采收后叶面喷肥对核桃光合能力的影响

姚晓琴1,2,王宝庆2,3*

1新疆农业大学林学与风景园林学院,乌鲁木齐 830052; 2新疆阿克苏森林生态系统定位观测研究站,新疆阿克苏 843000; 3新疆维吾尔自治区林业科学院经济林研究所,乌鲁木齐 830092)

摘 要:【目的】针对部分温185 核桃在丰产期出现的结果枝抽干率高、连续结果能力不足的现象,在采收后叶面喷施磷酸二氢钾(KH2PO4),旨在提高叶片净光合速率,促进结果枝养分积累,降低结果枝越冬抽干率,提高连续坐果能力,从而实现增产稳产的目标。【方法】基于田间试验及实验室测定,设置水(CK)、0.8% KH2PO4、1.2% KH2PO4和1.5%KH2PO4共4 个喷施浓度梯度,测定采收后温185 核桃叶片的光合生理参数、叶片解剖结构及糖含量等生理指标。【结果】喷施KH2PO4能有效提高温185核桃叶片的光合效率、糖含量,改善叶片结构,1.5% KH2PO4处理的效果最为显著且最优。其中净光合速率、气孔导度、蒸腾速率和胞间CO2浓度,较CK 分别显著提高28.83%、27.29%、27.39%和3.67%;糖类检测结果显示,1.5% KH2PO4处理显著增加了叶片中主要糖组分的含量,其中蔗糖、葡萄糖、果糖含量分别较CK显著增加10.61%、13.23%、35.63%;叶片叶绿素含量和总糖含量分别较CK显著提高12.28%和13.50%;栅栏组织厚度、叶片厚度、气孔开张率和叶肉细胞密度较CK 分别显著提高22.98%、20.73%、18.41%和13.08%。相关性分析结果显示,净光合速率与总糖含量、气孔导度、蒸腾速率、叶绿素含量呈极显著正相关,而与胞间CO2浓度呈极显著负相关。喷施1.5% KH2PO4处理显著降低了抽干率,较CK 显著降低31.92%;在该处理下,萌芽率达到最大值(71.88%)。【结论】采收后1~2 周叶面喷施KH2PO4对温185 核桃叶片的光合及生理指标具有显著调节作用,能在一定时间内维持光合作用强度,促进营养物质合成,提升植株抗性。

关键词:核桃;磷酸二氢钾;叶面喷肥;光合参数;糖含量

核桃(Juglans regia L.)作为一种重要的木本粮油树种,果仁富含油脂和蛋白质。新疆是中国核桃主栽区之一,现有面积43万hm2,在保障南疆地区经济发展和助力“三农”等方面发挥重要作用[1]。近年来,南疆部分立地条件较差的核桃园出现枝条抽干比例高的现象,导致连续结果能力降低,影响产量提升。因此,明确抽干现象发生的原因并提出有效措施,对南疆地区核桃产业的稳定发展具有重要意义[2]。光合作用是植物生长与发育的基础,其效率直接影响果树的产量和质量[3-4]。环塔里木盆地温185 核桃成熟期为8 月下旬至9 月上旬,落叶期为11月上旬。经调查其作为高净光合速率良种,采收后至落叶前,仍能保持较高的净光合速率。因此,优化核桃的栽培管理并提升其光合效率,充分发挥其光合能力尤为关键。近年来,关于核桃叶面肥及光合特性的研究逐渐丰富[5-7]。叶面喷肥可使养分通过气孔被吸收到植株内部,改善叶片结构,保持并提升光合作用能力,补充生殖生长阶段消耗的养分[8-10]。KH2PO4作为一种高效的叶面肥,富含磷元素和钾元素,能促进植物根系发育,提高光合作用效率,增强植物抗逆性[11],其对植物代谢和生理功能的调节作用已在骏枣、苹果和桃等树种上得到验证[12-14]。在梨[15]、巴旦木[16]、珍珠油杏[17]、葡萄[18]、番茄[19]等栽培中,果实采收后叶面喷施KH2PO4等肥料能够促进果树养分积累及抗性提升。但核桃作为南疆地区主要的经济树种之一,目前在果实采收后的养分管理等方面的研究相对较少。笔者在核桃采收后使用不同浓度的KH2PO4对叶片进行喷施处理,通过监测叶片的光合生理指标及糖积累水平,明确最佳的喷施方法,以期达到促进结果枝养分积累、提升植株抗性、降低抽干率以及增强结果枝连续坐果能力的目的。

1 材料和方法

试验于2024 年在新疆温宿县柯柯牙镇十万亩生态园(41°26'15" N,80°15'31" E)开展。生态园地处天山南麓中段前山带,海拔1 320.74 m,属典型戈壁绿洲过渡带。试验地为大陆性暖温带干旱气候,年平均气温10.10 ℃,年均无霜期185 d,年降水量65.40 mm[20]。光照充足,昼夜温差大,年蒸发量较高。

1.1 材料和处理

以生态园12 年生温185 核桃为试材,株行距为3 m×5 m,灌溉方式为滴灌,年用水量430 m3·666.7 m-2。2024 年6 月随机选取树势中庸、长势基本一致且无明显病虫害的样本36 株。选择无风且晴朗天气的10:00 前或18:00 后,使用喷雾器对整个植株叶片喷施KH2PO4(分析纯,具体浓度见表1),每隔10 d处理1次,共处理3次。

表1 试验设计
Table 1 Experimental Design

处理Treatment CK IⅡⅢ种类Type水Water KH2PO4 KH2PO4 KH2PO4喷施浓度Spraying concentration/%/0.8 1.2 1.5喷施日期Spraying date/d 9月5日、9月15日、9月25日Sept.5, Sept.15, Sept.25采样时期Sampling period采收后第1天、采收后第11天、采收后第21天1 day post-harvest, 11 days post-harvest, 21 days post-harvest

每次喷施前1 h 及喷施后叶面雾滴完全挥发时分别取样。叶片解剖结构分析所用叶片,取样前先擦拭待采叶片表面的灰尘,并用去离子水冲洗3遍,吸干表面水分,在叶片上使用剪刀剪取所需大小的样本,立即置于FAA 固定液中,4 ℃避光保存。生理指标测定所用叶片采集后装于信封袋,置于保温箱中带回实验室。每个处理采集若干小叶,设置3个生物学重复。部分鲜叶需在105 ℃烘箱中杀青30 min,随后在70~80 ℃烘箱中烘干至恒质量[21],研磨成粉末进行生理指标测定。

1.2 试验方法

1.2.1 叶片各项指标的测定 叶绿素含量测定:用乙醇-丙酮法[22]提取叶绿素,通过紫外可见分光光度计测定相应波长处的吸光值,计算叶绿素含量。每个样品设置3个重复。

总糖含量测定:采用苯酚硫酸法[23]。根据标准曲线和样品的吸光度,计算样品中总糖含量。每个样品设置3个重复。

光合参数测定:采用便携式光合仪(Li-6800),每10 d 选择一个天气晴朗日,在08:30—18:00 以顶叶向下的第一对小叶为测定对象,测定净光合速率、气孔导度、蒸腾速率及胞间CO2浓度等光合参数。

