4种不同风味甜樱桃品种果实发育过程中糖酸组分及含量的变化

李玉生1,陈 龙1,吴永杰1,闫 卓1,王旭敏1,李树卿2,姜 磊2,王 辉3,程和禾1,吴雅琴1,姬新梅1*

1河北省农林科学院昌黎果树研究所,河北昌黎 066600;2廊坊市农林科学院,河北廊坊 065000;3秦皇岛琳海生态农业有限公司,河北山海关 066200)

摘 要:【目的】研究不同风味、成熟期的甜樱桃果实发育过程中糖酸组分的动态变化,为甜樱桃的果实品质调控、肥水管理及适时采收提供参考。【方法】以不同成熟期高酸品种早大果、彩虹和低酸品种早蜜露、玲珑脆为试材,测定果实不同发育时期糖酸组分及含量变化,并进行相关性分析。【结果】甜樱桃果实总糖及各组分的含量随果实发育逐渐增加,早熟品种与中熟品种可溶性糖快速积累的时间存在较大差异,在果实成熟时,中熟品种的总糖含量显著高于早熟品种。苹果酸为主要有机酸,总酸与苹果酸含量变化趋势基本一致,高酸品种和低酸品种总酸及苹果酸含量在果实发育过程中变化趋势有显著差异;酒石酸总体呈上升趋势;不同成熟期品种柠檬酸含量变化趋势相反;其他有机酸含量很低。相关性分析表明,甜樱桃果实中3种可溶性糖之间、糖各组分含量与苹果酸含量呈极显著正相关,3种可溶性糖、苹果酸含量均与柠檬酸和草酸含量呈不同程度负相关。【结论】甜樱桃总糖含量随果实发育而增加。谢花22 d后是甜樱桃果实内在品质形成关键时期。有机酸含量是影响甜樱桃果实风味的主要因素,甜酸比从高到低依次为玲珑脆>彩虹>早蜜露>早大果。在果实成熟期,可溶性糖和有机酸的积累均减慢,为甜樱桃适宜采摘期。

关键词:甜樱桃;有机酸;可溶性糖;发育过程;风味

可溶性糖和有机酸是果实内在品质的重要影响因子,也是决定果实甜酸风味的核心物质[1-2]。果实发育过程中会积累大量的可溶性糖和有机酸,不同组分的糖和酸在甜酸程度及口感上各有差异。果实的甜酸口感是糖酸组分、含量水平和比例的综合结果,并且受糖酸动态积累的影响[3-4]。因此,研究两者的组分、含量变化规律及品种间的差异对揭示甜樱桃果实品质形成规律,研究糖酸代谢以及田间肥水管理、适时采收具有重要意义[5-6]

近年来,在苹果[7]、砂梨[8]、桃[9]、山楂[10]、桑树[11]等多种果树果实发育过程中糖、酸的构成及变化规律的研究表明,水果中的可溶性糖主要为蔗糖、葡萄糖、果糖和山梨醇,有机酸主要为苹果酸、柠檬酸和酒石酸。不同水果中可溶性糖和有机酸的种类及含量存在很大差异,同一种水果在不同的生长发育阶段因品种不同糖酸组分和含量也存在差异。全球甜樱桃品种有470 余个[12],不同甜樱桃品种外观特性与内在成分存在显著差异。Serrano 等[13]研究发现甜樱桃4-70 果实中的可溶性糖主要为葡萄糖和果糖,两者在果实发育过程中呈线性增长,且葡萄糖含量高于果糖,而蔗糖和山梨醇含量很低,在果实发育过程中变化不显著;有机酸以苹果酸为主,并在整个果实发育阶段呈增长趋势,柠檬酸和琥珀酸含量较低,且在果实发育过程中变化不显著。Teribia 等[14]发现甜樱桃Prime Giant 果实中可溶性糖组分为葡萄糖、果糖和蔗糖,葡萄糖和果糖为主要组分,随果实发育进程,蔗糖含量在整个果实发育过程中不足1%;苹果酸是主要有机酸,并在果实整个发育阶段呈上升趋势。王宝刚等[15]对甜樱桃雷尼和先锋进行研究发现,两个甜樱桃品种果实中可溶性糖组分为葡萄糖、果糖和山梨醇,并随果实发育进程其含量不断上升;有机酸含量呈先升高趋势,在果实成熟时显著降低。Chen等[16]的研究中则发现可溶性糖成分含量最高的是葡萄糖,其次是山梨醇,然后是蔗糖,而果糖含量最低,4种糖的含量随果实发育而上升;有机酸的含量先降低后升高,在成熟期达到最大值。

