晋南盆地早熟苹果适宜采收期的确定

高嘉松1,李玲子1,刘钟泽1,张小军1,高 燕1,黄琳琳1,田介云1,闫文玉2,张 鑫2,郝燕燕1*

1山西农业大学园艺学院,山西晋中 030801; 2万荣县果业发展中心,山西万荣 044299)

摘 要:【目的】明确鲁丽和大卫嘎拉苹果在山西南部盆地的最佳采收期。【方法】本研究对不同成熟度鲁丽和大卫嘎拉果实进行淀粉染色,构建淀粉染色图谱,并分析果实品质与其相关性,确定以淀粉染色为主要依据的采收标准。【结果】鲁丽苹果花后116~123 d,淀粉指数为5.40~6.53,横纵径、质量和体积趋于稳定,果皮由局部着色转变为完全着色,果实硬度为9.42~10.49 kg·cm-2,可溶性固形物含量(w,后同)为13.20%~14.33%,鲜食与贮藏60 d后品质表现皆好(果实硬度约为7.60 kg·cm-2)。大卫嘎拉苹果花后119 d,淀粉指数为5.93,横纵径、质量和体积趋于稳定,果皮完全着色,果实硬度为11.02 kg·cm-2,可溶性固形物含量为13.33%,鲜食与贮藏60 d后品质表现皆好(硬度为7.13 kg·cm-2,可溶性固形物含量为15.87%)。相关性分析表明,淀粉指数与单果质量、可溶性固形物含量呈极显著正相关(P<0.01),与果实硬度、可滴定酸含量呈极显著负相关(P<0.01)。【结论】鲁丽和大卫嘎拉苹果适宜采收期的淀粉染色标准为:淀粉染色表现为萼片、花瓣维管束呈10 个染色较深的离散团状,淀粉指数鲁丽为5.40~6.53(花后116~123 d)、大卫嘎拉为5.93(花后119 d)。

关键词:早熟苹果;贮藏;采收期;淀粉染色图谱;品质

晋南盆地位于山西省南部,年平均气温11.8 ℃、降水量500 mm,全年无霜期约190 d,适宜苹果生长。近年来随着苹果品种的结构调整,因地特优发展策略被突出。晋南盆地由于海拔多在500~600 m,年积温较高,适宜发展早熟品种以早赢市场。作为晋南盆地推广的优良品种,鲁丽及嘎拉优系凭借易着色、易管理、早上市等优点,其栽培规模在不断地扩大。

适时采收是保障果实品质及延长货架期的前提。采收过早,果个偏小,导致产量低,糖和芳香族化合物的含量也低,风味无法达到消费者所需的感官特征[1];刘洪冲等[2]在瑞阳苹果采收期的研究中发现,采收早的果实硬度高,在贮藏过程中品质下降速率快;而采收过晚的果实衰老快、不耐贮藏[3-4]。刘慧等[5]对华硕苹果采收期的判定研究表明,晚采的果实乙烯释放高峰出现早,货架期和贮藏寿命短。因此确定适宜的采收期对果实采后品质和贮藏性具有重要意义。

在晋南盆地,鲁丽、嘎拉的采收期主要依据坐果天数和果面着色程度,受当地气候和栽培条件的影响,往往采收过晚。而且早熟品种采收时气温高,成熟进程快,科学判定成熟度适时采收尤为重要。已有研究表明淀粉染色判定法能够直观反映苹果果实成熟度。通过对不同成熟度的果实进行淀粉染色,绘制淀粉染色图谱,分析淀粉指数与果实采后品质的相关性,确定苹果最佳采收期的淀粉染色指数[6-8]。不同苹果品种在淀粉指数上的表现存在显著差异。例如,红元帅、嘎拉等品种采摘时推荐淀粉指数为4.0~4.5,而富士苹果采摘时推荐淀粉指数为7.0~8.0[9],这表明不同品种的淀粉含量和成熟度存在明显差异。山东威海地区金冠苹果适宜采收期的淀粉指数为7.0[10],而在陕西千阳地区其淀粉指数则约为4.0[11],这表明同一品种在不同地区的淀粉指数也存在差异。

本研究以晋南盆地的早熟品种鲁丽、大卫嘎拉为研究对象,通过分析成熟过程中果实感官品质及淀粉指数的变化及不同成熟期采收的贮藏性能,建立鲁丽、大卫嘎拉苹果的淀粉染色图谱,为其适时采收提供理论依据和实践参考。

1 材料和方法

1.1 试验材料与处理

试验所用鲁丽、大卫嘎拉苹果采自山西运城盆地万荣县闫景村,该地海拔约600 m。采用自根砧矮化密植栽培,树势一致,树龄为5 a(年)。于果实生理成熟前1 个月开始采收,每次采样从树冠中部东南西北随机采摘10 个果实,10 株为1 个重复,共采摘100个,重复3次。采样时间间隔7 d(表1)。样品一部分进行品质指标的测定;一部分散去田间热之后,装于0.03 mm PE 包装袋内,放入冷库进行采后贮藏试验,贮藏温度约1 ℃,相对湿度保持在85%~90%,每隔15 d 测定果实硬度、可溶性固形物含量、可滴定酸含量,整个贮藏周期为60 d。

