不同采收期中科绿猕1号和中科绿猕2号果实品质的差异分析

张芙蓉1,夏 敏1,杨艳群1,尹宏亮2,刘娟娟1,韩 飞3,王 静1,王顺富1*,全 勇1*

1云南省昭通市苹果产业发展中心,云南昭通 657000; 2云南省昭通市土壤肥料工作站,云南昭通 657000; 3中国科学院武汉植物园,武汉 430000)

摘 要:【目的】确定中科绿猕1号和中科绿猕2号猕猴桃果实的适宜采收期及品种间的品质差异,为生产上适时采收提供技术参考。【方法】以中科绿猕1 号、中科绿猕2 号为试验材料,在果实生长发育的5 个时期测定果实品质指标、软腐病发病率等,开展感官评价,通过主成分分析选择得分最高的一个采收期测定其挥发代谢物,进一步分析两个品种间香气物质的差异。【结果】两个品种随采收期变化果实纵径、横径和侧径存在不同程度的变化,但果形指数始终无显著差异,果形表现稳定,软熟时果实硬度呈先增大后减小的变化趋势;可溶性固形物、可溶性糖、抗坏血酸、可滴定酸含量随采收期变化呈现不同的规律;中科绿猕2号感官评价得分整体高于中科绿猕1号,但软腐病发病率整体偏高;共检测到1314种代谢物,其中有效香气物质中科绿猕1号有152种,中科绿猕2 号有136种,中科绿猕1 号总相对气味活度值、总代谢物含量高于中科绿猕2 号。【结论】中科绿猕1 号的最佳采收期是采收期Ⅲ(花后166 d),中科绿猕2 号的最佳采收期是采收期Ⅳ(花后174 d),中科绿猕2 号有效香气种类和含量少于中科绿猕1 号,但可溶性固形物、可溶性糖含量整体高于中科绿猕1号,更受消费者喜欢。

关键词:猕猴桃;采收期;果实品质;感官评价;香气

猕猴桃是多年生的落叶藤本植物,果实具有独特的风味,富含维生素C、膳食纤维和多种矿物营养,受到人们的广泛关注和喜爱[1]。猕猴桃的果实属于呼吸跃变型,其采前生理成熟度与采后果实的贮藏特性、感官品质、营养品质等密切相关,但采收时仅凭大小、形状和色泽等外观状态难以准确判断其品质[2]。不同的气候环境、品种均会影响猕猴桃适宜的采收期。在猕猴桃种植过程中,早采和晚采均会造成不良影响,采收过早,产量下降,营养物质累积不足,品质降低;采收过晚,不耐贮藏,影响运输与销售[3]。因此适时采收是保证猕猴桃品质的关键。

笔者选用的中科绿猕1 号和中科绿猕2 号是由中国科学院武汉植物园选育的绿肉猕猴桃,其性状表现稳定一致,树势强壮、丰产性好、果形均匀。目前关于不同采收期对金奉[4]、金艳[5]、徐香[6]、红阳[7]、贵长[8-9]、翠香[10]等猕猴桃果实品质的影响已有广泛报道。但采收时期对中科绿猕1号、中科绿猕2号猕猴桃采后品质的影响尚未有研究。笔者对不同采收期的中科绿猕1 号和中科绿猕2 号猕猴桃果实品质进行研究,确定其适宜采收期,以期为猕猴桃科学合理采收提供理论依据。

1 材料和方法

1.1 材料

供试材料为中科绿猕1 号和中科绿猕2 号。根据果实可溶性固形物含量,试验设5个采收期,每间隔8 d采一次果,分别于花后150、158、166、174、182 d(依次命名为采收期Ⅰ、Ⅱ、Ⅲ、Ⅳ和Ⅴ)采摘。样品采自云南省永善县细沙乡3 年生猕猴桃果园(103°98′ E,28°40′ N),行株距为3 m×2.5 m,常规田间管理。每次采样选择树势健康的植株,随机采集果形正常、无病虫害的外围果实180 个,用聚乙烯保鲜袋封装带回实验室进行品质测定,3次重复。

1.2 果实外在品质测定

随机选取10 个果实,使用千分之一电子天平测量其单果质量;使用游标卡尺测量果实横径、纵径和侧径,计算出果形指数;采用GY-1 水果硬度计测量果实采收时和软熟后硬度。

1.3 果实内在品质测定

采用手持数显糖度计测定采收时和软熟后可溶性固形物含量;采用蒽酮比色法测定可溶性总糖含量;采用钼蓝比色法测定抗坏血酸含量;采用NaOH滴定法测定有机酸含量;取猕猴桃果实于赤道位置切片,获取约3 mm的带皮果实,放置于60 ℃恒温干燥箱中干燥至恒质量,干质量与鲜质量的比值为干物质含量[11]

1.4 果实感官评价

邀请40 人次分组品鉴猕猴桃果实,填写食用品质感官评价表,分别对喜爱度、芳香浓烈程度、甜度、酸度、质地软硬度、果汁丰富度、怪味、可接受度8 个指标进行打分,采用5 分制,将各指标打分取均值作为统计结果。

1.5 果实软腐病发病率统计

每个处理分别随机采集40 个果实,常温贮藏,待所有果实软化后调查每个处理的果实软腐病发病率并记录。

1.6 果实挥发性代谢物测定

对已测定的品质指标通过主成分分析综合评价,选择品质最佳的一个采收期测定果实挥发代谢物。对样品进行液氮研磨,涡旋混合均匀,每个样本称取500 mg 于顶空瓶中;分别加入饱和NaCl 溶液、20 µL(10 µg·mL-1)内标溶液;采用顶空固相微萃取HS-SPME 进行样本萃取,在60 ℃恒温条件下,振荡5 min,120 µm DVB/CWR/PDMS萃取头插入样品顶空瓶,顶空萃取15 min,于250 ℃下解析5 min,然后进行GC-MS分离鉴定。采样前萃取头在Fiber Conditioning Station 中250 ℃下老化5 min。色谱条件:DB-5MS 毛细管柱(30 m×0.25 mm×0.25 µm,Agilent J&W Scientific,Folsom,CA,USA),载气为高纯氦气(纯度不小于99.999%),恒流流速1.2 mL·min-1,进样口温度250 ℃,不分流进样,溶剂延迟3.5 min。程序升温:40 ℃保持3.5 min,以10 ℃·min-1 升至100 ℃,再以7 ℃·min-1升至180 ℃,最后以25 ℃·min-1升至280 ℃,保持5 min。质谱条件:电子轰击离子源(EI),离子源温度230 ℃,四级杆温度150 ℃,质谱接口温度280 ℃,电子能量70 eV,扫描方式为选择离子检测模式(SIM),定性定量离子精准扫描(GB 23200.8—2016)。利用NISTMS 库检索和RI比较,进行定性分析;利用峰面积归一化法算出各挥发性物质的含量[12]