从前人的研究中可以发现,糖酸组分的含量在不同品种中存在较大差异,其差异直接影响果实的风味和品质。现有报道中关于甜樱桃果实发育过程中糖酸组分及含量变化的研究均只涉及某一个或某几个品种,而对于不同熟期、不同风味樱桃糖酸组分含量及变化规律的比较研究未见报道。笔者以早熟和中熟的高酸品种早大果、彩虹以及2 个自主选育的早熟和中熟低酸品种早蜜露、玲珑脆为试材,研究糖酸代谢特征,以期为甜樱桃的果实品质调控、田间肥水管理、果实适时采收奠定基础。

1 材料和方法

1.1 试验材料

试验材料为早熟高酸品种早大果和早熟低酸品种早蜜露以及中熟高酸品种彩虹和中熟低酸品种玲珑脆4 个甜樱桃品种的果实,采集于河北省农林科学院昌黎果树研究所孔庄创新基地,4 个甜樱桃品种植株树龄均为10 a(年),栽培和管理条件相同,砧木为本溪山樱(Cerasus sachalinensis),树形为改良纺锤形,单株区组,3次重复。

1.2 样品采集

试验在2023年4—6月进行,各试验品种根据物候期均在末花期(全树75%花瓣变色)后第10 天开始第1 次采样,此后每隔5 d 采样1 次,直至果实成熟,每次取样时间均在上午9:00—10:00。在每株树外围不同方向随机采取30个果实,要求果实大小均一,成熟度一致,无损伤,无病虫害。果实采收后,放入冰盒,迅速带回实验室,每株树上采集的样品切片、去核混匀,立即用液氮速冻5 min,分装保存于-80 ℃冰箱备用。

1.3 可溶性糖组分及含量测定

采用高效液相色谱法测定甜樱桃果实中可溶性糖组分及含量。

样品预处理:准确称取0.5 g 样品,加入10 mL 70%乙腈溶液研磨成匀浆,水浴超声提取30 min,4 ℃5000 r·min-1离心5 min,取上清液于15 mL离心管中,40 ℃浓缩至干,用纯水定容至0.5 mL,过0.22 μm水相滤膜,放入4 ℃冷藏,待上机检测。

色谱条件:示差折光检测。葡萄糖、果糖和蔗糖的测定色谱柱为Athena NH2-RP(Ⅱ)HPLC(4.6 mm×250 mm,5 μm);流动相为乙腈∶水(φ)=70∶30;流速:1.0 mL·min-1;柱温为40 ℃;进样量10 μL。山梨醇的测定色谱柱为ChromCore Sugar-10C(a7.8 mm×300 mm,6 μm);流动相为水;流速为0.8 mL·min-1;柱温为80 ℃;进样量10 μL。

1.4 有机酸组分及含量测定

采用高效液相色谱法测定甜樱桃果实中有机酸组分及含量。

样品预处理:将样品用液氮冷冻后研磨至粉碎,称量0.5 g样品,加入5 mL 0.2 mol·L-1偏磷酸水溶液涡旋至充分混匀,超声30 min,4 ℃8000 r·min-1离心5 min,取上清液,过0.22 μm水相滤膜,上机待测。

色谱条件:检测波长为210 nm,色谱柱为Athena-C18(4.6 mm×250 mm,5 μm),流动相为0.02 mol·L-1磷酸二氢钾水溶液(用磷酸调pH=2.60)和甲醇,流速0.8 mL·min-1,柱温25 ℃,进样量10 μL。

1.5 果实甜酸风味评价

成熟果实甜酸风味评价以甜度/总酸为指标,按照果糖甜度占比1.75、葡萄糖甜度占比0.75、山梨醇甜度占比0.40来计算果实的总甜度值[3]。计算公式为:

1.6 数据分析

利用Мicrosoft Excel 2010 进行数据处理,采用OriginLab Origin 2022 进行绘图,应用IBМ SPSS Statistics 20 软件进行相关性分析和差异显著性分析。

2 结果与分析

2.1 果实发育过程中可溶性糖组分及含量的变化

早大果、早蜜露、彩虹、玲珑脆4 个甜樱桃品种果实中可溶性糖主要包含葡萄糖、果糖和山梨醇,其中以葡萄糖含量最高,山梨醇含量最低(图1)。葡萄糖、果糖和山梨醇含量变化趋势一致,均随着果实发育逐渐增加,在谢花22 d 后3 种可溶性糖组分的含量均开始迅速增加(图1-B~D),花后28 d 早熟品种早大果、早蜜露的可溶性糖积累开始减缓,花后40 d 中熟品种彩虹和玲珑脆可溶性糖积累开始减缓,且在果实成熟期达到最高值。早大果、早蜜露、彩虹、玲珑脆4 个甜樱桃品种成熟果实中葡萄糖含量(w,后同)分别为53.32 mg·g-1T5)、45.60 mg·g-1(T5)、61.77 mg·g(-1T7)、62.14 mg·g(-1T7)(图1-B),果糖含量分别为42.44、34.99、51.18、50.67 mg·g-1(图1-C),山梨醇含量分别为18.66、13.47、28.79、30.17 mg·g-1图1-D)。在果实成熟期,早熟品种早大果、早蜜露的葡萄糖、果糖、山梨醇及可溶性总糖含量均低于中熟品种彩虹和玲珑脆(图1)。

图1 4 个甜樱桃品种果实发育过程中可溶性糖含量的变化Fig.1 Changes in soluble sugar content in 4 sweet cherry varieties during fruit development

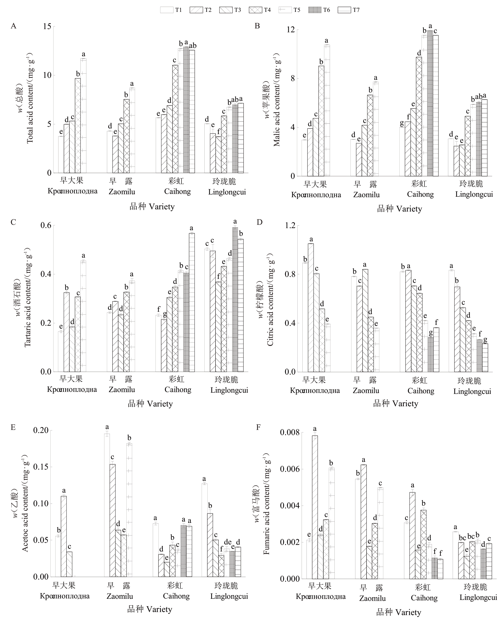
2.2 果实发育过程中有机酸组分及含量的变化

由图2 可知,4 个甜樱桃品种果实在不同发育时期苹果酸为有机酸主要成分,含量在2.459~11.952 mg·g-1之间,且在果实发育过程中,甜樱桃果实中总酸含量和苹果酸含量变化趋势相似,均在花后22 d开始迅速升高。4个甜樱桃品种中高酸品种早大果和彩虹的总酸含量和苹果酸含量在整个果实发育过程中呈持续上涨趋势,而低酸品种早蜜露和玲珑脆的总酸和苹果酸含量呈现先降低后升高的趋势。在花后22 d 之后果实发育的各阶段,高酸品种早大果、彩虹的有机酸总量和苹果酸含量均高于低酸品种早蜜露和玲珑脆(图2-A~B)。

图2 4 个甜樱桃品种果实发育过程中有机酸含量的变化
Fig.2 Changes in organic acid content in 4 sweet cherry varieties during fruit development

图2 (续) Fig.2 (Continued)

