticulturae Sinica,2010,37(12):2017-2024.

[4] 单浩峰,周金龙. 新疆塔里木盆地东南缘红枣种植园土壤肥力评价[J]. 土壤通报,2024,55(5):1312-1319.SHAN Haofeng,ZHOU Jinlong. Evaluation of soil comprehensive fertility of jujube plantation in the southeastern margin of the Tarim Basin,Xinjiang[J]. Chinese Journal of Soil Science,2024,55(5):1312-1319.

[5] 靳娟,李丽莉,杨磊,樊丁宇,郝庆. 新疆红枣产业发展现状分析[J]. 新疆农业科学,2024,61(增刊1):106-110.JIN Juan,LI Lili,YANG Lei,FAN Dingyu,HAO Qing. Analysis on the development status of Xinjiang jujube industry[J].Xinjiang Agricultural Sciences,2024,61(Suppl. 1):106-110.

[6] 李霖锋,刘宝. 植物多倍化与多倍体基因组进化研究进展[J].中国科学:生命科学,2019,49(4):327-337.LI Linfeng,LIU Bao. Recent advances of plant polyploidy and polyploid genome evolution[J]. Scientia Sinica (Vitae),2019,49(4):327-337.

[7] 李娅楠,闫雷玉,张波,杨舜博,赵政阳. 不同苹果品种果实糖酸组分特征研究[J]. 果树学报,2021,38(11):1877-1889.LI Yanan,YAN Leiyu,ZHANG Bo,YANG Shunbo,ZHAO Zhengyang. A study on sugar and organic acid components in different apple cultivars[J]. Journal of Fruit Science,2021,38(11):1877-1889.

[8] 赵爱玲,薛晓芳,任海燕,王永康,李登科,李毅. 枣种质资源有机酸组分及含量特征分析[J]. 西北农业学报,2021,30(8):1185-1198.ZHAO Ailing,XUE Xiaofang,REN Haiyan,WANG Yongkang,LI Dengke,LI Yi. Analysis of composition and content characteristics of organic acids in jujube germplasm[J]. Acta Agriculturae Boreali-occidentalis Sinica,2021,30(8):1185-1198.

[9] SMITH R L,JONES M K. Epigenetic regulation of sugar-acid balance in polyploid citrus fruits[J]. Horticulture Research,2020,7(1):45-58.

[10] 王婷婷,周阳广,朱虹娴,张苗,段耀园,曹惠祥,管书萍,解凯东,伍小萌,龙春瑞,高俊燕,郭文武. 2 个柑橘三倍体有性群体果实糖酸性状遗传评价[J]. 果树学报,2022,39(7):1147-1156.WANG Tingting,ZHOU Yangguang,ZHU Hongxian,ZHANG Miao,DUAN Yaoyuan,CAO Huixiang,GUAN Shuping,XIE Kaidong,WU Xiaomeng,LONG Chunrui,GAO Junyan,GUO Wenwu. Inheritance of sugar and acid contents in the fruits of triploid hybrids originated from two 2x × 4x crosses with Nadorcott tangor as a female parent[J]. Journal of Fruit Science,2022,39(7):1147-1156.

[11] 王玉霞,李林光,王海波,董文轩. 三倍体苹果杂交后代及其亲本果实香气及品质分析[J]. 经济林研究,2013,31(4):82-86.WANG Yuxia,LI Linguang,WANG Haibo,DONG Wenxuan.Analysis on fl avor compounds and quality of apple fruits of triploid hybrid progenies and their parents[J]. Non-wood Forest Research,2013,31(4):82-86.

[12] 郭权,郭印山,郭修武. 葡萄‘红地球’与‘双优’杂交后代果实糖酸的遗传规律[J]. 分子植物育种,2021,19(10):3424-3431.GUO Quan,GUO Yinshan,GUO Xiuwu. Genetic law of sugar and acid in the fruits of hybrids between ‘Red Globe’ and ‘Shuangyou’[J]. Molecular Plant Breeding,2021,19(10):3424-3431.

[13] PAN T F,ALI M M,GONG J M,SHE W Q,PAN D M,GUO Z X,YU Y,CHEN F X. Fruit physiology and sugar-acid profile of 24 pomelo [Citrus grandis (L.) Osbeck] cultivars grown in subtropical region of China[J]. Agronomy,2021,11(12):2393.