叶片解剖结构:叶片经FAA 固定液处理后,进行修剪、脱水、包埋、切片、染色、封片,最后通过镜检筛选出合格的样片[24]。使用PANNORAMIC 全景切片扫描仪将所有的组织信息扫描,使用CaseViewer2.4扫描浏览软件选取组织的目的区域进行400倍成像。

糖含量测定:采用离子色谱系统对样品中的代谢物进行检测。通过与标准品的保留时间、分子质量(分子质量误差<10×10-6)等信息进行对比,对样品中短链糖的含量进行测定。

1.2.2 枝条抽干率和萌发率的测定 抽干率/%=(抽干枝条数/样本总枝条数)×100;

萌芽率/%=(萌芽枝条数/样本总枝条数)×100。

1.3 数据处理

将试验所得数据使用Microsoft Excel 2019、SPSS 26.0软件进行统计分析,用LSD法进行差异显著性检验,使用Origin 2021绘图。

2 结果与分析

2.1 采收后喷施KH2PO4对核桃叶片光合参数的影响

2.1.1 对叶片净光合速率(Pn)的影响 核桃叶片Pn呈现典型的季节性变化特征,8月20日Pn值较高,为13.49 μmol·m-2·s-1(图1-A)。随着果实成熟,Pn持续下降,落叶前降至最低水平,仅为3.74 μmol·m-2·s-1。9月4 日采收后,连续进行KH2PO4叶面喷施可有效促进核桃叶片Pn的恢复和保持,且处理效果具有浓度依赖性。1.5% KH2PO4处理对Pn的提升效果最为显著,比CK提高28.83%(P<0.05)。

图1 不同浓度KH2PO4处理的叶片光合参数
Fig. 1 Photosynthetic parameters of leaves treated with different concentrations of KH2PO4

2.1.2 对叶片气孔导度(Gs)的影响 核桃叶片Gs的变化趋势与Pn高度一致(图1-B)。8月下旬至9月初,随着物候期的变化,各处理组的Gs均呈现下降趋势。喷肥初期,0.8% KH2PO4处理的Gs与CK 相比提升最显著;但在喷肥后期,1.5% KH2PO4处理的Gs下降速度最缓慢,9 月末仍维持在0.116 mmol·m-2·s-1,表现出持续调控优势。9月15日与9月25日测定结果显示,各KH2PO4处理与CK 的差异均达显著水平(P<0.05),其中0.8% KH2PO4处理的Gs较CK 分别提高了16.12%、16.71%;1.2% KH2PO4 处理增幅为13.63%、19.38%;1.5% KH2PO4处理增幅为14.67%、27.29%,且后期效果显著优于其他处理。由此可见,采收后喷施KH2PO4可有效延缓Gs下降,促进气孔开放。其中,1.5%浓度处理的效果最优(P<0.05),对维持叶片生理功能具有显著作用。

2.1.3 对叶片蒸腾速率(Tr)的影响 核桃叶片Tr呈现典型的季节性变化规律(图1-C)。8 月下旬至9 月初,Tr 持续下降,在9 月5 日达到最低值(0.003 mmol·m-2·s-1)。采收后进行KH2PO4叶面喷施处理可显著提升Tr,且处理效果具有浓度依赖性和时效性。其中,1.5% KH2PO4处理在9月15日与9月25 日均保持组内最大值,与CK 相比分别增加了26.73%、27.39%,且维持的调控作用最持久;而0.8%KH2PO4处理只增加了17.33%、13.28%。以上结果表明,采收后喷施KH2PO4能够改善叶片水分传导效率,促进Tr的升高,为采后水分管理提供科学依据。

2.1.4 对胞间CO2 浓度(Ci)的影响 叶面喷施KH2PO4对温185 核桃叶片Ci的影响呈“V”型变化趋势(图1-D)。喷施前叶片Ci持续下降,喷施期呈现先升高后降低趋势,喷施后又逐渐回升。8月25日—9月5 日,各处理与CK 无显著差异。随着时间推移,各处理Ci 存在不同差异。9 月15 日,0.8%和1.2% KH2PO4处理的Ci显著高于CK和1.5%,各处理分别比CK 提高4.64%、5.23%、0.23%。9 月25 日,1.5% KH2PO4处理表现最优,较CK 显著提高3.67%(P<0.05),0.8%和1.2% KH2PO4 处理增幅分别为1.11%和0.75%;在10 月15 日,0.8%与1.5% KH2PO4处理的Ci显著高于CK,比CK 分别提高了6.73%和3.32%。

2.2 采收后喷施KH2PO4对糖积累量和叶绿素含量的影响

2.2.1 短链糖含量的变化 根据光合参数的变化,选取喷肥效果显著的1.5% KH2PO4处理进行糖代谢的测定与分析。结果显示,在核桃叶片中共检测出12种短链糖(图2、图3),其中蔗糖是主要成分。喷施处理后,处理组蔗糖含量(w,后同)为32.40 μg·mg-1,较CK的29.29 μg·mg-1显著提高10.61%;葡萄糖和果糖含量分别增加13.23%和35.63%,其中蔗糖和果糖含量分别达到峰值34.40 μg·mg-1和16.72 μg·mg-1。值得注意的是,虽然蔗糖绝对含量增加,但其在总糖中的占比从51.2%下降至46.8%,而果糖占比则从16.8%显著提升至24.1%。这些结果表明KH2PO4处理不仅促进糖分积累,还优化了糖代谢途径。

图2 1.5% KH2PO4处理叶片糖聚类热图
Fig. 2 Clustered heat map of leaf sugar metabolism content under 1.5% KH2PO4 treatment

图3 1.5% KH2PO4处理叶片糖组分的变化
Fig. 3 Changes in sugar fractions of leaves treated with 1.5% KH2PO4