表1 采样设计
Table 1 Sampling design

苹果品种Apple varieties鲁丽 Luli大卫嘎拉 David Gala花后时间 Time after flowering/d采样期ⅠSampling stage Ⅰ95 91采样期ⅡSampling stage Ⅱ102 98采样期ⅢSampling stage Ⅲ109 105采样期ⅣSampling stage Ⅳ116 112采样期ⅤSampling stage Ⅴ123 119采样期ⅥSampling stage Ⅵ130 126

1.2 测定指标及方法

1.2.1 淀粉染色图谱 将不同成熟度的苹果沿果实中部切开,将带果柄的横切面浸入碘-碘化钾溶液5~7 mm,保持2 min,取出拍照。每个采样期各品种每重复选取5 个果实,用于绘制淀粉染色图谱。将染色切面与Blanpied等[12]绘制的标准淀粉染色图谱进行对照,按染色程度进行评级,按下列公式计算淀粉指数(SI)。

1.2.2 果实硬度 在果实赤道部位对称取3 个点,去皮后使用GY-3 型数字式里氏硬度计测定果肉硬度,计算平均值。每个采样期各品种每重复选取5个果实。

1.2.3 果实含水率 采用烘干法,将称过鲜质量的材料切片后放入烘箱内于100~105 ℃杀青10 min,然后将烘箱的温度降到70~80 ℃,烘至恒质量,称量干质量。每个采样期各品种每重复选取5 个果实。含水率/%=(鲜质量-干质量)/鲜质量×100。

1.2.4 果实体积 采用排水法,向量筒注入水至某一刻度,记录初始水体积(V1),然后将果实完全浸入水中,记录新水位体积(V2)。每个采样期各品种每重复选取5个果实。果实体积(V)=V2-V1

1.2.5 可溶性固形物含量与可滴定酸含量 将果实去皮、去核后,在果实赤道不同区域取果肉进行榨汁,使用日本ATAGO 爱拓糖酸度计(PAL-BX/ACID5)测定可溶性固形物含量;取定量的果汁用蒸馏水稀释50倍后,测定可滴定酸含量。每个采样期各品种每重复选取5个果实。

1.3 数据分析

采用SPSS26.0 统计分析差异显著性(LSD)以及Pearson 相关性,利用Origin 绘制图形,使用Photoshop绘制淀粉染色图谱并计算染色面积。

2 结果与分析

2.1 鲁丽、大卫嘎拉苹果的淀粉染色图谱

对不同成熟度的鲁丽、大卫嘎拉苹果果实进行淀粉染色,参考Blanpied 等[12]绘制鲁丽(图1)、大卫嘎拉(图2)苹果淀粉染色图谱,按染色程度将图谱分为6个等级。

图1 鲁丽苹果的淀粉染色图谱
Fig. 1 Starch-iodine pattern for Luli apples

图2 大卫嘎拉苹果的淀粉染色图谱
Fig. 2 Starch-iodine pattern for David Gala apples

鲁丽图谱1 级果心染色100%,淀粉指数为1.16;2 级果心染色80%,淀粉指数为1.83;3 级心皮外线明显,果肉染色90%,淀粉指数为3.26;4级萼片维管束和花瓣维管束之间的果肉淀粉逐渐水解,呈10 个染色较深离散团状,果肉染色55%,淀粉指数为5.40;5 级除萼片维管束、花瓣维管束和果皮组织外,果肉淀粉基本水解,果肉染色30%,淀粉指数为6.53;6级果实横切面基本不染色,淀粉指数为7.90。

大卫嘎拉图谱1 级果心染色100%,淀粉指数为1.03;2 级果心染色80%,淀粉指数为1.80;3 级心皮外线明显,果肉染色95%,淀粉指数为3.10;4级萼片维管束和花瓣维管束之间淀粉逐渐水解,果肉染色65%,淀粉指数为4.13;5 级果肉、萼片维管束、花瓣维管束淀粉水解明显,呈10 个染色较深离散团状,果肉染色40%,淀粉指数为5.93;6级除萼片维管束、花瓣维管束和果皮外淀粉基本水解,果肉染色25%,淀粉指数为7.00。

2.2 苹果不同采收期果实品质分析

分析早熟品种鲁丽、大卫嘎拉不同采收期的果实品质,结果表明,鲁丽(表2)和大卫嘎拉(表3)横纵径、质量和体积、可溶性固形物含量、糖酸比均呈上升趋势,而果实硬度、可滴定酸含量均呈下降趋势。

表2 不同采收期对鲁丽苹果品质的影响
Table 2 Effects of different harvest stages on the quality of Luli apples

注:同行不同小写字母表示差异显著(P<0.05)。由于果实成熟过程中含水率变化相对平缓,故测定间隔14 d。下同。
Note:Different small letters in same row indicate significant difference by LSD test (P<0.05). As the moisture content changes relatively steadily during fruit ripening, the determinations were conducted at 14 day intervals. The same below.