[14] 周晓凤,郭雪飞,冯一峰,蒲小秋,吴翠云. 枣种质资源果实糖组分及其含量特征分析[J]. 干旱区资源与环境,2019,33(7):181-186.ZHOU Xiaofeng,GUO Xuefei,FENG Yifeng,PU Xiaoqiu,WU Cuiyun. Analysis of sugar components and content characteristics in jujube germplasm resources[J]. Journal of Arid Land Resources and Environment,2019,33(7):181-186.

[15] 梁丰志,孙金梅,童盼盼,张亚若,王迪,王江波. 不同糖积累型枣糖酸积累特征及差异性分析[J]. 湖北农业科学,2021,60(9):78-83.LIANG Fengzhi,SUN Jinmei,TONG Panpan,ZHANG Yaruo,WANG Di,WANG Jiangbo. Analysis on the characteristics and differences of sugar-acid accumulation in different sugar accumulation types of jujube[J]. Hubei Agricultural Sciences,2021,60(9):78-83.

[16] 闫芬芬,王玖瑞,冯一峰,林敏娟,吴翠云,刘孟军. 枣规模化杂种创制技术体系的建立与应用研究进展[J]. 果树学报,2020,37(6):929-938.YAN Fenfen,WANG Jiurui,FENG Yifeng,LIN Minjuan,WU Cuiyun,LIU Mengjun. Establishment and application of largescale hybrid creation system in Chinese jujube[J]. Journal of Fruit Science,2020,37(6):929-938.

[17] 葛立鑫. 枣多倍体杂交子代生物学性状遗传变异分析[D]. 阿拉尔:塔里木大学,2024.GE Lixin. Analysis of genetic variation in biological traits in jujube polyploid hybrid offspring[D]. Alar:Tarim University,2024.

[18] 蒲云峰. 骏枣苦味物质鉴定及形成机理研究[D]. 杭州:浙江大学,2019.PU Yunfeng. Identification of bitter compounds and its formation mechanism of juiube fruit (Z. Juiuba. cv. Junzao)[D]. Hangzhou:Zhejiang University,2019.

[19] 周晓凤. 基于果实糖酸分析的枣种质资源遗传多样性研究[D].阿拉尔:塔里木大学,2019.ZHOU Xiaofeng. Genetic diversity research based on fruit sugar and acid of jujube germplasm[D]. Alar:Tarim University,2019.

[20] 赵爱玲,薛晓芳,王永康,隋串玲,任海燕,李登科. 枣果实糖酸组分特点及不同发育阶段含量的变化[J]. 园艺学报,2016,43(6):1175-1185.ZHAO Ailing,XUE Xiaofang,WANG Yongkang,SUI Chuanling,REN Haiyan,LI Dengke. The sugars and organic acids composition in fruits of different Chinese jujube cultivars of different development stages[J]. Acta Horticulturae Sinica,2016,43(6):1175-1185.

[21] 陈万年,鲍荆凯,潘依玲,吴翠云,王玖瑞,刘孟军,闫芬芬. 枣JMS2×交城5 号F1 代糖酸组分遗传变异分析[J]. 植物遗传资源学报,2023,24(3):767-779.CHEN Wannian,BAO Jingkai,PAN Yiling,WU Cuiyun,WANG Jiurui,LIU Mengjun,YAN Fenfen. Genetic variation analysis of sugar-acid fraction in F1 hybrids of jujube JMS2 × Jiaocheng 5[J]. Journal of Plant Genetic Resources,2023,24(3):767-779.

[22] 邓倩,王羊,邓群仙,张慧芬,夏惠,林立金,吕小平,廖文飞. 枣和酸枣果实可溶性糖积累规律差异研究[J]. 四川农业大学学报,2021,39(6):734-741.DENG Qian,WANG Yang,DENG Qunxian,ZHANG Huifen,XIA Hui,LIN Lijin,LÜ Xiaoping,LIAO Wenfei. Differences in soluble sugar accumulation pattern in Ziziphus jujuba Mill. and Ziziphus acidojujuba Cheng et Liu fruits[J]. Journal of Sichuan Agricultural University,2021,39(6):734-741.

[23] 郭雪飞,周晓凤,冯一峰,蒲小秋,吴翠云. 两种糖积累型枣品种果实糖积累生理代谢机制研究[J]. 植物生理学报,2019,55(6):837-846.GUO Xuefei,ZHOU Xiaofeng,FENG Yifeng,PU Xiaoqiu,WU Cuiyun. Physiological metabolic mechanism of sugar accumulation in fruit of two sugar-accumulated jujube varieties[J]. Plant Physiology Journal,2019,55(6):837-846.