1.7 数据处理

利用Excel2020、Origin2023 进行数据处理、图表绘制,采用SPSS20.0 进行相关性分析、主成分分析和差异显著性分析(Duncan法P<0.05)。

2 结果与分析

2.1 不同采收期对果实外在品质的影响

如表1所示,中科绿猕1号在采收期Ⅲ的单果质量最小,显著低于其他处理,剩余处理间则无显著差异;在采收期Ⅱ时纵径最大,且显著高于其他处理,采收期Ⅴ纵径最小,较采收期Ⅱ显著降低17.43%;在采收期Ⅰ时横径最大,较采收期Ⅲ显著增大13.76%,与其他采收期则无显著差异;在采收期Ⅰ时侧径最大,显著大于其他处理,且呈现逐渐递减趋势;果形指数在不同处理间无显著差异;采收时各处理间硬度无显著差异;软熟后采收期Ⅱ硬度最大,较采收期Ⅴ显著增大111.76%,与其他处理则无显著差异。

表1 不同采收期对猕猴桃果实外在品质的影响
Table 1 Effects of different harvesting periods on the external quality of kiwifruitt

注:不同小写字母表示处理在0.05 水平差异显著。
Note:Different small letters indicate significant difference among different treatments at 0.05 level.

品种Varieties中科绿猕1号Zhongkelümi No. 1采收期Picking period中科绿猕2号Zhongkelümi No. 2ⅠⅡⅢⅣⅤⅠⅡⅢⅣⅤ单果质量Mass per fruit/g 90.73±9.05 a 100.83±4.38 a 84.50±3.33 b 95.63±5.46 a 105.83±7.06 a 84.77±2.90 ab 87.10±2.56 ab 81.00±1.83 b 90.10±1.37 a 85.17±2.14 ab纵径Longitudinal diameter/mm 74.61±0.95 b 80.00±1.43 a 70.42±1.49 b 71.23±1.29 b 66.06±1.44 c 66.99±1.59 b 73.65±2.56 a 61.73±2.54 b 65.48±0.90 b 67.19±1.27 b横径Transverse diameter/mm 54.00±0.50 a 50.77±0.38 ab 47.47±3.85 bc 48.82±1.64 abc 43.53±0.42 a 42.70±1.45 a 47.19±1.52 a 41.76±1.24 a 46.90±2.96 a 45.26±1.70 a侧径Lateral diameter/mm 51.29±0.30 a 47.04±0.28 b 47.03±0.86 b 44.60±1.47 b 39.93±0.59 c 42.09±1.34 a 45.13±1.53 a 39.61±0.96 a 45.18±2.42 a 40.97±1.86 a果形指数Fruit shape index 1.38±0.03 a 1.58±0.04 a 1.50±0.10 a 1.46±0.07 a 1.52±0.05 a 1.57±0.03 a 1.56±0.01 a 1.48±0.03 a 1.41±0.10 a 1.49±0.03 a采收时硬度Hardness at harvest/(kg·cm-2)5.03±0.32 a 3.93±0.37 a 5.07±0.43 a 4.70±0.46 a 4.08±0.51 a 5.50±1.40 ab 6.70±0.50 a 3.43±0.70 bc 3.43±0.70 bc 2.27±0.27 c软熟时硬度Hardness at softening period/(kg·cm-2)0.27±0.02 ab 0.36±0.06 a 0.31±0.04 a 0.26±0.01 ab 0.17±0.02 b 0.36±0.06 ab 0.41±0.08 a 0.24±0.04 bc 0.21±0.02 bc 0.18±0.01 c

中科绿猕2 号在采收期Ⅳ时单果质量最大,较采收期Ⅲ显著增加11.23%,但与其他采收期无显著差异;采收期Ⅱ时纵径最大,显著高于其他处理,其他采收期之间则无显著差异;采收期Ⅱ的横径最大,但与其他采收期无显著差异:果形指数在不同处理间也无显著差异;采收期Ⅱ的硬度在采收时和软熟后均表现为最大,显著大于采收期Ⅲ、Ⅳ、Ⅴ,且呈逐渐递减趋势。

综上所述,采收期不同对中科绿猕1 号、中科绿猕2 号的单果质量、纵径、横径、侧径均会有不同程度的影响,但果形指数均无显著差异,果形表现稳定。中科绿猕1 号果实硬度在采收时几乎不受采收期变化的影响,软熟后在采收期Ⅴ时才呈现显著降低;中科绿猕2 号果实硬度受采收期变化的影响明显,且采摘时和软熟后硬度变化规律相同,均呈先增后减的变化趋势,在采收期Ⅱ时达到最大值。