指标Index横径Transverse diameter/mm纵径Vertical diameter/mm果形指数Shape index of fruit体积Volume/cm3单果质量Single fruit mass/g含水率Moisture content/%硬度Firmness/(kg·cm-2)w(可溶性固形物)Soluble solids content/%w(可滴定酸)Titratable acidity content/%糖酸比Sugar/acid ratio花后95 d 95 d after flowering 63.60±0.26 e花后102 d 102 d after flowering 65.87±0.40 d花后109 d 109 d after flowering 70.47±0.15 c花后116 d 116 d after flowering 72.47±0.61 b花后123 d 123 d after flowering 73.50±0.40 ab花后130 d 130 d after flowering 73.90±1.42 a 59.67±0.25 c 60.33±0.74 bc 62.30±0.20 b 66.20±1.66 a 65.43±2.05 a 66.33±1.92 a 0.94±0.01 a 0.87±0.02 b 0.88±0.01 b 0.91±0.02 ab 0.89±0.04 b 0.89±0.03 b 150.67±6.03 d 154.00±2.65 d 184.33±8.39 c 201.00±2.00 b 203.00±4.58 b 218.67±8.02 a 124.59±3.05 d 126.51±0.71 d 155.01±4.37 c 174.08±4.84 b 177.88±2.84 b 185.05±4.21 a-82.93±3.27 b -84.57±1.45 ab -87.48±0.75 a 13.93±0.20 a 13.47±0.12 b 12.11±0.16 c 10.49±0.12 d 9.42±0.23 e 8.36±0.39 f 8.37±0.15 d 10.53±0.15 c 10.67±0.32 c 13.20±0.30 b 14.33±0.15 a 14.37±0.25 a 0.85±0.04 a 0.73±0.03 b 0.64±0.03 c 0.53±0.02 d 0.43±0.02 e 0.42±0.03 e 9.86±0.64 e 14.37±0.37 d 16.60±0.71 d 24.78±1.23 c 31.65±1.19 b 34.03±2.42 a

表3 不同采收期对大卫嘎拉苹果品质的影响
Table 3 Effects of different harvest stages on the quality of David Gala apples

指标Index横径Transverse diameter/mm纵径Vertical diameter/mm果形指数Shape index of fruit体积Volume/cm3单果质量Single fruit mass/g含水率Moisture content/%硬度Firmness/(kg·cm-2)w(可溶性固形物)Soluble solids content/%w(可滴定酸)Titratable acidity content/%糖酸比Sugar/acid ratio花后91 d 91 d after flowering 61.30±0.36 d花后98 d 98 d after flowering 63.23±0.35 c花后105 d 105 d after flowering 68.70±0.35 b花后112 d 112 d after flowering 69.50±0.66 b花后119 d 119 d after flowering 72.93±0.87 a花后126 d 126 d after flowering 73.93±0.91 a 54.30±0.36 e 56.50±1.06 d 59.93±0.15 c 62.37±0.97 b 61.97±1.17 b 64.03±1.23 a 0.88±0.01 ab 0.89±0.02 a 0.87±0.01 ab 0.89±0.02 a 0.85±0.03 b 0.87±0.02 ab 101.90±2.59 f 111.15±5.36 e 140.08±2.38 d 152.19±4.01 c 171.57±2.86 b 178.56±3.54 a 126.33±6.11 d 136.00±7.00 d 169.67±3.05 c 174.33±6.51 c 195.67±7.02 b 208.33±6.03 a 83.04±1.02 b 83.80±0.43 ab 85.04±0.67 a 13.53±0.40 a 13.39±0.12 a 13.52±0.33 a 12.12±0.58 b 11.02±0.42 c 8.92±0.73 d 8.13±0.15 e 8.63±0.35 e 10.10±0.46 d 11.20±0.46 c 13.33±0.40 b 14.03±0.15 a 0.87±0.04 a 0.82±0.05 ab 0.76±0.06 bc 0.69±0.04 c 0.54±0.15 d 0.43±0.06 e 9.33±0.59 d 10.57±1.04 d 13.31±1.51 cd 17.81±2.12 c 24.56±1.35 b 33.22±5.39 a

鲁丽苹果花后95~116 d 横纵径、质量和体积显著增加,花后116~130 d 增速趋于平缓;花后109~123 d 硬度、可滴定酸含量显著下降,可溶性固形物含量、糖酸比呈显著上升;花后123~130 d 可溶性固形物含量、可滴定酸含量趋于稳定;花后130 d 果实含水率显著高于花后102 d。

大卫嘎拉苹果花后91~105 d、花后112~119 d横纵径、质量和体积显著增加,花后119~126 d 增速趋于平缓。花后112~126 d 硬度、可滴定酸含量显著下降,可溶性固形物含量、糖酸比显著上升;花后126 d果实含水率显著高于花后98 d。

2.3 苹果不同采收期果皮及种皮色泽变化

鲁丽(图3)苹果花后95~102 d 果实为深绿色,种皮从乳白色转变为局部褐色;花后109~116 d果实向阳面着色面积增加,种皮褐色面积增加;花后123~130 d 果实完全着色,由浅红色转变为深红色,种皮为褐色。

图3 不同采收期对鲁丽苹果果皮与种皮色泽的影响
Fig. 3 Effects of different harvest stages on the color of Luli apple peel and seed coat