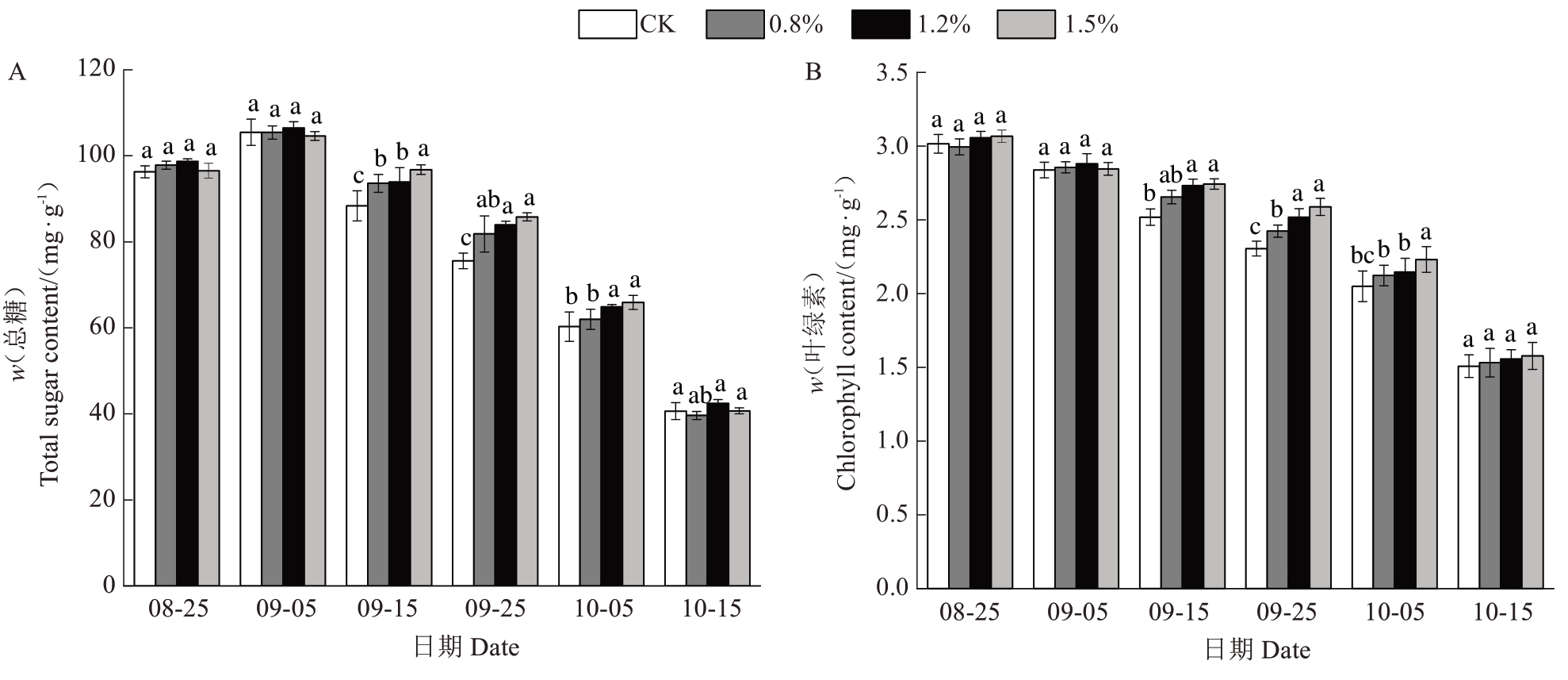
2.2.2 对叶片总糖含量的影响 通过对温185 核桃叶片总糖含量的动态检测(图4-A)发现,总糖含量在8 月底至9 月初达到峰值(108.59 mg·g-1),采收后又逐渐下降。9 月4 日采收后叶面喷施KH2PO4,各处理组的总糖含量较CK均显著提高(P<0.05)。其中9 月15 日测定结果显示,0.8% KH2PO4处理增加了5.93%,1.2%处理增加6.27%,1.5%处理增加了9.53%。9 月25 日增幅进一步扩大,分别达到8.28%、11.07%和13.50%。值得注意的是,1.5%KH2PO4处理始终维持最高糖含量,表现出最优的糖分积累效果。10 月5 日后,各处理组的糖含量趋于一致,最低值降至40.63 mg·g-1。由此可见,采收后喷施KH2PO4可显著延缓叶片中糖分降解,能在一定时间内有效促进叶片中糖含量积累。

图4 不同浓度KH2PO4处理叶片总糖和叶绿素含量的变化
Fig. 4 Changes in total sugar and chlorophyll content of leaves treated with different concentrations of KH2PO4

2.2.3 对叶片叶绿素含量的影响 叶绿素含量变化分析(图4-B)显示,温185核桃叶片的叶绿素含量在8 月25 日左右达到最高值(3.07 mg·g-1),随后随果实成熟进程逐渐下降。叶面喷施KH2PO4后,各处理组的叶绿素含量均显著高于CK(P<0.05)。喷肥初期,各处理的叶绿素含量均高于CK。1.2%和1.5%KH2PO4处理效果最为显著,分别较CK 提高8.52%和8.91%,0.8%处理提高5.45%。喷肥后期,1.5%处理表现出持续优势,叶绿素含量较CK 显著增加12.28%,显著优于0.8%和1.2%处理的5.15%和9.25%。由此可见,1.5% KH2PO4处理能有效延缓叶绿素降解,其中1.5%处理效果最优,维持时间最长。

2.3 采收后喷施KH2PO4叶片显微结构的变化

2.3.1 气孔的变化 叶片气孔特征分析(图5、表2)表明,温185 核桃叶片气孔主要分布于下表皮。叶片喷施KH2PO4显著影响了气孔特征。与CK 相比,处理组在喷肥期和喷肥后的气孔长度和宽度无显著变化。喷施期0.8% KH2PO4处理气孔长度最大,为11.82 μm,1.5%处理的气孔宽度最大,为3.93 μm。喷施后各处理的气孔长度和宽度均减小,其中0.8%处理的气孔宽度降幅最小,1.5%处理的气孔长度降幅最小。喷施期,各处理的气孔开张率均显著提高,浓度从低到高处理后依次提高81.19%、82.41%、78.79%;喷施后,仅有1.2%处理低于CK,其余处理分别为69.72%、76.60%。结果表明KH2PO4能优化气孔功能,1.5%处理综合效果最佳。

图5 不同浓度KH2PO4处理叶片气孔特征
Fig. 5 Stomatal characteristics of leaves treated with different concentrations of KH2PO4

表2 核桃叶片的气孔指标
Table 2 Stomatal Indices of Walnut Leaves

注:同列不同小写字母表示处理间差异显著(P<0.05)。下同。
Note:The different small letters in the same column indicate significant difference at 0.05 level. The same below.

时间Time喷肥前Before fertilization喷肥期Fertilization period喷肥后After fertilization气孔宽度Stomatal width/μm 3.38±0.22 a 3.36±0.48 a 2.67±0.33 a 3.24±0.56 a 2.31±0.19 ab 3.66±0.68 a 3.72±0.68 a 3.93±0.47 a 4.00±0.34 a 3.73±0.34 a 2.98±0.66 ab 3.36±0.32 a处理Treatment CK 0.8%1.2%1.5%CK 0.8%1.2%1.5%CK 0.8%1.2%1.5%单位面积气孔总数Total number of stomata per unit area 56.50±1.69 b 45.50±3.71 c 56.00±1.75 b 61.00±1.21 a 58.00±2.40 b 50.50±2.03 c 63.50±1.24 a 49.50±3.72 c 56.00±1.52 b 54.50±1.85 c 61.50±2.34 a 47.00±2.16 d单位面积气孔开张数Number of stomatal openings per unit area 43.00±1.73 a 31.00±2.31 d 38.00±2.14 c 41.00±2.94 b 39.00±1.25 c 41.00±1.15 b 54.00±0.58 a 39.00±0.74 c 35.00±2.31 bc 38.00±1.35 a 34.00±2.40 c 36.00±1.03 b气孔开张率Stomatal opening rate/%76.11±2.50 a 68.13±7.52 b 67.86±4.37 b 67.22±5.00 b 67.24±3.52 d 81.19±3.98 b 85.04±1.88 a 78.79±6.10 c 62.50±4.46 c 69.72±4.84 b 55.28±4.43 d 76.60±4.14 a气孔密度Stomatal density/(cells·mm-2)289.80±2.65 a 284.28±1.51 b 278.49±1.65 c 290.97±3.07 a 256.56±2.70 b 237.92±1.69 d 241.20±2.50 c 266.72±2.56 a 215.09±3.02 d 218.85±1.53 c 225.61±1.51 b 256.33±2.31 a气孔长度Stomatal length/μm 11.97±0.67 a 11.26±1.63 a 10.02±1.09 a 10.61±1.42 a 8.95±1.41 b 11.82±0.42 a 10.69±1.41 ab 10.72±0.66 ab 13.50±0.90 a 10.65±0.40 b 10.39±1.72 b 12.18±1.35 ab