由图2-C~D 可知,在果实成熟时期,早大果、早蜜露、彩虹、玲珑脆果实中酒石酸含量分别为0.454 mg·g-1T5)、0.373 mg·g-1T5)、0.567 mg·g-1T7)、0.543 mg·g(-1T7),要高于同时期果实中柠檬酸含量(分别为0.393、0.359、0.362、0.232 mg·g-1),但在果实发育初期,4 个不同品种中柠檬酸含量要高于酒石酸含量;不同品种果实酒石酸含量的变化趋势存在较大差异。早熟品种早大果和早蜜露的酒石酸含量随果实发育呈现先升高后下降、在果实成熟期又升高的变化趋势;彩虹果实中酒石酸含量变化呈上升趋势,在果实成熟期达到最高值(0.567 mg·g-1);玲珑脆果实中酒石酸含量在果实发育初期较高,在花后22 d有一个小低谷(0.368 mg·g-1),随后在花后28~40 d 期间急速上升达到最高值(0.592 mg·g-1),之后又开始下降,于成熟时降至0.543 mg·g-1。另外,中熟品种彩虹和玲珑脆果实中酒石酸含量在成熟期显著高于早熟品种早大果和早蜜露。

图2-D 显示,4 个甜樱桃品种果实发育过程中,柠檬酸含量整体均表现出逐渐下降的趋势。在花后10~16 d内,早大果、彩虹果实柠檬酸含量快速上升,达到整个果实发育期最高值(分别为1.051 mg·g-1和0.833 mg·g-1),随后在花后22~34 d,果实柠檬酸含量逐渐下降,果实成熟时降至较低水平[0.393 mg·g-1(T5)和0.362 mg·g-1(T7)];早蜜露果实在发育初期花后16 d之前柠檬酸含量呈现下降趋势,之后迅速上升,在花后22 d时达到果实整个发育过程中最高值(0.841 mg·g-1),随后开始下降,直至果实成熟时降至最低(0.359 mg·g-1);玲珑脆果实在发育过程中,柠檬酸含量呈逐渐下降趋势,在果实成熟时柠檬酸含量达到最低值为0.232 mg·g-1。成熟果实中柠檬酸含量由高到低依次为早大果>彩虹>早蜜露>玲珑脆,高酸品种柠檬酸含量高于低酸品种。

甜樱桃果实中乙酸、富马酸、莽草酸和草酸含量较低(图2-E~H),且在果实成熟时早大果果实中未检测到乙酸,4个品种均未检测到草酸。

2.3 果实成熟期风味评价

4 个甜樱桃品种成熟期总糖含量变化幅度为94.056~142.975 mg·g-1,含量由高到低排序为玲珑脆>彩虹>早大果>早蜜露,玲珑脆和彩虹的总糖含量差异不显著,但均与早大果、早蜜露有显著差异,且早大果和早蜜露之间总糖含量也存在显著差异(表1)。4 个甜樱桃品种成熟期有机酸总量变化幅度为7.140~12.577 mg·g-1(表2),含量由高到低排序为彩虹>早大果>早蜜露>玲珑脆,不同品种间成熟果实有机酸含量存在显著差异,其中彩虹有机酸含量最高,为12.577 mg·g-1,玲珑脆有机酸含量最低,为7.140 mg·g-1。甜樱桃果实甜度值由葡萄糖甜度值、果糖甜度值和山梨醇甜度值构成,不同糖组分对甜度的贡献度不同,早大果、早蜜露、彩虹和玲珑脆甜度值分别为121.728、100.813、147.415、147.341,品种间除玲珑脆和彩虹之间甜度差异不显著外,其余各品种间存在显著差异。

表1 4 个甜樱桃品种成熟果实可溶性糖含量的比较(平均值±标准误差)
Table 1 Comparison of soluble sugar content in ripe fruits of four sweet cherry varieties(mean±SE)

注:同列数据后不同小写字母表示在0.05 水平显著差异。下同。
Note:Different small letters in the same column indicate a significant difference at the 0.05 level.The same below.

品种Varieties早大果Кpyпнoплoднaя早蜜露Zaomilu彩虹Caihong玲珑脆Linglongcui w(总糖)Total sugar content/(mg·g-1)114.419±0.991 b 94.056±1.546 c 141.743±0.511 a 142.975±1.958 a w(葡萄糖)Glucose content/(mg·g-1)53.319±0.336 b 45.598±1.080 c 61.774±0.194 a 62.140±0.797 a w(果糖)Fructose content/(mg·g-1)42.444±0.411 b 34.986±0.349 c 51.183±0.128 a 50.668±0.821 a w(山梨醇)Sorbitol content/(mg·g-1)18.657±0.251 c 13.473±0.120 d 28.786±0.193 b 30.167±0.386 a

表2 4 个甜樱桃品种成熟果实有机酸含量的比较(平均值±标准误差)
Table 2 Comparison of organic acid content in ripe fruits of four sweet cherry varieties(mean±SE)

?