2.2 不同采收期对果实内在品质的影响

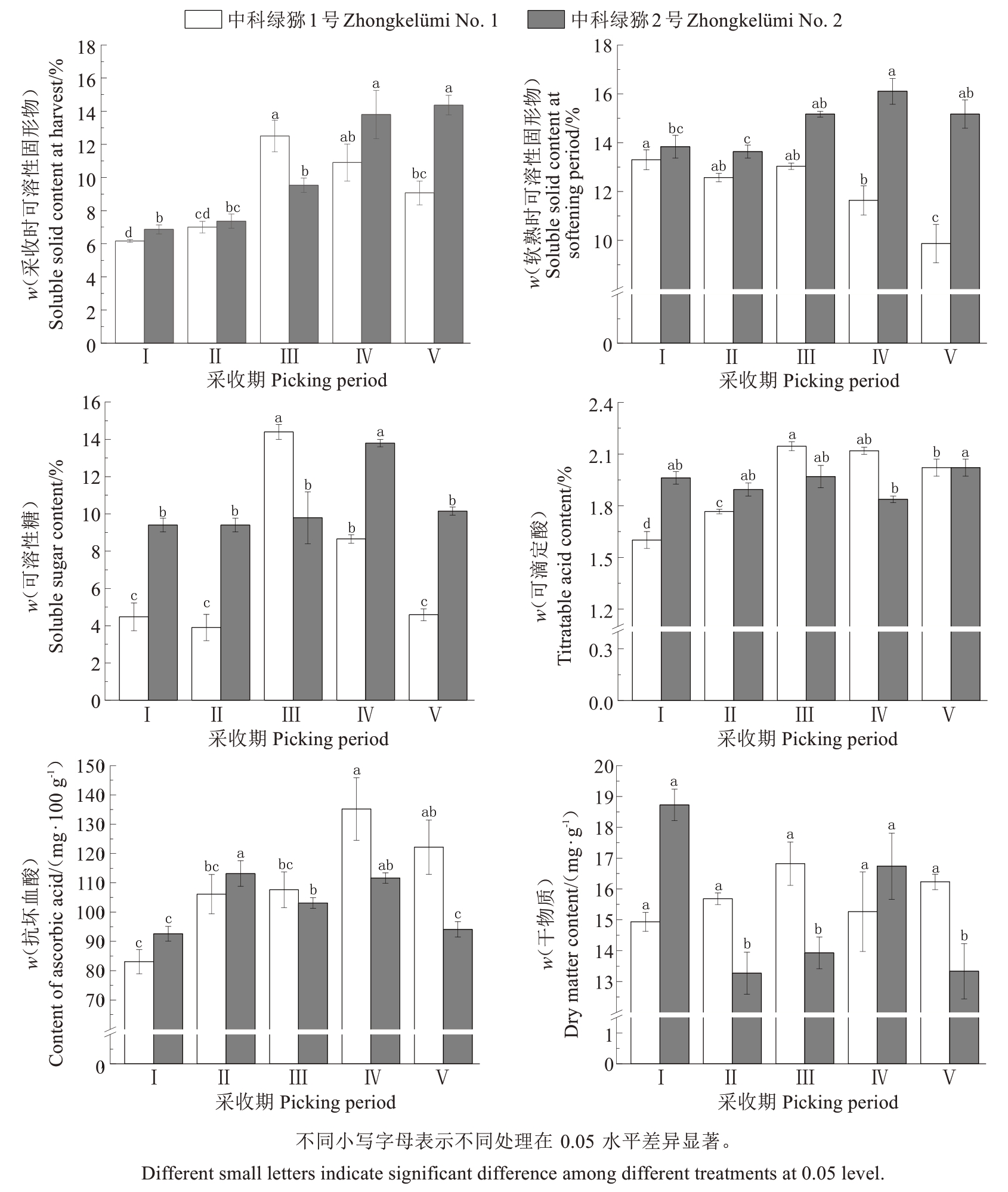
如图1所示,中科绿猕1号刚采摘时可溶性固形物含量(w,后同)在采收期Ⅲ时最高,达12.5%,与采收期Ⅰ相比显著增加102.7%;软熟后则在采收期Ⅰ时含量最高,达13.3%,但与采收期Ⅱ、Ⅲ间无显著差异,与采收期Ⅳ、Ⅴ相比显著提高14.33%、34.80%;在采收期Ⅲ时可溶性糖含量最高,为14.4%,且显著高于其他处理;在采收期Ⅲ时可滴定酸含量最高,为2.15%,与采收期Ⅳ无显著差异,但显著高于其他处理;在采收期Ⅳ时抗坏血酸含量最高,为135.17 mg·100 g-1,与采收期Ⅴ相比无显著差异,较采收期Ⅰ显著提高62.69%;在采收期Ⅲ时干物质含量最高,为16.82%,但各采收期之间无显著差异。

图1 不同采收期对猕猴桃果实内在品质的影响
Fig. 1 Effects of different harvesting periods on the internal quality of kiwifruit

中科绿猕2 号刚采摘时处于采收期Ⅴ时可溶性固形物含量最高,达14.37%,与采收期Ⅳ无显著差异,较采收期Ⅰ、Ⅱ、Ⅲ分别显著提高109.22%、95.02%、50.7%;软熟后则在采收期Ⅳ时含量最高,达16.10%,与采收期Ⅲ、Ⅴ无显著差异;在采收期Ⅳ时可溶性糖含量最高,为13.79%,且显著高于其他采收期,其他采收期之间无显著差异;在采收期Ⅴ时可滴定酸含量最高,为2.02%,显著高于采收期Ⅳ,与其他采收期则无显著差异;在采收期Ⅱ时抗坏血酸含量最高,为113.13 mg·100 g-1,显著高于采收期Ⅰ、Ⅲ、Ⅴ;在采收期Ⅰ时干物质含量最高,为18.72%,与采收期Ⅳ无显著差异,但显著高于其他处理。

综上所述,中科绿猕2 号果实的可溶性固形物、可溶性糖含量整体高于中科绿猕1号;中科绿猕2号的抗坏血酸含量在采收期Ⅰ、Ⅱ时均高于中科绿猕1 号,从采收期Ⅲ开始含量低于中科绿猕1 号,且差距逐渐增大。中科绿猕1 号在采收期Ⅲ时可溶性糖含量、可滴定酸含量、采收时可溶性固形物含量、干物质含量均达到峰值,此时期果实软熟时可溶性固形物含量与峰值也无显著差异,说明花后166 d时采摘可有效提高中科绿猕1号的果实品质。中科绿猕2 号在采收期Ⅳ软熟后的可溶性固形物、可溶性糖含量最高,说明适当延后采摘可有效提高中科绿猕2号的果实品质。

2.3 不同采收期对猕猴桃感官评价和软腐病发病率的影响

由表2 可知,中科绿猕1 号在Ⅰ~Ⅴ 5 个采收期下的感官评价得分排名分别是4、3、1、5、2,采收期Ⅲ时得分最高,为3.00分,较得分最低的采收期Ⅳ提高36.36%;软腐病发病率呈先升高后降低再升高的变化趋势,在采收期Ⅰ未见果实发病,采收期Ⅴ时发病率达6.45%。中科绿猕2号在Ⅰ~Ⅴ 5个采收期的感官评价得分排名分别是3、4、5、1、2,采收期Ⅳ时得分最高,为4.13分,采收期Ⅲ时得分最低,为2.63;软腐病发病率在采收期Ⅴ时最高,达8.70%,采收期Ⅱ、Ⅲ、Ⅳ时发病率均为5.00%。

表2 不同采收期对猕猴桃感官评价和软腐病发病率的影响
Table 2 Effects of different harvesting periods on sensory evaluation and soft rot incidence in kiwifruit