2.3.2 解剖结构的变化 叶片解剖结构分析(图6、表3)显示,叶片喷施KH2PO4显著影响了温185核桃叶片细胞结构。喷肥期各处理上下表皮细胞厚度均大于CK,而喷肥后仅0.8% 处理的下表皮厚度低于CK。其中,1.5%处理在喷肥期显著影响栅栏组织厚度,喷肥后与CK 相比增加了22.98%,1.2%处理为18.92%。值得注意的是,1.5%处理显著提高了栅海比(栅栏组织厚度与海绵组织厚度的比值),且喷肥后持续增大,表明其能优化叶片光合组织结构。叶片厚度方面,1.5%处理在喷肥期与CK 相比增加了20.73%。叶肉细胞密度检测显示,0.8%和1.5%处理在喷肥期分别比CK 提高了4.77%和3.99%,喷肥后分别增加了7.19%和13.08%,而1.2%处理效果不显著。这些结果证实1.5% KH2PO4处理对叶片解剖结构的改善效果最为显著。

图6 不同浓度KH2PO4处理叶片解剖结构
Fig. 6 Anatomical structure of leaves treated with different concentrations of KH2PO4

表3 叶片解剖结构参数
Table 3 Leaf Anatomical Structure Parameters

时间Time喷肥前Before fertilization喷肥期Fertilization period喷肥后After fertilization处理Treatment CK 0.8%1.2%1.5%CK 0.8%1.2%1.5%CK 0.8%1.2%1.5%上表皮细胞厚度Upper epidermal cell thickness/μm 16.49±1.05 ab 14.72±0.75 b 15.80±0.84 b 17.87±0.46 a 12.82±1.15 b 14.91±0.43 a 13.81±0.92 ab 14.00±0.57 ab 14.01±0.96 b 15.00±1.34 ab 16.60±0.68 a 16.81±1.82 a下表皮细胞厚度Lower epidermal cell thickness/μm 10.14±0.87 c 11.14±0.37 bc 16.15±0.60 a 12.33±0.57 b 10.41±2.16 a 11.01±0.57 a 11.04±0.93 a 11.92±1.32 a 9.81±0.60 bc 9.60±0.64 c 11.61±0.75 ab 11.81±1.91 a栅栏组织厚度Palisade tissue thickness/μm 110.88±3.10 a 105.10±1.87 c 101.90±1.19 d 108.33±3.13 b 92.66±3.67 d 104.82±2.27 c 108.83±1.89 b 120.83±2.91 a 97.10±1.55 c 81.00±1.96 d 115.52±3.12 b 119.41±2.99 a栅海比Palisade-spongy tissue ratio 1.17±0.16 a 1.10±0.11 a 0.98±0.04 a 1.17±0.23 a 0.98±0.10 c 1.03±0.09 c 1.22±0.02 b 1.50±0.40 a 0.95±0.13 c 0.92±0.16 d 1.22±0.30 b 1.44±0.43 a叶片厚度Leaf thickness/μm 205.48±1.39 b 192.53±0.74 d 208.57±2.66 a 199.81±2.91 c 189.03±2.94 d 202.02±3.35 b 201.84±3.86 c 228.21±2.44 a 184.11±2.89 c 172.92±2.87 d 202.41±2.02 b 228.21±6.44 a叶肉细胞密度Mesophyll cell density/(cells·mm-2)2 702.26±88.96 a 2 383.28±75.93 b 1 971.10±78.15 c 1 971.51±62.94 c 2 983.37±63.60 c 3 125.81±53.02 a 2 728.15±76.82 d 3 102.54±53.26 b 2 616.48±77.56 c 2 804.65±99.94 b 2 422.46±78.28 d 2 958.84±89.94 a

2.4 相关性分析

相关性分析结果(图7)表明,KH2PO4处理后温185 核桃叶片各生理指标间存在显著关联。净光合速率、叶绿素含量与各指标的相关性一致,分别与总糖含量、蒸腾速率、气孔导度呈极显著正相关,与胞间CO2浓度呈极显著负相关。气孔导度与叶绿素含量呈极显著正相关;栅海比与栅栏组织厚度呈极显著正相关;胞间CO2浓度与叶绿素含量呈极显著负相关。这些结果表明KH2PO4处理通过协调气孔行为、光合器官发育和糖代谢等过程,显著提升了叶片生理功能。

图7 各项指标的相关性
Fig. 7 Relevance of the indicators

2.5 对翌年结果枝抽干现象的影响

萌芽率是衡量植株能否安全越冬的关键因素,也是判断枝条是否出现抽干的关键指标。通过比较萌芽率发现,KH2PO4处理与CK 无显著差异。1.5%KH2PO4处理萌芽率达到最大值(72.95%);0.8%与1.2% KH2PO4 处理的萌芽率基本接近,分别为72.22%、69.08%。1.5% KH2PO4 处理抽干占比为37.37%,较CK显著降低31.92%(P<0.05)(表4)。

表4 不同KH2PO4处理翌年枝条调查情况
Table 4 Branches surveyed in the following year with different KH2PO4 treatments

处理Treatment CK 0.8%1.2%1.5%枝条抽干率Shoot drying rate/%49.31±2.35 a 43.16±1.83 ab 41.52±2.17 ab 37.37±1.57 b枝条萌芽率Shoot germination rate/%65.16±1.34 a 72.22±2.43 a 69.08±2.62 a 72.95±1.06 a

3 讨 论

3.1 叶面喷肥最佳时间的确定

通过分析温185 核桃采后生理变化特征,结合前人的研究成果[25-27],明确了叶面喷施KH2PO4的最佳时间。采收后1~2 周(9 月5—20 日),温185 核桃叶片仍保持较高光合活性,叶片的净光合速率由13.86 μmol·m-2·s-1下降至10.38 μmol·m-2·s-1。叶绿素含量处于降解初期,由3.07 mg·g-1下降至2.88 mg·g-1,此时喷肥可显著延缓生理指标的下降速率,这与控释氮肥影响葡萄光合活性[26]的结果一致。一般来说,采收后1~2 周,试验园区温度维持在15~25 ℃之间,满足叶面吸收的最适温度要求[27]。而进入10 月后气温迅速降低,昼夜温差加大,果树进入休眠期或准备进入休眠期,导致养分吸收效率下降[28]。笔者于采收后(9 月4 日)、果树休眠前(9 月25 日)进行3次喷施处理,可确保养分的持续供应和有效吸收。需要注意的是,在果树栽培管理中,通常在果实成熟期采取相应的施肥措施。如果在核桃采收前进行叶面喷肥,是否能更显著地保持光合能力,其效果需要进一步验证。