大卫嘎拉(图4)苹果花后91~98 d 果实为深绿色,种皮为乳白色;花后105~112 d 果实向阳面着色面积增加,种皮褐色面积增加;花后119~126 d 果实完全着色由浅红色转变为深红色,种皮为褐色。

图4 不同采收期对大卫嘎拉苹果果皮与种皮色泽的影响
Fig. 4 Effects of different harvest stages on the color of David Gala apple peel and seed coat

2.4 贮藏过程中果实品质的变化

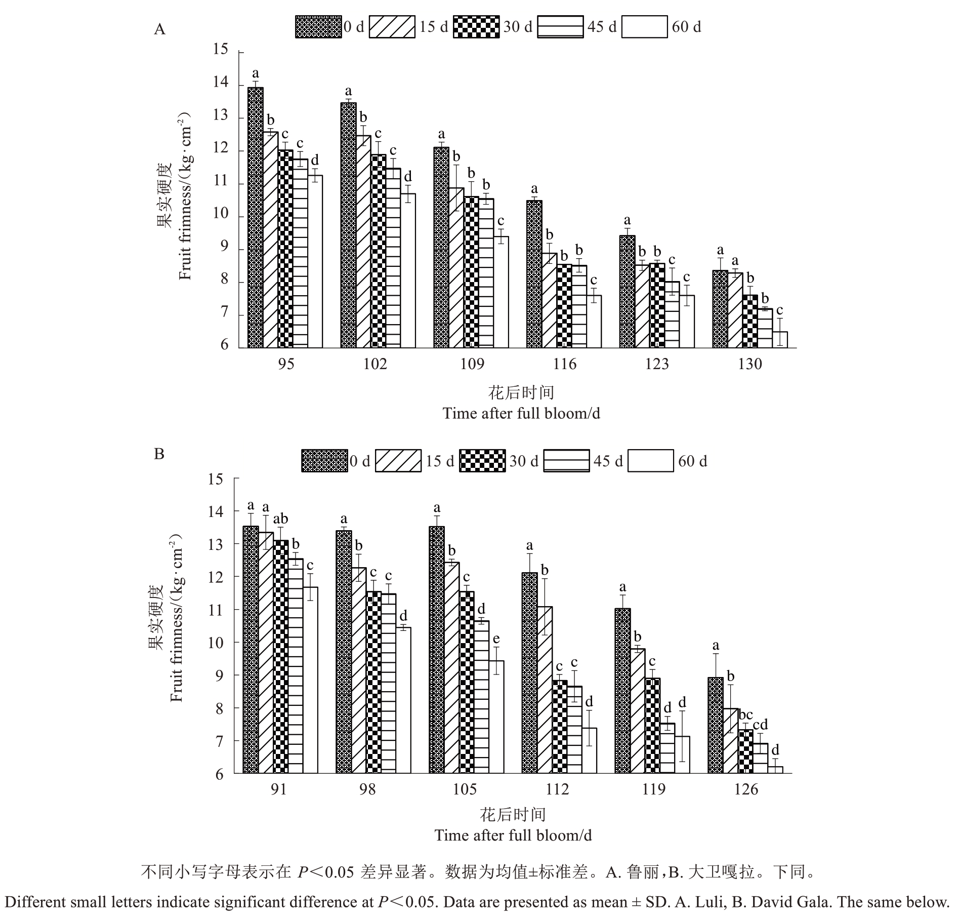
2.4.1 果实硬度在贮藏过程中的变化 硬度是影响苹果耐贮性的重要因素,通过对早熟品种冷藏处理发现,不同采收期果实硬度在贮藏过程中均呈现下降趋势(图5)。

图5 不同采收期对鲁丽和大卫嘎拉苹果贮藏期硬度的影响
Fig. 5 Effects of different harvest stages on the firmness of Luli and David Gala apples during storage

鲁丽(图5-A)苹果花后95、102 d采收的果实硬度均大于13 kg·cm-2,贮藏60 d 时分别为11.23 kg·cm-2、10.70 kg·cm-2,硬度较高;花后109、116和123 d采收的果实,贮藏60 d时果实硬度维持在7.60~9.40 kg·cm-2,分别比采收时下降22.38%、27.55%和19.32%;花后130 d 采收的果实,贮藏60 d 时果实硬度低于7.00 kg·cm-2,比采收时下降22.37%。花后116 d 果实硬度贮藏60 d时下降速率最快。

大卫嘎拉(图5-B)苹果花后91、98、105 d 采收的果实硬度均大于13 kg·cm-2,贮藏60 d时硬度分别比采收时下降13.67%、21.96%、30.25%;花后112、119 d 采收的果实,贮藏60 d 时果实硬度保持在7.13~7.38 kg·cm-2,分别比采收时下降39.11% 和35.30%;花后126 d 果实硬度低于7.00 kg·cm-2,比采收时下降30.49%。花后112 d 果实硬度贮藏60 d 时下降速率最快。