[24] 冯延芝,魏琦琦,何潇,张伟健,赵广,张琳. 枣蔗糖合成酶基因SS6 的克隆及表达分析[J]. 经济林研究,2017,35(4):36-42.FENG Yanzhi,WEI Qiqi,HE Xiao,ZHANG Weijian,ZHAO Guang,ZHANG Lin. Cloning and expression analysis of sucrose synthase gene (SS6) in Ziziphus jujube[J]. Non-wood Forest Research,2017,35(4):36-42.

[25] 吴孔杰,胡承孝,谭启玲,孙学成,赵小虎,武松伟. 柑橘果实糖积累特征及蔗糖转运机制研究进展[J]. 园艺学报,2022,49(12):2543-2558.WU Kongjie,HU Chengxiao,TAN Qiling,SUN Xuecheng,ZHAO Xiaohu,WU Songwei. Research advanced on character of sugar accumulation and mechanism of sucrose transport in citrus fruit[J]. Acta Horticulturae Sinica,2022,49(12):2543-2558.

[26] YUAN J,WANG Z Y,WANG X,ZHANG C L,MA F W,LI M J. Research advances in genetic quality of sugar content in apples[J]. Fruit Research,2023,3:13.

[27] 童盼盼. 枣果实酸积累模式及相关基因挖掘[D]. 阿拉尔:塔里木大学,2021.TONG Panpan. Acid accumulation pattern and related gene mining in jujube fruit[D]. Alar:Tarim University,2021.

[28] 马倩倩. 枣果实发育过程中主要有机酸含量变化及其相关代谢的研究[D]. 阿拉尔:塔里木大学,2017.MA Qianqian. Study on the changes of main organic acid content and acid-metabolism during the development of jujube fruits[D]. Alar:Tarim University,2017.

[29] COLANTONIO V,FERRÃO L F V,TIEMAN D M,BLIZNYUK N,SIMS C,KLEE H J,MUNOZ P,JR RESENDE M F R. Metabolomic selection for enhanced fruit flavor[J]. Proceedings of the National Academy of Sciences of the United States of America,2022,119(7):e2115865119.

[30] 闫忠业,伊凯,刘志,王冬梅,吕天星,李春敏,陈东玫. ‘红玉’ב金冠’苹果杂交后代果实糖酸组分遗传分析[J]. 果树学报,2017,34(2):129-136.YAN Zhongye,YI Kai,LIU Zhi,WANG Dongmei,LÜ Tianxing,LI Chunmin,CHEN Dongmei. A study of genetic trend of sugar and acid components in the fruits of apple hybrid progeny of‘Jonathan’ × ‘Golden Delicious’[J]. Journal of Fruit Science,2017,34(2):129-136.

[31] 刘政海,董志刚,李晓梅,谭敏,杨镕兆,杨兆亮,唐晓萍. ‘威代尔’与‘霞多丽’葡萄杂交F1 代果实性状遗传倾向分析[J].果树学报,2020,37(8):1122-1131.LIU Zhenghai,DONG Zhigang,LI Xiaomei,TAN Min,YANG Rongzhao,YANG Zhaoliang,TANG Xiaoping. Inheritance trend of fruit traits in F1 progenies of ‘Vidal’ and ‘Chardonnay’of grape[J]. Journal of Fruit Science,2020,37(8):1122-1131.

[32] 刘有春,鄂辉邦,刘成,王兴东,杨艳敏,孙斌,张舵,袁兴福,魏永祥. 越橘半同胞系杂交后代果实糖酸性状的变异和遗传倾向[J]. 果树学报,2016,33(6):664-675.LIU Youchun,E Huibang,LIU Cheng,WANG Xingdong,YANG Yanmin,SUN Bin,ZHANG Duo,YUAN Xingfu,WEI Yongxiang. Variability and inheritance of sugar and acid content in blueberry (Vaccinium) fruit of half-sib crosses[J]. Journal of Fruit Science,2016,33(6):664-675.

[33] YU H,ZHANG C,LU C,WANG Y N,GE C C,HUANG G X,WANG H F. The lemon genome and DNA methylome unveil epigenetic regulation of citric acid biosynthesis during fruit development[J]. Horticulture Research,2024,11(3):uhae005.