3.2 叶面肥对糖代谢的影响

果实采收后,对叶片进行喷肥处理,能够改善叶片生理特征及调控代谢过程,增强核桃树的抗逆性[29-31]。本研究结果表明,叶面喷施KH2PO4显著促进核桃叶片中葡萄糖、果糖和蔗糖的积累,这与叶面肥对骏枣果实生长发育中糖积累的影响一致[32]。这期间积累的糖类会通过韧皮部向枝条和根部运输,同时刺激植物激素的合成和调节,促进营养物质的有效分配与转移[33]。而糖类作为渗透调节物质,能够使植物在低温或干旱等逆境中维持细胞膜的稳定性,保持正常功能,在抗逆方面发挥重要作用[34]。糖的积累不仅有助于植物在不利环境中减少能量消耗,促进有机酸、氨基酸等物质的合成,增强其越冬能力[35];还为翌年花芽形成提供必要的营养物质,促进细胞分裂和花芽发育,进而影响果实数量。

3.3 叶面肥对气孔结构特征的影响

KH2PO4作为速效磷钾肥,主要通过气孔和角质层被叶片吸收,其核心作用是快速补充磷钾养分,提高植物光合作用效率、提高抗逆性或促进开花结果。笔者发现,虽然KH2PO4处理显著改善了气孔导度和开张率,但各处理组的气孔密度未呈现规律性变化。这与张欣等[36]在水稻叶面喷施锌肥后的研究结果一致,表明成熟叶片的气孔密度主要受遗传因素和植物发育阶段的影响,在正常生理状态下保持相对稳定。值得注意的是,KH2PO4可能通过影响植物生理状态间接影响气孔功能。已有研究表明,一方面,促进叶片光合作用和养分吸收能力可提升气孔开闭的响应效率[37]。另一方面,充足的磷钾供应可通过调节保卫细胞膨压,使气孔在环境胁迫下维持更合理的开度。但需注意过量喷施KH2PO4则会导致离子失衡,引发气孔功能异常。但这属于非生理性损伤范畴,而非肥料本身的直接作用。

3.4 喷施KH2PO4的局限性

核桃采收后,树体进入养分回流关键期。KH2PO4作为一种高效磷钾肥,通过叶面喷施可以快速补充磷钾养分并调节气孔开闭,促进光合产物的运输和转化[38],但其使用效果受多种因素的影响。温度是首要限制因子,在15~25 ℃温度范围内,气孔开度与肥料吸收率呈正相关[26]。温度过高会导致气孔关闭而引起肥害。因此,核桃采收后喷施KH2PO4的时间还受当年的物候影响。树势状态同样也很关键,采摘后的果树营养损耗严重,若单一补充磷钾肥会影响氮元素的吸收,进而延缓树势恢复进程[39]。尽管KH2PO4用量小、利用率高、作用发挥快,但喷施次数不宜过多。过多使用会影响果树对钙、镁等离子的吸收,不利于树体生长。值得注意的是,与根部施肥相比,叶面肥仅能在短期内补充植物所需的养分,对植物抗性的提升和整体生长的调节作用相对有限,必须结合土壤施肥才能实现营养均衡。此外,笔者选用的核桃品种在立地条件和气候环境方面具有特殊性,是否适宜在南疆地区大规模推广需进一步开展适应性评估。这些发现提示在实际应用中需综合考虑物候期、环境条件和营养配比等多重因素,制定差异化的施肥方案。

4 结 论

采收后喷施KH2PO4对温185 核桃叶片的光合能力及生理指标具有显著调节作用,能在一定时间内维持光合作用强度,促进营养物质合成,提升植株抗性。

参考文献 References:

[1] 赵向豪,杨景淳. 新疆核桃产业集群发展策略研究[J/OL]. 中国油脂,2025:1-11(2024-04-17). https://doi.org/10.19902/j.cnki.zgyz.1003-7969.240162.ZHAO Xianghao,YANG Jingchun. Research on the development strategy of Xinjiang walnut industry cluster[J/OL]. China Oils and Fats,2025:1-11(2024-04-17). https://doi.org/10.19902/j.cnki.zgyz.1003-7969.240162.

[2] 李忠新,杨莉玲,阿布力孜·巴斯提,闫圣坤,刘奎,朱占江,杨忠强,刘佳,沈晓贺,买合木江,马文强. 新疆核桃产业化发展研究[J]. 新疆农业科学,2014,51(5):973-980.LI Zhongxin,YANG Liling,Basti · Abulizi,YAN Shengkun,LIU Kui,ZHU Zhanjiang,YANG Zhongqiang,LIU Jia,SHEN Xiaohe,MAI Hemujiang,MA Wenqiang. The development of walnut mechanization of production equipment in Xinjiang[J].Xinjiang Agricultural Sciences,2014,51(5):973-980.

[3] WANG L,YANG Y M,ZHANG S Y,CHE Z J,YUAN W J,YU D Y. GWAS reveals two novel loci for photosynthesis-related traits in soybean[J]. Molecular Genetics and Genomics,2020,295(3):705-716.

[4] 曾成城,苏天明,苏利荣,秦芳,何铁光,俞月凤,李琴. 减量化肥配施叶面肥对山核桃产量及品质的影响[J]. 中国土壤与肥料,2022(6):108-114.ZENG Chengcheng,SU Tianming,SU Lirong,QIN Fang,HE Tieguang,YU Yuefeng,LI Qin. Effects of reducing chemical fertilizer combined with foliar fertilization on the yield and quality of Carya cathayensis[J]. Soil and Fertilizer Sciences in China,2022(6):108-114.

[5] ROQUE J,CARVALHO A,RODRIGUES M Â,CORREIA C M,LIMA-BRITO J. Assessing the effect of plant biostimulants and nutrient-rich foliar sprays on walnut nucleolar activity and protein content (Juglans regia L.)[J]. Horticulturae,2024,10(4):314.

[6] LIU J P,DENG Q J,SHANG Y J,YAO X W,WANG H K,TANG Y J,PENG F R,TAN P P. Effects of zinc application on the growth and photosynthetic characteristics of pecan at the seedling stage[J]. Plant Biology,2021,23(6):1149-1156.

[7] LIU J P,CHEN W J,WANG H K,PENG F R,CHEN M Y,LIU S,CHU G L. Effects of NPK fertilization on photosynthetic characteristics and nutrients of pecan at the seedling stage[J].Journal of Soil Science and Plant Nutrition,2021,21(3):2425-2435.

[8] 董梦宇,王金鑫,吴萌,周子瑶,程顺,李彦慧. 两种香花芥属植物叶片结构及光合特性研究[J]. 草业学报,2022,31(7):172-184.DONG Mengyu,WANG Jinxin,WU Meng,ZHOU Ziyao,CHENG Shun,LI Yanhui. Leaf structure and photosynthetic characteristics of two species of Hesperis[J]. Acta Prataculturae Sinica,2022,31(7):172-184.