品种Variety中科绿猕1号Zhongkelümi No. 1采收期Picking period中科绿猕2号Zhongkelümi No. 2ⅠⅡⅢⅣⅤⅠⅡⅢⅣⅤ感官评价得分Sensory evaluation score 2.62 2.74 3.00 2.20 2.80 2.88 2.75 2.63 4.13 3.01软腐病发病率Soft rot incidence/%0.00 5.00 5.00 2.63 6.45 6.06 5.00 5.00 5.00 8.70

综上所述,根据感官评价得分情况,发现中科绿猕2号较中科绿猕1号整体得分更高,更受消费者喜欢,中科绿猕1号在采收期Ⅲ时感官评价最佳,中科绿猕2 号则在采收期Ⅳ时感官评价最佳,说明早采或晚采都会一定程度上影响果实口感。中科绿猕2号的软腐病发病率也明显高于中科绿猕1 号,中科绿猕1 号在采收期Ⅰ时并未见发病情况,但中科绿猕2 号已有6.06%的发病率,在采收期Ⅱ~Ⅳ之间发病率并未提高,中科绿猕1号和中科绿猕2号在采收期Ⅴ时发病率均为最高,说明晚采会提高猕猴桃果实的软腐病发病率。

2.4 主成分分析与综合评价

采用主成分分析法,综合评价不同采收期对中科绿猕1 号和中科绿猕2 号生长发育与品质的影响。选取可溶性糖含量、可滴定酸含量、抗坏血酸含量、采收时可溶性固形物含量、软熟时可溶性固形物、干物质含量、采收时硬度、软熟时硬度、果形指数、软腐病发病率、感官评价11 个指标进行主成分分析。由表3 可知,中科绿猕1 号共提取出4 个主成分,第一主成分的特征值为4.59,贡献率为41.77%;第二主成分的特征值为2.95,贡献率为26.80%;第三主成分的特征值为2.31,贡献率为21.01%;第四主成分的特征值为1.15,贡献率为10.43%;提取出的4个主成分累计贡献率为100%。中科绿猕2号共提取3 个主成分,第一主成分的特征值为5.65,贡献率为51.38%;第二主成分的特征值为3.49,贡献率为31.68%;第三主成分的特征值为1.35,贡献率为12.27%;提取出的3个主成分累计贡献率为95.33%。

表3 主成分特征值及贡献率
Table 3 Principal component eigenvalue and contribution rate

品种Variety中科绿猕1号Zhongkelümi No. 1主成分Principal component 1 2 3 4 1 2 3特征值Eigenvalue 4.59 2.95 2.31 1.15 5.65 3.49 1.35贡献率Contribution rate/%41.77 26.80 21.01 10.43 51.38 31.68 12.27累计贡献率Cumulative contribution rate/%41.77 68.56 89.58 100.00中科绿猕2号Zhongkelümi No. 2 51.38 83.06 95.33

由表4 可知,F 值为综合主成分值,中科绿猕1号在采收期Ⅲ时的综合主成分值最高,为1.69,其次为采收期Ⅴ,F 值为-0.05,采收期Ⅰ的F 值最低,为-1.42,综合评价表现最差;中科绿猕2号在采收期Ⅳ时的综合主成分值最高,为2.41;其次为采收期Ⅲ,F 值为-0.23;采收期Ⅰ的F 值最低,为-1,综合评价表现最差。因此,中科绿猕1 号宜在采收期Ⅲ时(即花后166 d)采收,中科绿猕2 号宜在采收期Ⅳ时(即花后174 d)采收,此时采收对猕猴桃的生长发育、品质提高效果最佳,同时发病率较低,能保证最大收益。

表4 相关指标的主成分值及综合排名
Table 4 Principal component value and comprehensive ranking of related indicators

品种Variety中科绿猕1号Zhongkelümi No. 1采收期Picking period F4-0.75 1.15-0.24 1.07-1.23 F 排序 Sort中科绿猕2号Zhongkelümi No. 2ⅠⅡⅢⅣⅤⅠⅡⅢⅣⅤF1-3.48-0.34 1.67 0.34 1.80-2.14-2.42 0.05 3.25 1.27 F2 0.52-1.67 3.04 0.32-2.21-0.22 1.46-0.50 2.02-2.75 F3-0.13 1.79 0.96-2.23-0.38 1.28-0.83-0.57 0.31-0.20-1.42-0.09 1.69-0.13-0.05-1.00-0.85-0.23 2.41-0.34 5 3 1 4 2 5 4 2 1 3

2.5 中科绿猕1 号和中科绿猕2 号的代谢物含量及相对气味活度值差异比较分析

在中科绿猕1 号和中科绿猕2 号果肉中共检测到1314 种代谢物,两个品种间差异显著的代谢物数目550 种;下调代谢物数目392 种;上调代谢物数目158种。由图2可知,中科绿猕1号、中科绿猕2号共检测出15 种类型的代谢物,含量大于5%的代谢物种类有酸类、醇类、醛类、酯类、杂环类、烃类、酮类、萜类。萜类、酯类、酮类的含量占比较高,中科绿猕1 号占比分别为21.7%、16.08%、11.54%,中科绿猕2号占比分别为21.4%、16.05%、11.41%,均小于中科绿猕1号。

图2 中科绿猕1 号和中科绿猕2 号代谢物类别组成环形图
Fig. 2 Circular distribution of metabolomic classifications in Zhongkelümi No. 1 and Zhongkelümi No. 2

相对气味活度值(relative odor activity value,rOAV)是评价某种挥发性成分对总体香气的贡献度指标,一般来说rOAV≥1,表明该化合物对样品风味有直接的贡献[13-15]。表5 中列出了rOAV≥1 的所有挥发性代谢物及其含量,其中中科绿猕1号有152种,中科绿猕2 号有136 种,中科绿猕1 号的代谢物总含量为30 065 648.95 µg·mL-1,较中科绿猕2 号增加2 794 106.73 µg·mL-1;rOAV 值为246 803.47,较中科绿猕2号增加120 547.01;两个猕猴桃果肉中均有大量的2-甲氧基-3,5-二甲基吡嗪、2-壬烯醛、十二腈、4-羟基-2,5-二甲基-3(2H)-呋喃酮、3-辛烯-2-酮、3-巯基乙酸酯等,赋予坚果香、青草香、果香、甜味,是中科绿猕1 号、中科绿猕2 号的关键风味化合物。两个品种的代谢物含量比较均表现为酮类>醛类>萜类>酯类>其他类>醇类。以上结果说明,中科绿猕1号的挥发性代谢物含量和相对气味活度值均明显高于中科绿猕2号,其风味表现更具优势。

表5 中科绿猕 1 号和中科绿猕 2 号果实挥发性物质成分含量及相对气味活度值
Table 5 Content of volatile compounds and ROAV in fruits of Zhongkelümi No. 1 and Zhongkelümi No. 2

?