甜樱桃果实风味是指果实的口味感觉,不仅受糖、酸含量水平的影响,在很大程度上也受到总甜度、甜酸比及糖酸比的影响[16]。由表3所示,4个甜樱桃品种甜酸比除早蜜露和彩虹之间差异不显著外,其余各品种间差异均显著,而糖酸比在4 个甜樱桃品种间均呈显著差异。按照糖酸比和甜酸比对各品种品质进行评价排序的结果一致,由大到小依次为玲珑脆>彩虹>早蜜露>早大果。玲珑脆、彩虹、早蜜露、早大果的口感评价依次为甜、甜酸、淡甜、酸甜。有研究表明,有机酸组分及含量对水果酸味的影响还与其味感阈值有关,其含量与味感阈值的比值直接影响果实的酸味[3,17],这可能是早蜜露虽然糖酸比值和甜酸比值低于彩虹,但由于其总酸含量显著低于彩虹和早大果,所以在口感上酸味并不明显。

表3 4 个甜樱桃品种成熟果实风味比较(平均值±标准误差)
Table 3 Comparison of flavor evaluation in ripe fruits of four sweet cherry varieties(mean±SE)

品种Varieties早大果Кpyпнoплoднaя早蜜露Zaomilu彩虹Caihong玲珑脆Linglongcui总甜度Total sweetness 121.728±1.07 b 100.813±1.46 c 147.415±0.44 a 147.341±2.17 a w(总酸)Total acid content/(mg·g-1)11.652±0.012 b 8.687±0.021 c 12.577±0.013 a 7.140±0.013 d甜酸比Sweetness/Acid 10.447±0.102 c 11.605±0.142 b 11.721±0.023 b 20.637±0.276 a糖酸比Sugar/Acid 9.820±0.095 d 10.827±0.153 c 11.270±0.029 b 20.026±0.247 a口感评价Flavor酸甜Sour and sweet淡甜Light sweet甜酸Sweet and sour甜Sweet

2.4 不同品种甜樱桃果实发育期间糖酸组分含量相关性分析

对4个甜樱桃品种果实中可溶性糖及有机酸组分含量进行相关性分析(图3),结果表明,各糖酸组分含量之间存在一定的相关性。早大果果实总糖含量与葡萄糖、果糖含量呈极显著正相关,与山梨醇含量呈显著正相关;早蜜露、彩虹、玲珑脆果实总糖含量与葡萄糖、果糖、山梨醇含量均呈极显著正相关;4个甜樱桃品种中葡萄糖、果糖、山梨醇之间也均呈极显著正相关;说明甜樱桃果实发育过程中,总糖含量与葡萄糖、果糖和山梨醇3种糖组分含量有关。

图3 4 个甜樱桃品种在果实发育过程中糖酸组分含量的相关性
Fig.3 Correlation analysis of the content of sugar and acid components in 4 sweet cherry varieties during fruit development

图3 (续) Fig.3 (Continued)

4 个甜樱桃品种在果实发育过程中,苹果酸含量与总酸含量呈极显著正相关;在早大果果实中,苹果酸与葡萄糖、果糖及总糖含量呈显著正相关,与山梨醇含量呈极显著正相关,其他3 个品种苹果酸含量与葡萄糖、果糖、山梨醇和总糖含量呈极显著相关(图3);在4 个甜樱桃品种成熟果实中,酒石酸含量仅次于苹果酸(表1),但在整个果实发育进程中,除彩虹果实的酒石酸含量与总酸含量呈显著正相关外,其他3个品种均呈现弱正相关,说明酒石酸含量在整个果实发育进程中变化相对稳定;在果实发育过程中,4 个甜樱桃品种中柠檬酸含量与总酸含量呈负相关,其中低酸品种早蜜露和玲珑脆中柠檬酸含量与总酸含量呈显著负相关,高酸品种彩虹中柠檬酸含量与总酸含量呈极显著负相关,早大果柠檬酸含量与总酸含量表呈弱负相关;4个甜樱桃品种的柠檬酸含量与可溶性糖各组分含量及总糖含量均呈负相关,其中早大果果实柠檬酸含量与可溶性糖各组分含量呈显著负相关,但与总糖含量呈弱相关,早蜜露果实柠檬酸含量除与葡萄糖含量呈弱负相关外,与其他各糖组分及总糖含量呈显著负相关,在彩虹及玲珑脆2 个中熟品种中,柠檬酸含量与可溶性糖各组分及总糖含量均呈极显著负相关。