[9] 唐佳莉,姬新颖,郑旭,李敖,张俊佩. 盐胁迫下东部黑核桃生理生化与营养器官结构的动态响应[J]. 果树学报,2024,41(2):294-313.TANG Jiali,JI Xinying,ZHENG Xu,LI Ao,ZHANG Junpei.Dynamic responses of physiology,biochemistry and structure of vegetative organs of Juglans nigra to salt stress[J]. Journal of Fruit Science,2024,41(2):294-313.

[10] 赵银平,赵增寿,孙利萍,高敏丽,史亮. 叶面肥对设施番茄产量、品质及经济效益的影响[J]. 中国瓜菜,2022,35(1):60-64.ZHAO Yinping,ZHAO Zengshou,SUN Liping,GAO Minli,SHI Liang. Effects of foliar fertilizer on yield,quality and economic benefit of greenhouse tomato[J]. China Cucurbits and Vegetables,2022,35(1):60-64.

[11] 洪自强,张正珍,苏明,周甜,李翻过,谭晓敏,吴宏亮,康建宏.钾肥施用量对春玉米光合效应的影响[J]. 中国农业气象,2025,46(3):384-397.HONG Ziqiang,ZHANG Zhengzhen,SU Ming,ZHOU Tian,LI Fanguo,TAN Xiaomin,WU Hongliang,KANG Jianhong. Effect of potassium fertilizer application on photosynthetic effect of spring maize[J]. Chinese Journal of Agrometeorology,2025,46(3):384-397.

[12] WANG J,LU Y H,ZHANG X M,HU W J,LIN L J,DENG Q X,XIA H,LIANG D,LV X L. Effects of potassium-containing fertilizers on sugar and organic acid metabolism in grape fruits[J]. International Journal of Molecular Sciences,2024,25(5):2828.

[13] 吴翠云,李天红,徐崇志,王振磊,王合理. 叶面喷施KH2PO4对密植幼龄‘骏枣’光合特性日变化的影响[J]. 中国农学通报,2013,29(25):112-119.WU Cuiyun,LI Tianhong,XU Chongzhi,WANG Zhenlei,WANG Heli. Effects of foliage applications of KH2PO4 on diurnal variation of photosynthetic characteristics of young jujube trees in close planting orchard[J]. Chinese Agricultural Science Bulletin,2013,29(25):112-119.

[14] 冯英,赵悦竹,戚晶,柯好,谷勋刚. 氮、磷、钾优化配比在薄壳山核桃果实及叶片中分配效应研究[J]. 安徽农业大学学报,2023,50(5):798-801.FENG Ying,ZHAO Yuezhu,QI Jing,KE Hao,GU Xungang.Studies of nitrogen,phosphorus and potassium optimum mixture ratios on distributional effects in Carya illinoinensis fruits and leaves[J]. Journal of Anhui Agricultural University,2023,50(5):798-801.

[15] 陈公勤,李同茂,张树军,李瑞芳,蔡玉芝,刘稥芝. 早熟梨翠玉、翠冠早期丰产省力化栽培技术[J]. 果农之友,2019(9):18-19.CHEN Gongqin,LI Tongmao,ZHANG Shujun,LI Ruifang,CAI Yuzhi,LIU Xiangzhi. Cultivation technology of early maturity pear Cuiyu and Cuiguan for early yield and labor-saving[J].Fruit Growers’ Friend,2019(9):18-19.

[16] 廖晓军. 新疆莎车巴旦木丰产栽培技术[J]. 果树实用技术与信息,2015(11):7-8.LIAO Xiaojun. Cultivation technology for high yield of Shache Badam in Xinjiang[J]. Fruit tree practical technology and information,2015(11):7-8.

[17] 冯军仁,钱万建,郭爱,孙晋明. 珍珠油杏在甘肃张掖的引种表现与高效栽培技术[J]. 中国果树,2015(3):61-63.FENG Junren,QIAN Wanjian,GUO Ai,SUN Jinming. Introduction performance and efficient cultivation technology of pearl oil apricot in Zhangye,Gansu[J]. China Fruits,2015(3):61-63.

[18] 魏欣荣,何辉,徐春宏. 葡萄秋季管理关键技术[J]. 果农之友,2023(7):29-31.WEI Xinrong,HE Hui,XU Chunhong. The key technology of grape autumn management[J]. Fruit Growers’ Friend,2023(7):29-31.

[19] 王超,张宗翊,赵宝龙,孙军利,托力哈纳依·努尔兰,刘欣宇.不同叶面肥对温室番茄生长和果实品质的影响[J]. 中国瓜菜,2024,37(12):126-132.WANG Chao,ZHANG Zongyi,ZHAO Baolong,SUN Junli,Nuerlan·Tolihanayi,LIU Xinyu. Effects of different foliar fertilizers on the growth and fruit quality of greenhouse tomato[J]. China Cucurbits and Vegetables,2024,37(12):126-132.

[20] 陈鑫悦,姚晓琴,王宝庆,陈虹. 砾石戈壁区核桃园土壤理化性质及其对核桃产质量的影响[J]. 贵州农业科学,2025,53(2):73-82.CHEN Xinyue,YAO Xiaoqin,WANG Baoqing,CHEN Hong.Soil physical and chemical properties of walnut orchards in gravel Gobi area and its effects on walnut yield and quality[J].Guizhou Agricultural Sciences,2025,53(2):73-82.

[21] 闫喆林,任强,樊志龙,殷文,孙亚丽,范虹,何蔚,胡发龙,闫丽娟,柴强. 氮肥后移优化绿洲灌区小麦间作玉米种间关系提高氮素利用效率[J/OL]. 作物学报,2025:1-16(2025-05-13).https://link.cnki.net/urlid/11.1809.S.20250512.1719.013.YAN Zhelin,REN Qiang,FAN Zhilong,YIN Wen,SUN Yali,FAN Hong,HE Wei,HU Falong,YAN Lijuan,CHAI Qiang.Postponed N application optimizes interspecific interactions and enhances N use efficiency in wheat-maize intercropping systems in an oasis irrigation region[J/OL]. Acta Agronomica Sinica,2025:1- 16(2025- 05- 13). https://link.cnki.net/urlid/11.1809.S.20250512.1719.013.

[22] 李得孝,侯万伟,员海燕. 玉米叶片叶绿素快速浸提方法研究[J]. 西北农林科技大学学报(自然科学版),2006,34(11):65-67.LI Dexiao,HOU Wanwei,YUN Haiyan. Fast-soaking methods of chlorophyll from maize leaf[J]. Journal of Northwest Sci-Tech University of Agriculture and Forestry (Natural Science Edition),2006,34(11):65-67.

[23] 马绍鋆,俞飞飞,葛治欢,贾利,董言香,王明霞. 叶面喷施二氢卟吩铁对‘铜陵白姜’品质和产量的影响[J]. 植物生理学报,2024,60(4):635-642.MA Shaojun,YU Feifei,GE Zhihuan,JIA Li,DONG Yanxiang,WANG Mingxia. The effect of foliar spraying of iron chlorine e6 on the quality and yield of Zingiber officinale ‘Tongling White Ginger’[J]. Plant Physiology Journal,2024,60(4):635-642.