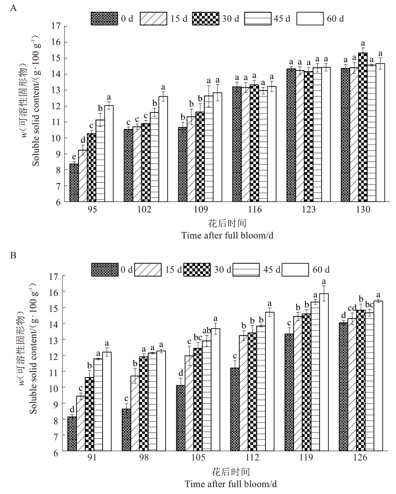
2.4.2 可溶性固形物含量在贮藏过程中的变化 早熟品种随着贮藏时间的延长,鲁丽(图6-A)苹果花后95~109 d,果实可溶性固形物含量整体呈上升趋势,花后116~130 d 趋于平缓;大卫嘎拉(图6-B)苹果可溶性固形物含量整体呈上升趋势。

图6 不同采收期对鲁丽和大卫嘎拉苹果贮藏期可溶性固形物含量的影响
Fig. 6 Effects of different harvest stages on soluble solids content of Luli and David Gala apples during storage

鲁丽苹果花后95、102 和109 d 采收的果实可溶性固形物含量分别为8.37%、10.53%和10.67%,贮藏60 d 时可溶性固形物含量分别上升43.73%、19.66%和20.23%;而花后116、123 和130 d 采收的果实贮藏期可溶性固形物含量无显著差异。

大卫嘎拉苹果花后91、98 d 采收的果实,贮藏60 d时可溶性固形物含量分别比采收时上升50.06%和42.18%,可溶性固形物含量低于13.00%;花后105、112、119、126 d采收的果实,贮藏60 d时可溶性固形物含量分别比采收时上升35.35%、31.25%、19.05%和9.76%,可溶性固形物含量维持在13.37%~15.87%。

2.4.3 可滴定酸含量在贮藏过程中的变化 通过对早熟品种贮藏处理分析,发现随着贮藏时间的延长,可滴定酸含量呈现下降的趋势(图7)。

图7 不同采收期对鲁丽和大卫嘎拉苹果贮藏期可滴定酸含量的影响
Fig. 7 Effects of different harvest stages on titratable acidity of Luli and David Gala apples during storage

图7 (续) Fig. 7 (Continued)

鲁丽(图7-A)苹果花后95、102、109、116、123、130 d采收的果实,贮藏60 d时可滴定酸含量分别比采收时下降40.00%、45.21%、39.06%、24.53%、26.67%、21.43%,花后95 d 可滴定酸含量最高为0.51%,花后102、109、116 d 可滴定酸含量趋于0.40%,花后123、130 d可滴定酸含量均趋于0.33%。

大卫嘎拉(图7-B)苹果花后91、98、105、112、119、126 d采收的果实,贮藏60 d时可滴定酸含量分别比采收时下降34.48%、32.93%、39.47%、42.03%、31.48%、27.91%,花后91、98 d 可滴定酸含量趋于0.56%,花后126 d可滴定酸含量最低为0.31%。

2.5 不同采收期果实品质指标与淀粉指数相关性分析

通过对淀粉染色指数与单果质量、果实硬度、可溶性固形物含量、可滴定酸含量进行相关性分析(表4)发现,鲁丽与大卫嘎拉均表现出淀粉指数与单果质量、可溶性固形物含量呈极显著正相关(P<0.01),与果实硬度、可滴定酸含量呈极显著负相关(P<0.01)。

表4 鲁丽与大卫嘎拉生理指标的变化及其与淀粉指数的相关性
Table 4 Changes in physiological indices of Luli and David Gala and their correlation with starch index

注:**表示在P<0.01 存在极显著相关。
Note:**indicates extremely significant correlation at P<0.01.

品种Variety鲁丽 Luli大卫嘎拉 David Gala w(可滴定酸)Titratable acidity content/%-0.966**-0.959**单果质量Single fruit mass/g 0.964**0.979**硬度Firmness/(kg·cm-2)-0.994**-0.909**w(可溶性固形物)Soluble solids content/%0.959**0.987**

3 讨 论

3.1 苹果适宜采收期判定指标间的关系

果实的采收时期是影响果实品质的重要因素之一。苹果采收标准常用果实硬度、可溶性固形物含量、可滴定酸含量、果实色泽等来确定,这些指标受光照、温度、海拔、水分和栽培管理措施等的影响较大,同时也受地区生态条件和不同年份的影响,不能单独用来作为判断成熟度的指标[13]

淀粉染色图谱能够客观地反映果实的成熟度,目前国内外普遍应用该方法测试苹果的成熟度。淀粉指数是通过观察淀粉染色反映果实体内淀粉含量的一种方法[14]。苹果在生长发育前期以淀粉的形式积累碳水化合物[15],可溶性固形物含量较低、果实硬度和可滴定酸含量较高[10]。随着果实成熟度增加,淀粉在各种酶的作用下逐渐水解为糖;同时细胞壁降解导致果实硬度降低;有机酸通过糖异生途径转变成糖,酸合成能力降低或分解,可滴定酸含量降低[16]。本研究发现淀粉指数与单果质量、可溶性固形物含量呈显著正相关,而与果实硬度、可滴定酸含量呈显著负相关,这与刘慧等[5]、王赵改等[17]研究结果一致。相较于易受环境干扰的指标,淀粉染色图谱更能直接反映果实内部淀粉代谢的动态规律,受环境因素影响较小,是确定适宜采收期的核心依据。