[34] 谢欢,王中堂,李明玥,李新岗. 枣杂交后代果实性状遗传分析[J]. 经济林研究,2022,40(2):125-134.XIE Huan,WANG Zhongtang,LI Mingyue,LI Xingang. Genetic analysis of fruit characters in hybrid progeny of Chinese jujube[J]. Non-wood Forest Research,2022,40(2):125-134.

[35] 夏怡蕾. ‘JMS2’ב邢16’杂交后代糖酸性状遗传规律及品质性状QTL 定位[D]. 阿拉尔:塔里木大学,2022.XIA Yilei. Genetic law of sugar and acid traits and QTL mapping of quality traits in Chinese jujube hybrid progenies[D].Alar:Tarim University,2022.

[36] 薛晓芳,赵爱玲,焦文丽,王永康,任海燕,石美娟,苏万龙,李毅,刘丽,李登科. 枣品种资源果实的糖酸含量特征分析[J].植物遗传资源学报,2024,25(1):60-71.XUE Xiaofang,ZHAO Ailing,JIAO Wenli,WANG Yongkang,REN Haiyan,SHI Meijuan,SU Wanlong,LI Yi,LIU Li,LI Dengke. Characteristics analysis of sugar-acid content in fruit of jujube varieties[J]. Journal of Plant Genetic Resources,2024,25(1):60-71.

[37] 杨海波,赵旗峰,孟利峰,周鹏程,陈永珍,李庆亮,梁燕,聂磊云,张晓萍,李继萍,王占勤,赵龙龙. 酸枣新品种晋酸1 号的选育[J]. 果树学报,2024,41(2):362-368.YANG Haibo,ZHAO Qifeng,MENG Lifeng,ZHOU Pengcheng,CHEN Yongzhen,LI Qingliang,LIANG Yan,NIE Leiyun,ZHANG Xiaoping,LI Jiping,WANG Zhanqin,ZHAO Longlong. Breeding report of a new wild jujube cultivar Jinsuan No. 1 (Ziziphus jujuba var. spinosa)[J]. Journal of Fruit Science,2024,41(2):362-368.

Genetic variation analysis of fruit sugar and acid components in triploid hybrids of Dongzao × Chenguang

ZHANG Xianlei1,JI Yinzhong1, TAN Juan1, LUO Zhi1, MA Quanhui1, WU Cuiyun1, LIU Mengjun2,YAN Fenfen1*

(1National and Local Joint Engineering Laboratory of High-efficiency and High-quality Cultivation and Deep Processing Technology of Characteristic Fruit Trees in Southern Xinjiang/College of Horticulture and Forestry, Tarim University, Alar 843300, Xinjiang, Chima; 2China Jujube Research Center of Hebei Agricultural University, Baoding 071000, Hebei, Chima)