[24] 雷跃,林迓,高爱平,刘凡值,刘清国,张正学. 14 份芒果种质资源叶片解剖结构特征及抗旱性综合评价[J/OL]. 西南农业学报,2025:1-11(2025-02-11). https://kns.cnki.net/kcms/detail/51.1213.S.20250211.1500.018.html.LEI Yue,LIN Ya,GAO Aiping,LIU Fanzhi,LIU Qingguo,ZHANG Zhengxue. Leaf anatomical structure characteristics and drought resistance comprehensive evaluation of 14 mango germplasm resources[J]. Southwest China Journal of Agricultural Sciences,2025:1-11(2025-02-11). https://kns.cnki.net/kcms/detail/51.1213.S.20250211.1500.018.html.

[25] 王中华,李晓刚,杨青松,李慧,阚家亮,王金星,王宏,蔺经,盛宝龙,常有宏. 叶面喷施褐藻寡糖磷钾肥对早熟砂梨叶片与果实性状的影响[J]. 江苏农业学报,2023,39(2):498-503.WANG Zhonghua,LI Xiaogang,YANG Qingsong,LI Hui,KAN Jialiang,WANG Jinxing,WANG Hong,LIN Jing,SHENG Baolong,CHANG Youhong. Effects of foliar application of alginate oligosaccharides phosphorus and potassium fertilizers on leaf and fruit characters of early-maturing sand pears[J].Jiangsu Journal of Agricultural Sciences,2023,39(2):498-503.

[26] 胡文峰. 控释氮肥减量对葡萄产量品质及氮肥利用率的影响研究[D]. 长沙:湖南农业大学,2022.HU Wenfeng. Effects of controlled release nitrogen fertilizer on grape yield,quality and nitrogen use efficiency[D]. Changsha:Hunan Agricultural University,2022.

[27] 张经芳,张振云. 叶面喷肥技术要点[J]. 安徽农业,2003(6):27.ZHANG Jingfang,ZHANG Zhenyun. Technical points of foliar spraying[J]. Anhui Agriculture,2003(6):27.

[28] 马艳萍. 鲜食核桃采后生理及辐照效应研究[D]. 杨凌:西北农林科技大学,2010.MA Yanping. Studies on post-harvest physiology and irradiation effect of fresh walnut[D]. Yangling:Northwest A & F University,2010.

[29] ICHSAN C N,ANDANI R,BASYAH B,ZAKARIA S,EFENDI E. The relationship between relative water content of leaves,soluble sugars,accumulation of dry matter,and yield components of rice (Oryza sativa L.) under water-stress condition during the generative stage[J]. International Journal on Advanced Science,Engineering and Information Technology,2022,12(3):899.

[30] JIANG P P,MEINZER F C,FU X L,KOU L,DAI X Q,WANG H M. Trade-offs between xylem water and carbohydrate storage among 24 coexisting subtropical understory shrub species spanning a spectrum of isohydry[J]. Tree Physiology,2021,41(3):403-415.

[31] 杨兴旺,王志强,段晨磊,王莹莹,薛桂红,庞灵枝,时梦,冀晓昊,张德燕,王孝娣,王海波. 两种叶面肥对金黄金桃果实品质和挥发性风味物质影响的初探[J/OL]. 果树学报,2025:1-14. (2025- 03- 24). https://link.cnki.net/doi/10.13925/j.cnki.gsxb.20240605.YANG Xingwang,WANG Zhiqiang,DUAN Chenlei,WANG Yingying,XUE Guihong,PANG Lingzhi,SHI Meng,JI Xiaohao,ZHANG Deyan,WANG Xiaodi,WANG Haibo. Preliminary study on the effects of two foliar fertilizers spraying on fruit quality and volatile flavor compounds of Jinhuang Jin peach[J/OL]. Journal of Fruit Science,2025:1-14. (2025-03-24). https://link.cnki.net/doi/10.13925/j.cnki.gsxb.20240605.

[32] 孙盼盼,李建贵,王娜. 叶面肥和赤霉素对骏枣果实生长发育中糖积累的影响[J]. 西北农业学报,2011,20(12):98-102.SUN Panpan,LI Jiangui,WANG Na. Effect of foliar fertilizers and GA3 on sugar accumulation in fruit of Junzao jujube during its growth and development[J]. Acta Agriculturae Boreali-Occidentalis Sinica,2011,20(12):98-102.

[33] 陈俊伟,张上隆,张良诚. 果实中糖的运输、代谢与积累及其调控[J]. 植物生理与分子生物学学报,2004,30(1):1-10.CHEN Junwei,ZHANG Shanglong,ZHANG Liangcheng. Sugar transport,metabolism,accumulation and their regulation in fruits[J]. Acta Photophysiologica Sinica,2004,30(1):1-10.

[34] 谢金兰,李长宁,李毅杰,梁强,刘晓燕,罗霆,林丽,梁阗,何为中,谭宏伟. 钾肥施用量对甘蔗产量、糖分积累及其抗逆性的效应研究[J]. 中国土壤与肥料,2019(2):133-138.XIE Jinlan,LI Changning,LI Yijie,LIANG Qiang,LIU Xiaoyan,LUO Ting,LIN Li,LIANG Tian,HE Weizhong,TAN Hongwei.Effects of potassium fertilizer application amount on sugarcane yield,sugar accumulation and stress resistance[J]. Soil and Fertilizer Sciences in China,2019(2):133-138.

[35] 刘竞择,曹柠,张艳霞,陈祖民,史晓敏,王振平. 葡萄砧木冬季抗抽干能力及抗旱性综合评价[J]. 果树学报,2020,37(3):339-349.LIU Jingze,CAO Ning,ZHANG Yanxia,CHEN Zumin,SHI Xiaomin,WANG Zhenping. Comprehensive evaluation on resistance of different grape rootstocks to vine dehydration and drought stress during overwintering[J]. Journal of Fruit Science,2020,37(3):339-349.

[36] 张欣,户少武,章燕柳,牛玺朝,邵在胜,杨阳,童楷程,王云霞,杨连新. 叶面施锌对不同水稻品种稻米锌营养的影响及其机理[J]. 农业环境科学学报,2019,38(7):1450-1458.ZHANG Xin,HU Shaowu,ZHANG Yanliu,NIU Xichao,SHAO Zaisheng,YANG Yang,TONG Kaicheng,WANG Yunxia,YANG Lianxin. Effect of foliar zinc application on zinc nutrient levels of different rice cultivars[J]. Journal of Agro-Environment Science,2019,38(7):1450-1458.

[37] 李君,徐巾喻,石松林,王牌,邓杰,陈万鹏,杨宇. 气候变化对濒危植物长叶云杉径向生长的影响[J/OL]. 生态学报,2025:1-14(2025-05-19). DOI:10.20103/i.stxb.202501210178.LI Jun,XU Jinyu,SHI Songlin,WANG Pai,DENG Jie,CHEN Wanpeng,YANG Yu. The impact of climate change on the radial growth of the endangered plant Picea smithiana[J/OL]. Acta Ecologica Sinica,2025:1-14(2025-05-19). DOI:10.20103/i.stxb.202501210178.