3.2 鲁丽、大卫嘎拉苹果采收期的判定

苹果果实淀粉含量变化受不同品种特性影响。Thammawong[18]通过观察苹果主栽品种淀粉染色图谱发现,早熟品种淀粉水解速度较快,但所有品种成熟过程中淀粉图谱与本研究鲁丽与大卫嘎拉相似,表现为萼片、花瓣维管束和果皮组织淀粉水解较晚。这与前人关于苹果果实发育过程中淀粉降解的研究结果一致,表现为果心区域的淀粉粒较多,淀粉酶活性较高,淀粉水解较快;而维管束区域的淀粉酶活性较低,淀粉水解滞后[19-20]。本研究发现,鲁丽与大卫嘎拉适宜采收期淀粉染色均表现为萼片、花瓣维管束染色较深,呈10 个染色较深的离散团状,相邻的束间组织淀粉水解,果皮组织淀粉部分水解。此时,鲁丽苹果果实淀粉指数为5.40~6.53(花后116~123 d),横纵径、质量和体积大小增速趋于平缓,果皮由局部着色转变为完全着色,种皮完全褐化,硬度为9.42~10.49 kg·cm-2,可溶性固形物含量为13.20%~14.33%,贮藏60 d 后仍能维持较好的硬度(约7.60 kg·cm-2),采收与采后贮藏品质均符合地方标准(DB4112/T 306)。大卫嘎拉苹果果实淀粉指数为5.93(花后119 d),果个大小增速趋于平缓,果皮完全着色,种皮完全褐化,硬度11.02 kg·cm-2,可溶性固形物含量为13.33%,贮藏60 d 后鲜食与贮藏后品质表现皆好(硬度为7.13 kg·cm-2,可溶性固形物含量为15.87%)。

本研究还发现鲁丽苹果花后109 d 和大卫嘎拉苹果花后105~112 d 采收时果实可溶性固形物含量低,但贮藏60 d 果实品质也能达地标,但果个小,着色不佳,如果长期贮藏可以考虑此期采收。鲁丽花后130 d(淀粉指数7.90)与大卫嘎拉(淀粉指数7.00)苹果花后126 d 果实鲜食品质最佳,适用于鲜食,不耐贮藏。

4 结 论

通过综合分析,在晋南盆地,鲁丽与大卫嘎拉苹果适宜采收期淀粉染色均表现为萼片、花瓣维管束染色较深,呈10个染色较深的离散团状。鲁丽苹果适宜的采收期淀粉指数为5.40~6.53,大卫嘎拉苹果适宜的采收期淀粉指数为5.93。

参考文献 References:

[1] 高俊凤. 植物生理学实验指导[M]. 北京:高等教育出版社,2006.GAO Junfeng. Experimental guidance for plant physiology[M].Beijing:Higher Education Press,2006.

[2] 刘洪冲,王新茹,姚悦,余庭庭,周会玲. 陕西白水‘瑞阳’苹果不同采收期判断及品质和耐贮性分析[J]. 西北农业学报,2023,32(1):53-61.LIU Hongchong,WANG Xinru,YAO Yue,YU Tingting,ZHOU Huiling. Judgement of different harvest periods of ‘Ruiyang’apple in Baishui of Shaanxi and analysis of its quality and storage stability[J]. Acta Agriculturae Boreali-occidentalis Sinica,2023,32(1):53-61.

[3] 谢季云,白友强,杜林笑,马楠,李丹,李学文. 不同采收期对阿克苏富士苹果贮藏品质的影响[J]. 保鲜与加工,2019,19(6):40-44.XIE Jiyun,BAI Youqiang,DU Linxiao,MA Nan,LI Dan,LI Xuewen. Effect of different harvesting period on storage quality of Aksu Fuji apple[J]. Storage and Process,2019,19(6):40-44.

[4] ŁYSIAK G. The influence of harvest maturity and basic macroelement content in fruit on the incidence of diseases and disorders after storage of the ‘Ligol’ apple cultivar[J]. Folia Horticulturae,2013,25(1):31-39.

[5] 刘慧,张静林,吕真真,杨文博,阎振立,张瑞萍,焦中高. ‘华硕’苹果采收期判定及其对贮藏品质的影响[J]. 果树学报,2020,37(1):106-114.LIU Hui,ZHANG Jinglin,LÜ Zhenzhen,YANG Wenbo,YAN Zhenli,ZHANG Ruiping,JIAO Zhonggao. Optimal harvest date determination and its effect on storage quality in ‘Huashuo’ apples[J]. Journal of Fruit Science,2020,37(1):106-114.

[6] DAVIS M B,BLAIR D S. Cold storage problems with apples[J].Scientific Agriculture,1936,17(3):105-114.

[7] REID M S,PADFIELD C A S,WATKINS C B,HARMAN J E.Starch iodine pattern as a maturity index for Granny Smith apples:1. Comparison with flesh firmness and soluble solids content[J]. New Zealand Journal of Agricultural Research,1982,25(2):229-237.