表5 (续) Table 5 (Continued)

?

表5 (续) Table 5 (Continued)

?

表5 (续) Table 5 (Continued)

?

表5 (续) Table 5 (Continued)

?

表5 (续) Table 5 (Continued)

?

表5 (续) Table 5 (Continued)

?

表5 (续) Table 5 (Continued)

?

表5 (续) Table 5 (Continued)

?

3 讨 论

猕猴桃因品种不同果实发育期也会存在差异,导致最佳采收时间不同;同一品种也会因产地的气候条件和生长环境不一致而采收期不同。运用相同的采收标准对不同地区的猕猴桃采收不具备指导意义[16]。因此,需要针对不同产区、不同品种及栽培管理方式制定相应的标准,适时采收技术研究对提升果实品质、增加经济价值具有重要意义[17]

笔者以中科绿猕1号和中科绿猕2号为试材,在猕猴桃花后150~182 d 分别采摘了5 个时期的果实进行检测分析,发现随着采收期的变化,猕猴桃的品质呈现出不同的变化规律。两个品种在5个采收期内的果实横径、纵径和侧径虽有明显变化,但果形指数无明显差异,与彭雯等[2]的研究结果一致,说明中科绿猕1号、中科绿猕2号的果形不会因为采摘时间的差异出现变化,果形较为稳定。两个品种的果肉硬度无论是在采摘时还是在软熟时,从采收期Ⅲ开始均呈递减趋势,与陈双双等[16]和高磊等[18]的研究结果一致,两者在软熟后硬度相似,但中科绿猕1号在采摘时的硬度无显著差异,而中科绿猕2号在采摘时的硬度变化范围从6.7 kg·cm-2降低至2.27 kg·cm-2。硬度下降,易受机械损伤和病菌感染而腐烂,失水萎缩,软化变质,失去贮藏性,也导致后期软腐病发病率提高。猕猴桃果实的后熟品质特性包括可溶性固形物、可溶性糖、可滴定酸、维生素C、干物质含量等,是评价猕猴桃商品价值的一项非常关键的指标[19]。两个品种采摘时的可溶性固形物含量随采收期延后上升速度逐渐减缓,软熟后可溶性固形物含量波动较小,上升缓慢,甚至有下降趋势,与吴彬彬等[20]的研究结果相似。果肉中可溶性糖和抗坏血酸含量整体上呈先增后减趋势,与李小艳等[21]和陈成等[22]研究结果一致。中科绿猕1 号可溶性糖含量在采收期Ⅱ至采收期Ⅲ阶段迅速攀升,中科绿猕2 号则是在采收期Ⅲ至采收期Ⅳ阶段含量大幅提升,这由在软熟过程中前期积累的淀粉大量转化为可溶性糖所致。

猕猴桃果实香气是影响果实风味品质的关键因素,但不同品种间果实香气成分存在差异,其根本原因是代谢类型受品种间遗传差异调控[23]。笔者通过主成分分析结果,选取中科绿猕1 号采收期Ⅲ阶段和中科绿猕2 号采收期Ⅳ阶段的果实进行代谢物测定,共检测出1314 种代谢物,其中,关键香气物质中科绿猕1号有152种,中科绿猕2号有136种,种类和含量差异明显,与李国生等[24]、王海波等[25]对甜瓜、苹果品种间香气差异的研究结果相似。猕猴桃果实中的香气种类主要为酯类、醇类、醛类、酮类以及杂环类化合物[26],在rOAV≥1 的代谢物中,醛酮类含量最高,与郭丽芳等[27]的研究结果一致。同时发现,中科绿猕2号与中科绿猕1号相比,有效香气成分中的总相对气味活度值、总代谢物含量较低,但感官评价得分明显高于中科绿猕1 号,更受消费者欢迎。结合果实的内在品质指标来讨论,中科绿猕2 号在采收期Ⅳ阶段的果实软熟后可溶性固形物含量更高,可溶性糖含量达到最大值,可滴定酸含量低于中科绿猕1 号,说明与果实香气相比,消费者可能更倾向选择甜度高、糖酸比高的猕猴桃品种;也可能由香气代谢物的不同组合导致,还需要进一步研究。

4 结 论

笔者对不同采收期的中科绿猕1号、中科绿猕2号的果实硬度、果形指数、可溶性固形物含量、可溶性糖含量、可滴定酸含量、抗坏血酸含量、干物质含量、挥发性物质含量、软腐病发病率等指标进行了测定分析,同时开展了感官评价,结果发现,采收期Ⅲ(花后166 d)为中科绿猕1 号的最佳采收期,采收期Ⅳ(花后174 d)为中科绿猕2 号最佳采收期,此时果实中可溶性固形物、可溶性糖、抗坏血酸含量较高,营养物质积累多,果实商品性高;中科绿猕2 号有效香气种类含量少于中科绿猕1 号,但可溶性固形物、可溶性糖含量整体高于中科绿猕1 号,更受消费者喜欢,但由于存在软腐病发病率偏高问题,因此要尽量避免机械损伤。

参考文献 References:

[1] 黄文俊,钟彩虹. 猕猴桃果实采后生理研究进展[J]. 植物科学学报,2017,35(4):622-630.HUANG Wenjun,ZHONG Caihong. Research advances in the postharvest physiology of kiwifruit[J]. Plant Science Journal,2017,35(4):622-630.

[2] 彭雯. 延迟采收对‘翠香’猕猴桃感官和营养品质的影响研究[D]. 杨凌:西北农林科技大学,2024.PENG Wen. Effects of delayed harvesting on sensory and nutritional quality of ‘Cuixiang’ kiwifrui[D]. Yangling:Northwest A& F University,2024.