[38] 吕晓飞,王宏富,邢静熠,王振华,张蕙琪,王彦雯. 叶面喷施尿素、磷酸二氢钾和6-BA 对谷子光合特性及产量构成的影响[J].西北农业学报,2017,26(1):38-47.LÜ Xiaofei,WANG Hongfu,XING Jingyi,WANG Zhenhua,ZHANG Huiqi,WANG Yanwen. Effect of foliar application of urea and potassium dihydrogen phosphate and 6-BA on photosynthetic characteristics and yield of foxtail millet[J]. Acta Agriculturae Boreali-occidentalis Sinica,2017,26(1):38-47.

[39] 黄玉芳,张辉,张立花,张红燕,张雯雯,赵亚南,叶优良. 施磷量对高磷土壤小麦磷素吸收和土壤磷平衡的影响[J]. 麦类作物学报,2022,42(2):211-219.HUANG Yufang,ZHANG Hui,ZHANG Lihua,ZHANG Hongyan,ZHANG Wenwen,ZHAO Yanan,YE Youliang. Effects of phosphorus (P) fertilizer rates on wheat P uptake and soil P balance in high-P soil[J]. Journal of Triticeae Crops,2022,42(2):211-219.

Effect of post-harvest foliar fertilizer sprays on the photosynthetic capaci‐ty of walnut

YAO Xiaoqin1,2, WANG Baoqing2,3*
(1College of Forestry and Landscape Architecture, Xinjiang Agricultural University, Urumqi 830052, Xinjiang, China; 2Xinjiang Aksu Forest Ecosystem Positioning Observation and Research Station, Aksu 843000, Xinjiang, China; 3Economic Forestry Research Institute,Xinjiang Uygur Autonomous Region Forestry Academy of Sciences, Urumqi 830092, Xinjiang, China)

Abstract:【Objective】 The study aimed to reduce the high branch drying rate and increase the continuous fruiting capacity of Wen 185 walnuts (Juglans regia L.) in Xinjiang through foliar surface spray of potassium dihydrogen phosphate (KH2PO4). 【Methods】 Based on field experiments and laboratory measurements, four foliar application concentration gradients were set:water (CK), 0.8% KH2PO4, 1.2%KH2PO4, and 1.5% KH2PO4. The spray was carried out three times after harvest with 10 days interval.The photosynthetic physiological parameters, leaf anatomical structure, and sugar metabolite content of Wen 185 walnut leaves after harvest were determined. 【Results】 The spray of KH2PO4 effectively increased photosynthetic parameters, sugar content, and improved leaf structure of Wen 185 walnut, and 1.5% KH2PO4 treatment had the most significant and optimal effect. On September 25, the 1.5%KH2PO4 treatment increased the net photosynthetic rate by 28.83% compared with the control. The trend of leaf stomatal conductance was basically consistent with that of net photosynthetic rate. At the late stage of fertilizer spraying, the stomatal conductance of the 1.5% KH2PO4 treatment group was 27.29% higher than that of the control. The transpiration rate of the 1.5% KH2PO4 treatment increased by 27.39% compared with the control. A total of 12 short-chain sugars were detected in walnut leaves,dominated by sucrose. The levels of sucrose, glucose and fructose peaked after fertilizer spraying and were significantly different from those of the other groups. The sucrose content in the leaves increased by 10.61%, glucose content by 13.23% and fructose content by a significant 35.63% after fertilizer spraying compared with the control. The increase of the total sugar content of 1.5% KH2PO4 treatment was the most significant (P<0.05), with an increase of 13.50% compared with the control; the difference of the chlorophyll content of the 1.5% KH2PO4 treatment group and the control at the late stage of fertilizer spraying reached the maximum value. The spray of KH2PO4 significantly affected the stomata of Wen 185 walnut leaves. The effect of the 1.5% KH2PO4 treatment was most significant. The stomatal opening rate of the 1.5% KH2PO4 treatment increased by 18.41% compared with the control, whereas there was no significant difference between the stomatal opening rate of 0.8% and 1.2% treatment groups and the control. The thickness of upper and lower epidermal cells under the three concentration treatments was lower than that of the control during the fertilizer spraying period. After fertilizer spraying, the thickness of upper and lower epidermal cells decreased in all treatment groups, except for the 1.5% KH2PO4 treatment, which showed an increase in the thickness of upper and lower epidermal cells.The most significant increase in the thickness of fenestrated tissue was observed in the 1.5% KH2PO4 treatment during the fertilizer spraying period. The fenestrated tissue thickness increased in 1.2%KH2PO4 and 1.5% KH2PO4 treatments after fertilizer spraying, with 1.5% KH2PO4 treatment showing the most significant effect, increasing by 22.98% compared with the control. The fenestrated sea ratio(the ratio of fenestrated tissue thickness to spongy tissue thickness) of the 1.5% KH2PO4 treatment during the fertilizer spraying period was significantly different from that of the control, whereas none of the other treatment groups were significantly different from that of the control. After fertilizer spraying,the fenestrated sea ratio of 1.5% KH2PO4 treatment showed an increasing trend. The leaf thickness was significantly increased in 1.5% KH2PO4 treatments during the fertilizer spraying period, with the most significant effect in 1.5% KH2PO4 treatments, increasing by 20.73% compared with that of the control.The leaf pulp cell density showed significant enhancement in 1.5% KH2PO4 treatment both at mid- and post-fertilization sprays, with an increase of 13.08% compared with that of the control. Significant correlations exist among various physiological indicators in walnut leaves following KH2PO4 treatment.The net photosynthetic rate (Pn) and chlorophyll content showed consistent correlation patterns with other indicators. Specifically, they exhibited extremely significant positive correlations with total sugar content, transpiration rate (Tᵣ), and stomatal conductance (Gs), while displaying an extremely significant negative correlation with intercellular CO2 concentration (Cᵢ). Additionally, the palisade-spongy ratio was extremely significantly and positively correlated with palisade tissue thickness. The moisture content of the 1.5% KH2PO4 treatment group was 31.35%, which was 31.92% lower than that of the control group (CK) (P<0.05). The germination rate of walnut buds treated with 1.5% KH2PO4 reached the maximum value of 72.95%, the 0.8% and 1.2% KH2PO4 treatments were basically similar, being 72.22%and 69.08%, respectively. The shoot drying rate of the 1.5% KH2PO4 treatment was 37.37%, which was significantly lower than that of the control group (CK) by 31.92% (P<0.05). 【Conclusion】 Spraying KH2PO4 1-2 weeks after harvest had a significant promoting effect on photosynthetic and physiological indexes of Wen 185 walnut leaves, which could enhance the resistance of walnut trees to winter cold.

Key words:Walnut (Juglans regia L.); Potassium dihydrogen phosphate; Foliar spray; Photosynthetic parameters; Sugar contents

中图分类号:S664.1

文献标志码:A

文章编号:1009-9980(2026)01-0097-13

DOI:10.13925/j.cnki.gsxb.20250211

收稿日期:2025-04-18

接受日期:2025-06-23

基金项目:新疆维吾尔自治区现代农业产业技术体系项目(XJLGCYJSTX01-2025-02)

作者简介:姚晓琴,女,在读硕士研究生,研究方向为森林培育技术与应用。E-mail:1959673573@qq.com

*通信作者 Author for correspondence. E-mail:309114577@qq.com