Abstract:【Objective】 In order to investigate the genetic variation characteristics of fruit sugar and acid in the triploid jujube offsprings, we determined the sugar and acid contents of triploid hybrids and their parents by HPLC. Jujube is a characteristic economic fruit tree species native to China. With the increasing diversification of consumer preferences for fruit flavor, polyploid breeding has become an important approach for creating new varieties. In previous studies, the tetraploid cultivar Chenguang was used as the male parent and diploid Dongzao as the female parent to generate a triploid hybrid progeny population through interspecific hybridization. However, the genetic patterns of sugar and acid components in triploid jujube have not yet been reported. Therefore, this study aimed to elucidate the inheritance mechanisms of fruit sugar and acid contents in triploid jujube offsprings and provide a theoretical basis for ploidy hybridization in jujube breeding programs. 【Methods】 The tetraploid Chenguang (CG, 2n=48)was used as the male parent and diploid Dongzao (DZ, 2n=24) as the female parent. A total of 41 triploid progeny populations were generated through controlled hybridization under net-covered conditions, along with fruits from both parents serving as test materials. In 2023, 30 fruits were collected from each tree for sugar and acid composition analysis. The samples were freeze-dried for 48 hours using a vacuum freeze dryer, weighed, and ground into powder using a grinder. Each sample was then thoroughly mixed to form three technical replicates and stored in a -80 ℃ freezer for subsequent experiments. Sugar and acid components were quantified using high-performance liquid chromatography(HPLC). Genetic variation in fruit traits was assessed based on the coefficient of variation (CV), transgressive segregation, and genetic transmission rates. Pie charts and box plots were employed to illustrate the distribution and content levels among the progeny, while normal distribution plots were used to depict the overall genetic trends. Data analysis was conducted using Excel 2016, and graphing was performed using Origin 2024. 【Results】 The sugar composition in the triploid hybrids fruit primarily consisted of sucrose, fructose, and glucose. Among these components, sucrose exhibited the highest content, accounting for 67.18% of total sugars, with a range from 98.76 mg·g-1 to 222.60 mg·g-1 and an average of 153.62 mg·g-1. Fructose and glucose followed, representing 16.09% and 16.73%, respectively.The average contents of fructose, glucose, and total sugar were higher than those observed in the midparents. The variation coefficients among sugar components in the hybrid progeny ranged from 18.40%to 52.45%. The genetic transmission rates of fructose, glucose, and sucrose in the triploid hybrids were 174.96%, 193.25%, and 94.83%, respectively, indicating that the variation in sugar components was predominantly influenced by genetic factors. Furthermore, the proportions of total sugar, fructose, and glucose were 78.05%, 80.49%, and 78.05%, respectively. However, the sucrose content in the hybrid progeny fruits was lower than that of the parents, with only 65.85% similarity to the low parent, suggesting a tendency for fructose and glucose levels to increase while sucrose levels tend to decrease in the progeny. The acid composition in the fruit of triploid hybrids was ranked as follows:citric acid>ascorbic acid>malic acid>quinic acid>tartaric acid>oxalic acid>fumaric acid. Citric acid (1.41-5.98 mg·g-1)and ascorbic acid (0.93-5.68 mg·g-1) were the predominant organic acids, accounting for 36.62% and 29.28%, with average contents of 3.32 mg·g-1 and 2.54 mg·g-1, respectively. The total organic acid contents ranged from 3.84 to 15.78 mg·g-1, with an average of 9.07 mg·g-1. Citric acid, ascorbic acid, malic acid, fumaric acid, and total acid exhibited a normal distribution, whereas the frequency distributions of oxalic acid, quinic acid, and tartaric acid showed skewed patterns. The coefficient of variation among acid components ranged from 34.04% to 67.57%. On average, the acid content of triploid-hybrid fruits was higher than that of the midparent value. The midparent heterosis rate varied between 31.94% and 166.78%, with the heterosis rate for total acid being 67.68%. The proportion of individuals exhibiting superior performance over the high parent was 87.80%. The results indicated a genetic predisposition toward the accumulation of organic acids beyond that observed in the parental lines. Fructose and glucose showed an extremely significant positive correlation with each other; fructose and glucose showed an extremely significant positive correlation with total sugar; both fructose and glucose showed an extremely significant negative correlation with sucrose. Citric acid was positively correlated with oxalic acid, quinic acid, and malic acid. Quinic acid demonstrated positive correlations with malic acid, citric acid, ascorbic acid, and total sugar, while showing a negative correlation with tartaric acid. Total acidity was positively associated with quinic acid, malic acid, citric acid, and ascorbic acid. The total sugar content across the tested samples ranged from 268.03 mg·g-1 to 282.00 mg·g-1. Among the four high-acid genotypes, the total acid contents ranged from 12.10 to 15.78 mg·g-1. Two genotypes with total sugar content ≥ 274.95 mg·g-1 and total acid content ≥ 12.72 mg·g-1 were identified as superior germplasm resources with high sugar and acid content. 【Conclusion】 Sucrose, fructose, and glucose were identified as the primary components of soluble sugars, whereas citric acid and ascorbic acid were the main organic acids present in the triploid hybrid progeny. Fructose, glucose, sucrose, citric acid, and ascorbic acid are quantitative traits that are regulated by polygenes. The contents of fructose, glucose and acid components show a tendency of high heredity, while the content of sucrose shows a tendency of low heredity. Four superior lines exhibiting high sugar content, four lines with high acidity, and two lines characterized by both high sugar and acid contents were successfully selected within the triploid hybrid progeny.

Key words:Jujube; Triploid; Sugar component; Acid component; Genetic evaluation

中图分类号:S665.1

文献标志码:A

文章编号:1009-9980(2026)02-0257-13

DOI:10.13925/j.cnki.gsxb.20250329

收稿日期:2025-06-09

接受日期:2025-08-04

基金项目:兵团重点领域科技攻关项目(2024AB021);科技创新人才计划项目(2023CB009-04)

作者简介:张现磊,硕士,研究方向为果树高效栽培与品种选育。E-mail:910873469@qq.com

*通信作者Author for correspondence. E-mail:yanfening@163.com