[3] 李秀亚,宋福兵,吕树鸣,肖钧,周玉萍,汪志威. “红阳”猕猴桃适宜采收期研究[J]. 耕作与栽培,2023,43(4):25-28.LI Xiuya,SONG Fubing,LÜ Shuming,XIAO Jun,ZHOU Yuping,WANG Zhiwei. Study on suitable harvesting time of‘Hongyang’ kiwifruit[J]. Tillage and Cultivation,2023,43(4):25-28.

[4] 杨雪珍,杨倩文,欧阳雪灵,江新凤,甘增宇,彭火辉,王国行,彭玉辅,陈金印,陈明,陈华玲. 采收成熟度对‘金奉’猕猴桃果实后熟品质的影响[J]. 食品安全质量检测学报,2024,15(23):98-107.YANG Xuezhen,YANG Qianwen,OUYANG Xueling,JIANG Xinfeng,GAN Zengyu,PENG Huohui,WANG Guohang,PENG Yufu,CHEN Jinyin,CHEN Ming,CHEN Hualing. Effects of harvest maturity on post-ripening quality of ‘Jinfeng’kiwifruit[J]. Journal of Food Safety & Quality,2024,15(23):98-107.

[5] 张群,李绮丽,李绍华,葛可达,张维. 采收期对“金艳”猕猴桃果实品质和耐贮性的影响[J]. 食品安全质量检测学报,2020,11(12):3913-3918.ZHANG Qun,LI Qili,LI Shaohua,GE Keda,ZHANG Wei. Effects on fruit quality and storability of “Jinyan” kiwifruit under different harvest time[J]. Journal of Food Safety & Quality,2020,11(12):3913-3918.

[6] 姚春潮,刘占德,龙周侠. 采收期对“徐香”猕猴桃果实品质的影响[J]. 北方园艺,2013(8):36-38.YAO Chunchao,LIU Zhande,LONG Zhouxia. Effect of harvest time on fruit quality of ‘Xuxiang’ kiwifruit[J]. Northern Horticulture,2013(8):36-38.

[7] 王明召,阳廷密,张素英,门友均,唐明丽,易显荣,万保雄,娄兵海. ‘红阳’猕猴桃不同时期采收果实品质及贮藏效果研究[J]. 中国果树,2018(4):31-33.WANG Mingzhao,YANG Tingmi,ZHANG Suying,MEN Youjun,TANG Mingli,YI Xianrong,WAN Baoxiong,LOU Binghai. Study on fruit quality and storage effect of ‘Hongyang’ kiwifruit in different harvest periods[J]. China Fruits,2018(4):31-33.

[8] 曹森,瞿光凡,高芙蓉,刘亚非,黄亚欣,罗雪,王国立,王瑞.不同采收期对“贵长”猕猴桃后熟品质和酶活性的影响[J]. 保鲜与加工,2021,21(8):1-6.CAO Sen,QU Guangfan,GAO Furong,LIU Yafei,HUANG Yaxin,LUO Xue,WANG Guoli,WANG Rui. Effects of different harvest stages on the qualities and enzymes activities of‘Guichang’ kiwi fruits[J]. Storage and Process,2021,21(8):1-6.

[9] 王国立,吴素芳,黄亚欣,余江平,李涛,王晓醒,高亚星,谭永元,董晓庆. 不同采收期对“贵长”猕猴桃贮藏期间果实品质的影响[J]. 安徽农业科学,2019,47(17):174-178.WANG Guoli,WU Sufang,HUANG Yaxin,YU Jiangping,LI Tao,WANG Xiaoxing,GAO Yaxing,TAN Yongyuan,DONG Xiaoqing. Effects of different harvest periods on fruit quality of“Guichang” kiwifruit during storage[J]. Journal of Anhui Agricultural Sciences,2019,47(17):174-178.

[10] 张敏,彭雯,李欣怡,赵沁雨,张文慧,孙翔宇,马婷婷. 早采对‘翠香’猕猴桃理化特性及贮藏特性的影响[J]. 食品与发酵工业,2025,51(3):243-249.ZHANG Min,PENG Wen,LI Xinyi,ZHAO Qinyu,ZHANG Wenhui,SUN Xiangyu,MA Tingting. Effects of early harvesting on the physicochemical and storage characteristics of ‘Cui Xiang’ kiwifruit[J]. Food and Fermentation Industries,2025,51(3):243-249.

[11] 高俊凤. 植物生理学实验指导[M]. 北京:高等教育出版社,2006.GAO Junfeng. Experimental guidance for plant physiology[M].Beijing:Higher Education Press,2006.

[12] 刘翠霞,李洁维,高建有,莫权辉,王发明,叶开玉,刘平平,齐贝贝,龚弘娟. 广西不同地区红阳猕猴桃果实香气分析[J]. 果树学报,2023,40(10):2170-2182.LIU Cuixia,LI Jiewei,GAO Jianyou,MO Quanhui,WANG Faming,YE Kaiyu,LIU Pingping,QI Beibei,GONG Hongjuan.Aromatic constituents analysis of Hongyang kiwifruits from different regions in Guangxi[J]. Journal of Fruit Science,2023,40(10):2170-2182.

[13] XUE J J,LIU P P,YIN J F,WANG W W,ZHANG J Y,WANG W,LE T,NI D J,JIANG H Y. Dynamic changes in volatile compounds of Shaken black tea during its manufacture by GC × GCTOFMS and multivariate data analysis[J]. Foods,2022,11(9):1228.

[14] HUANG W,GFELLER V,ERB M. Root volatiles in plant-plant interactions II:Root volatiles alter root chemistry and plant-herbivore interactions of neighbouring plants[J]. Plant,Cell & Environment,2019,42(6):1964-1973.

[15] 曾硕,郭新宇,牛东升,李峰. 多手段评测5 种猕猴桃的挥发性风味成分[J]. 果树学报,2025,42(7):1518-1531.ZENG Shuo,GUO Xinyu,NIU Dongsheng,LI Feng. Multimethod evaluation of volatile flavor compounds in five kiwifruit varieties[J]. Journal of Fruit Science,2025,42(7):1518-1531.

[16] 陈双双,贺艳群,徐小彪,贾东峰,陶俊杰,梅奕阳,黄春辉. 不同采收期对‘奉黄1 号’猕猴桃果实品质的影响[J]. 江西农业大学学报,2021,43(6):1259-1268.CHEN Shuangshuang,HE Yanqun,XU Xiaobiao,JIA Dongfeng,TAO Junjie,MEI Yiyang,HUANG Chunhui. Effect of different harvest time on fruit quality of ‘Fenghuang No. 1’ kiwifruit[J]. Acta Agriculturae Universitatis Jiangxiensis,2021,43(6):1259-1268.