[8] 何旭捷. 旬邑县晚熟苹果新品种采收期及贮藏期品质特性评价研究[D]. 杨凌:西北农林科技大学,2024.HE Xujie. Study on harvesting period and quality characteristics evaluation during storage of new late-maturing apple cultivars in Xunyi county[D]. Yangling:Northwest A & F University,2024.

[9] 陕西省质量技术监督局. 矮化园苹果采摘技术规程:DB61/T 1047.5—2016[S]. 西安:陕西省质量技术监督局,2016.Shaanxi Provincial Administration for Market Regulation. Harvesting technical specification for dwarfing apple fruit:DB61/T 1047.5—2016[S]. Xi’an:Shaanxi Provincial Administration for Market Regulation,2016.

[10] 王学坤,胡丽诗,王浩,张冬阳,徐晓召,于伟建,原永兵,杨绍兰,程晨霞. 威海地区3 个苹果品种果实适宜采收期的确定[J].果树学报,2022,39(9):1691-1700.WANG Xuekun,HU Lishi,WANG Hao,ZHANG Dongyang,XU Xiaozhao,YU Weijian,YUAN Yongbing,YANG Shaolan,CHENG Chenxia. Determination of optimal harvest dates for three apple cultivars in Weihai,Shandong[J]. Journal of Fruit Science,2022,39(9):1691-1700.

[11] 何婉茹. 千阳不同苹果品种成熟期淀粉染色图谱的建立[D].杨凌:西北农林科技大学,2017.HE Wanru. Identification of cold resistance and disease resistance of hybrids of grape rootstock[D]. Yangling:Northwest A &F University,2017.

[12] BLANPIED G D,SILSBY K J. Predicting harvest date windows for apples[J/OL]. Cornell Cooperative Extension,1992. http://hdl.handle.net/1813/3299.

[13] 牛锐敏,饶景萍,韩新花,陆宁. 不同采收期对红富士苹果贮藏品质的影响[J]. 西北农业学报,2006,15(3):171-174.NIU Ruimin,RAO Jingping,HAN Xinhua,LU Ning. Effect of harvest date on storage quality of Fuji apple[J]. Acta Agriculturae Boreali-Occidentalis Sinica,2006,15(3):171-174.

[14] 张腾艺,李千里,冯贝贝,南坤,闫鹏,耿文娟. 金冠、维纳斯黄金、瑞雪苹果采收期的判定及果实品质的变化动态[J]. 新疆农业科学,2025,62(2):314-323.ZHANG Tengyi,LI Qianli,FENG Beibei,NAN Kun,YAN Peng,GENG Wenjuan. Determination of harvest date of Golden Delicious,Harlikar and Ruixue apples and their dynamic study on fruit quality[J]. Xinjiang Agricultural Sciences,2025,62(2):314-323.

[15] DOERFLINGER F C. Starch metabolism in apple fruit and its relationship with maturation and ripening[D]. Ithaca:Cornell University,2015.

[16] GUL K,AHMAD MIR N,SINGH P,WANI A A. Postharvest biology and technology of apple[M]//MIR S A,SHAH M A,MIR M M. Postharvest Biology and Technology of Temperate Fruits.Cham:Springer International Publishing,2018:223-243.

[17] 王赵改,马书尚,王瑞庆,王安建. 粉红女士苹果适宜采收期判断方法研究[J]. 中国果树,2011(6):17-19.WANG Zhaogai,MA Shushang,WANG Ruiqing,WANG Anjian. Study on the method of judging the suitable harvest time of pink lady apple[J]. China Fruits,2011(6):17-19.

[18] THAMMAWONG M. Characteristics of starch degradation in relation to the physiology of ripening in apple fruit[D]. Morioka:Iwate University,2008.

[19] 王永章,张大鹏. 苹果果实发育过程中α-淀粉酶的活性、数量变化和亚细胞定位(英文)[J]. 植物学报,2002,44(1):34-41.WANG Yongzhang,ZHANG Dapeng. Activities,quantitative changes and subcellular localization of α-amylase during development of apple fruit[J]. Acta Botanica Sinica,2002,44(1):34-41.

[20] 王永章,张大鹏. 发育过程中苹果果实的β-淀粉酶:活性、数量变化和亚细胞定位[J]. 中国科学(C 辑:生命科学),2002,32(3):201-210.WANG Yongzhang,ZHANG Dapeng. β-Amylase in apple fruit during development:Activity,quantitative changes and subcellular localization[J]. Science in China Series C:Life Sciences,2002,32(3):201-210.