[17] 罗中魏. “金实1 号”猕猴桃适时采收及低温贮藏保鲜技术研究[D]. 绵阳:西南科技大学,2022.LUO Zhongwei. Study on harvesting window and cool storage technical of “Jinshi 1” kiwifruit[D]. Mianyang:Southwest University of Science and Technology,2022.

[18] 高磊,张蕾,罗轩,白福玺,陈庆红. 猕猴桃品种金农与金阳不同采收期果实品质动态分析[J]. 中国果树,2022(3):37-43.GAO Lei,ZHANG Lei,LUO Xuan,BAI Fuxi,CHEN Qinghong. Dynamic analysis of fruit quality of kiwifruit cultivars‘Jinnong’ and ‘Jinyang’ at different harvest time[J]. China Fruits,2022(3):37-43.

[19] 李莹,朱云琦,董官勇,裴艳刚,刘明春. 6 个猕猴桃品种的果实贮藏与品质评价[J]. 热带亚热带植物学报,2023,31(5):653-659.LI Ying,ZHU Yunqi,DONG Guanyong,PEI Yangang,LIU Mingchun. Fruit storage and quality evaluation of six kinds of Actinidia deliciosa[J]. Journal of Tropical and Subtropical Botany,2023,31(5):653-659.

[20] 吴彬彬,饶景萍,李百云,赖勤毅,张海燕. 采收期对猕猴桃果实品质及其耐贮性的影响[J]. 西北植物学报,2008,28(4):4788-4792.WU Binbin,RAO Jingping,LI Baiyun,LAI Qinyi,ZHANG Haiyan. Effect of harvest date on fruit quality and storage duration of kiwifruit[J]. Acta Botanica Boreali-Occidentalia Sinica,2008,28(4):4788-4792.

[21] 李小艳,杨红,蔡光泽,张奇远,禹箭,刘星谷. 攀西地区“金果”猕猴桃果实生长规律及不同采收期对果实品质的影响[J].中国南方果树,2022,51(1):138-143.LI Xiaoyan,YANG Hong,CAI Guangze,ZHANG Qiyuan,YU Jian,LIU Xinggu. Fruit growth pattern and effects of different harvest times on fruit quality of ‘Jinguo’ kiwifruit in Panxi region[J]. South China Fruits,2022,51(1):138-143.

[22] 陈成,王依,杨勇,阎永齐. 采收成熟度对‘金艳’猕猴桃果实品质及香气成分的影响[J]. 中国农学通报,2020,36(31):28-36.CHEN Cheng,WANG Yi,YANG Yong,YAN Yongqi. Effects of maturity stage on fruit quality and aroma components of ‘Jinyan’ kiwifruit[J]. Chinese Agricultural Science Bulletin,2020,36(31):28-36.

[23] 甘武. 猕猴桃果实品质和香气成分分析研究[D]. 南昌:江西农业大学,2018.GAN Wu. Analysis of fruit quality and aroma components of kiwifruit[D]. Nanchang:Jiangxi Agricultural University,2018.

[24] 李国生,焦自高,陈子雷,赵善仓,王崇启,董玉梅,肖守华. 不同厚皮甜瓜品种成熟果实香气成分的GC-MS 分析[J]. 果树学报,2010,27(4):591-597.LI Guosheng,JIAO Zigao,CHEN Zilei,ZHAO Shancang,WANG Chongqi,DONG Yumei,XIAO Shouhua. Analysis of aromatic compounds in three muskmelon cultivars (Cucumis melon) by solid phase microextraction with GC-MS[J]. Journal of Fruit Science,2010,27(4):591-597.

[25] 王海波,陈学森,张春雨,刘崇琪,吴传金,田长平,王超. 两个早熟苹果品种不同成熟阶段果实香气成分的变化[J]. 园艺学报,2008,35(10):1419-1424.WANG Haibo,CHEN Xuesen,ZHANG Chunyu,LIU Chongqi,WU Chuanjin,TIAN Changping,WANG Chao. Changes of aroma components during fruit maturation of two early apple cultivars[J]. Acta Horticulturae Sinica,2008,35(10):1419-1424.

[26] 张承,王秋萍,吴小毛,龙友华,吴沿友,黄亚欣,唐靖文. 氯吡脲对贵长猕猴桃果实氨基酸和香气成分的影响[J]. 核农学报,2019,33(11):2186-2194.ZHANG Cheng,WANG Qiuping,WU Xiaomao,LONG Youhua,WU Yanyou,HUANG Yaxin,TANG Jingwen. Effects of forchlorfenuron on amino acids and aroma components of Guichang kiwifruit postharvests[J]. Journal of Nuclear Agricultural Sciences,2019,33(11):2186-2194.

[27] 郭丽芳,王慧,马三梅,钟彩虹,屈红霞. 冷藏对“金艳”猕猴桃香气成分的影响[J]. 食品工业科技,2013,34(10):304-308.GUO Lifang,WANG Hui,MA Sanmei,ZHONG Caihong,QU Hongxia. Effect of refrigeration on aroma components of postharvest “Jinyan” kiwifruit[J]. Science and Technology of Food Industry,2013,34(10):304-308.

Analysis of fruit quality differences between Zhongkelümi No. 1 and Zhongkelümi No. 2 at different harvest periods

ZHANG Furong1, XIA Min1, YANG Yanqun1, YIN Hongliang2, LIU Juanjuan1, HAN Fei3, WANG Jing1,WANG Shunfu1*, QUAN Yong1*

(1Zhaotong Apple Industry Development Center, Zhaotong 657000, Yunnan, China; 2Zhaotong Soil and Fertilizer Station, Zhaotong 657000, Yunnan, China; 3Wuhan Botanical Garden, Chinese Academy of Sciences, Wuhan 430000, Hubei, China)