Determination of optimal harvest period of early-maturing apples in South Basin of Shanxi Province

GAO Jiasong1, LI Lingzi1, LIU Zhongze1, ZHANG Xiaojun1, GAO Yan1, HUANG Linlin1, TIAN Jieyun1, YAN Wenyu2, ZHANG Xin2, HAO Yanyan1*

(1College of Horticulture, Shanxi Agricultural University, Jinzhong 030801, Shanxi, China; 2Wanrong County Fruit Industry Development Center, Wanrong 044299, Shanxi, China)

Abstract:【Objective】 The early-maturing apple cultivars Luli and David Gala are extensively cultivated at the south region of Shanxi due to earlier harvest and higher market value, compared with other cooler areas. The fruit qualities are determined by the harvest time. Traditionally, apple fruits are harvested according to skin coloring, seed color or days after full bloom (DAFB), which are influenced by climates in different years. Rapid fruit ripening of early-maturing apple cultivars under higher temperatures in the south region of Shanxi presents challenges in determining the optimal harvest timing, which directly affects postharvest fruit quality and storage potential. This study aimed to establish a starch-iodine staining criteria as a reliable indicator for harvest maturity, ensuring fruit quality and prolonging its shelf life. 【Methods】 The apple flesh of Luli (95 to 130 DAFB, 7 d harvest interval) and David Gala(91 to 126 DAFB, 7 d harvest interval) at different maturities was stained by iodine-potassium iodide solution to show starch degradation patterns, and correspondingly the fruit quality attributes of fruit size,single-fruit weight, firmness, skin color, soluble solids content (SSC), titratable acidity (TA), and sugaracid ratio were measured. Correlation analysis was conducted to evaluate relationships between the starch index and quality attributes. The fruits of Luli and David Gala at different maturities were stored at 1 ℃ for 60 days, and their indicators of firmness, SSC, and TA were monitored to assess storage quality. 【Results】 Starch-iodine staining results indicated that starch hydrolysis occurred in both Luli apples(95 to 130 DAFB) and David Gala apples (91 to 126 DAFB) during ripening. The starch index of Luli apples gradually increased from 1.16 (at 95 d DAFB) to 7.90 (at 130 DAFB), and David Gala apples gradually increased from 1.03 (at 91 DAFB) to 7.00 (at 126 DAFB). The hydrolysis of starch and the starch index could serve as core indicators of maturity. With fruit maturing, the starch hydrolysis in both Luli and David Gala started from the core and gradually spreaded to the pulp. Notably, vascular bundles and pericarp tissues were the last to undergo hydrolysis. At the later stage of maturity (staining grade 6),the starch in the cross-section of Luli apples was almost completely hydrolyzed, while some starch in the vascular bundles and pericarp tissues of David Gala apples had not been hydrolyzed. This indicated that the starch hydrolysis in Luli apples was faster and more complete during the maturity period (95 to 130 DAFB). Starch index of Luli and David Gala was significantly and positively correlated with single fruit weight and soluble solids content, and significantly and negatively correlated with fruit firmness and titratable acidity (P < 0.01). With the prolongation of the harvest period, fruit firmness and titratable acidity decreased, and soluble solids content increased. Firmness can serve as an indicator of storage potential. The firmness of Luli decreased less than that of David Gala during storage, and its storability was better. Soluble solids content is a quality index reflecting the flavor and maturity of the fruit.The content of soluble solids in Luli apples gradually increased from 95 to 109 DAFB and remained stable from 116 to 130 DAFB, while the soluble solids content of David Gala apples gradually increased during the storage process at different harvest periods. Comprehensive analysis of fruit quality indicators at different maturity stages showed that Luli apple fruit and storage quality during 116 to 123 DAFB was the best, in which the starch index was 5.40-6.53, fruit size tended to be stable, skin changed from partial coloring to complete coloring, soluble solids content was 13.20%-14.33%, and fruit firmness was 9.42-10.49 kg·cm-2 and decreased to 7.60 kg·cm-2 after storage for 60 d. David Gala apple fruit and storage quality at 119 DAFB was the best, in which starch index was 5.93, fruit size tended to be stable, fruit skin was fully colored, soluble solids content was 13.33%, and fruit firmness was 11.02 kg·cm-2 and decrease to 7.13 kg·cm-2 after 60 d of storage. When harvested too early, for instance, Luli fruit was harvested at 95 to 102 d DAFB (starch index was 1.16-1.85) and David Gala was harvested 91 to 98 DAFB (starch index was 1.03-1.80), the fruit firmness was excessively high, SSC was insufficient, and the flavor cannot meet the standard. When harvested too late, for instance, Luli fruit was harvested at 130 DAFB (starch index was 7.90), and David Gala was harvested at 126 DAFB (starch index was 7.00), the fruit firmness decreased significantly after storage (< 7.00 kg·cm-2) and was not resistant to storage, although the fresh flavor was the optimal (SSC > 14%). 【Conclusion】 Starch staining can be used as a core evaluation index for the harvest maturity of Luli and David Gala apples. The starch staining pattern for appropriate harvest time of Luli and David Gala apples showed that vascular bundles of sepals and petals were still stained, and presented 10 discrete dark clusters in the core. The optimal starch index for Luli was 5.40-6.53, but for David Gala it was 5.93.

Key words:Early-maturing apples; Storage; Harvest period; Starch iodine staining pattern; Quality

中图分类号:S661.1

文献标志码:A

文章编号:1009-9980(2026)01-0147-11

DOI:10.13925/j.cnki.gsxb.20250204

收稿日期:2025-05-07

接受日期:2025-06-26

基金项目:山西农业产业引领工程项目(CYYL25-14);山西省现代农业产业技术体系建设项目(2024CYJSTX07-08)

作者简介:高嘉松,男,在读硕士研究生,研究方向:果树生理与栽培。E-mail:gaojiasong258@163.com

*通信作者 Author for correspondence. E-mail:yanyanhao123@163.com