Abstract:【Objective】 Kiwifruit(Actinidia chinensis var. chinensis) is a climacteric fruit, and its preharvest physiological maturity is closely related to the post-harvest storage characteristics, sensory quality, and nutritional quality of the fruit. However, it is difficult to accurately determine its quality based solely on its size, shape, and color at harvest. Moreover, the appropriate harvest time may vary among different kiwifruit varieties. In kiwifruit cultivation, both early and late harvests can have adverse effects. Therefore, timely harvest is crucial for ensuring kiwifruit quality. The Zhongkelümi No. 1 and Zhongkelümi No. 2 varieties for this study are green-fleshed kiwifruits developed by the Wuhan Botanical Garden of the Chinese Academy of Sciences. They have stable and consistent traits, with strong tree vigor, good productivity, and uniform fruit shape. This experiment aimed to determine the optimal harvest time for Zhongkelümi No. 1 and Zhongkelümi No. 2 kiwifruits and the quality differences between the two varieties, providing technical references for timely harvest in production. 【Methods】 The experiment utilized fruits from five harvest periods (Harvest Periods Ⅰ, Ⅱ, Ⅲ, Ⅳ, and Ⅴ, corresponding to 150, 158, 166, 174, and 182 days after full bloom, respectively) of Zhongkelümi 1 and Zhongkelümi 2.Measurements included fruit weight, longitudinal, transverse, and lateral diameters, fruit shape index,firmness, soluble solids content (SSC), soluble sugars, titratable acidity, ascorbic acid content, dry matter content, and incidence of soft rot. Sensory evaluations were conducted, and principal component analysis (PCA) was employed to select the harvest period with the highest score for volatile metabolite analysis, further exploring differences in aroma compounds between the two cultivars. 【Results】 The longitudinal and transverse diameters of Zhongkelümi No. 1 and Zhongkelümi No. 2 kiwifruits changed to varying degrees with the harvest period, but the fruit shape index remained consistently without significant differences, indicating that the fruit shape is relatively stable. The firmness of the fruits at harvest and softening showed an increasing trend initially and then gradually decreased. The firmness of Zhongkelümi No. 1 fruits at harvest showed no significant differences among the five harvest periods,and a significant decrease was only observed at Harvest Period Ⅴ after softening. The firmness of Zhongkelümi No. 2 fruits at harvest was significantly affected by the harvest period, with a range from 6.7 kg·cm-2 to 2.27 kg·cm-2. The contents of the soluble solids, soluble sugar, ascorbic acid, and titratable acid in both varieties generally increased initially and then decreased with the harvest period. The content of the soluble sugar and ascorbic acid in Zhongkelümi No. 1 reached their peaks at Harvest Period Ⅲ, at 14.40% and 135.17 mg·100 g-1, respectively. The contents of the soluble solids and soluble sugar in Zhongkelümi No. 2 reached their peaks at Harvest Period Ⅳ, at 16.10% and 13.79%, respectively. The ascorbic acid content of Zhongkelümi No. 1 was higher than that of Zhongkelümi No. 2 at Harvest Periods Ⅰ and Ⅱ, but was lower from Harvest Period Ⅲ onwards, with the difference gradually increasing. The sensory evaluation scores of Zhongkelümi No. 2 were generally higher than those of Zhongkelümi No. 1, and the scores of both varieties generally increased initially and then decreased.The highest score for Zhongkelümi No. 1 was 3.000 at Harvest Period Ⅲ, which was 36.36% higher than the lowest score at Harvest Period Ⅳ. The highest score for Zhongkelümi No. 2 was 4.130 at Harvest Period Ⅳ. The incidence of soft rot gradually increased with the delay of the harvest period. The incidence of Zhongkelümi No. 2 was generally higher, which might be related to the rapid decrease in firmness, making it more susceptible to mechanical damage and infection by pathogens, leading to rot,water loss, shrinkage, and softening. Eleven indicators including soluble sugar content, titratable acid content, and ascorbic acid content were selected for principal component analysis. Four principal components were extracted for Zhongke Lümi 1 and three for Zhongke Lümi 2. The comprehensive principal component value of Zhongke Lümi 1 was the highest at harvest period Ⅲ, reaching 1.69, followed by harvest period Ⅴ with a score of -0.05. The score was the lowest at harvest period Ⅰ, being -1.42,and the overall performance was the worst. For Zhongke Lümi 2, the comprehensive principal component value was the highest at harvest period Ⅳ, reaching 2.41, followed by harvest period Ⅲ with a score of -0.23. The score was the lowest at harvest period Ⅰ, being -1, and the overall performance was the worst. Based on the principal component analysis results, the fruits of Zhongke Lümi 1 at harvest period Ⅲ and Zhongke Lümi 2 at harvest period Ⅳ were selected for metabolite determination. A total of 1314 metabolites were detected, including 15 types of metabolites. The types of metabolites with a content over 5% were acids, alcohols, aldehydes, esters, heterocyclic compounds, hydrocarbons,ketones, and terpenoids. Among them, terpenoids, esters, and ketones had the highest proportion. There were 152 effective aroma substances (rOAV≥1) in Zhongke Lümi 1 and 136 in Zhongke Lümi 2. Both cultivars shared abundant volatile compounds such as 2-methoxy-3,5-dimethylpyrazine, 2-nonenal, dodecanenitrile, 4-hydroxy-2,5-dimethyl-3(2H)-furanone, 3-octen-2-one, and 3-mercaptoacetate, contributing to nutty, grassy, fruity, and sweet aromas. The total relative odor activity value (rOAV) and metabolite content were higher in Zhongkelümi 1. 【Conclusion】 The optimal harvest period for Zhongke Lümi 1 is harvest period Ⅲ (166 days after flowering), and for Zhongke Lümi 2 is harvest period Ⅳ (174 days after flowering). Zhongke Lümi 2 has fewer effective aroma substances than Zhongke Lümi 1, but its soluble solids and soluble sugar content are generally higher than those of Zhongke Lümi 1, making it more favored by consumers. However, Zhongke Lümi 2 has a relatively high incidence of soft rot disease, so violent picking, transportation, and storage should be avoided.

Key words:Kiwifruit; Harvest time; Fruit quality; Sensory evaluation; Aroma

中图分类号:S663.4

文献标志码:A

文章编号:1009-9980(2026)01-0078-19

DOI:10.13925/j.cnki.gsxb.20250233

收稿日期:2025-05-07

接受日期:2025-07-13

基金项目:云南省全勇专家基层科研工作站;云南省黄丽丽专家工作站(202405AF40126);昭通市钟彩虹专家工作站(2022ZTYX10)

作者简介:张芙蓉,农艺师,主要从事果树生产技术推广及果实生理品质研究。E-mail:zhangfurongfr@163.com

*通信作者 Author for correspondence. E-mail:624383426@qq.com;E-mail:563197296@qq.com