3 讨 论

糖酸是构成果实甜酸风味的重要因素,其含量与比例对果实甜酸风味的形成有重要影响。前人研究表明,不同树种果实中糖酸的组分和含量不同[3],同一树种不同品种的果实中糖酸含量也不同[18]。已有研究表明,水果果实中的可溶性糖主要有果糖、葡萄糖、蔗糖和山梨醇等,根据成熟果实中含量最高的可溶性糖种类,水果主要分为果糖积累型、蔗糖积累型、葡萄糖积累型和单糖积累型[3]。甜樱桃除极个别品种外,均属于葡萄糖积累型[19]。果实中有机酸主要是苹果酸、柠檬酸和酒石酸[5],依据果实中积累的主要有机酸成分,一般将果实分为苹果酸型、柠檬酸型和酒石酸型[20],其他有机酸包括琥珀酸[11,20]、奎宁酸[1,21]、富马酸[22]和草酸[23]等,甜樱桃属于苹果酸型果实。本研究中4个不同风味甜樱桃品种成熟果实中的糖主要包括葡萄糖、果糖和山梨醇,不同品种果实中各糖组分及总糖含量均存在较大差异,但均以葡萄糖含量为最高,果糖次之,山梨醇含量最低;4个甜樱桃品种成熟果实中有机酸包括苹果酸、酒石酸、柠檬酸、莽草酸和富马酸,苹果酸含量最高,酒石酸次之,再次为柠檬酸,莽草酸和富马酸含量均很低。在4 个甜樱桃品种成熟果实中均未检测到草酸,早大果成熟果实中未检测到乙酸,其他3个品种中乙酸含量均很低。研究结果中果实可溶性糖和有机酸组分与魏国芹等[5]和Chen等[16]的研究结果存在差异,可能与品种不同有关,需进一步研究。

甜樱桃果实糖分积累模式为糖直接积累型,其叶片光合产物是以山梨醇为主要形态[24-25],在运输到果实中后,通过山梨醇代谢转化成葡萄糖和果糖[26]。魏国芹等[5]和王宝刚等[21]推测认为,在甜樱桃果实发育初期葡萄糖和果糖含量较低是因为从叶片转运到果实的山梨醇在其代谢过程中转化的葡萄糖和果糖主要用于细胞分裂和形态建成。在本试验中,4 个不同成熟期甜樱桃品种间总糖含量以及各糖组分的变化趋势基本一致,果实中总糖和各糖组分含量随着果实发育逐渐升高,均在谢花22 d 后快速增加,说明不同成熟期甜樱桃品种在果实发育初期的形态建成需要的时间有可能相同。在果实成熟时,中熟品种彩虹和玲珑脆的总糖含量及糖各组分含量均显著高于早熟品种早大果和早蜜露,可能与中熟品种果实发育期较长、糖分积累较多有关。但关于山梨醇含量在整个甜樱桃果实发育过程中持续上升的原因尚未见报道。熊碧玲等[27]研究表明,鲜黄梨果实发育中,山梨醇主要在果实发育前期进行积累,含量先增加后降低;Oura 等[28]研究发现,在黄肉枇杷解放钟和白肉枇杷白梨果实发育期间,山梨醇含量总体均呈下降趋势。他们的研究均发现果实中山梨醇脱氢酶和山梨醇氧化酶都参与了山梨醇与果糖、葡萄糖的相互转化调控,而关于甜樱桃中山梨醇的代谢调控研究未见报道,因此明确甜樱桃果实山梨醇的代谢调控机制,对科学调控甜樱桃果实可溶性糖含量、提高果实甜度,选育高糖品种十分重要。

甜樱桃为苹果酸型果实,在果实发育不同阶段均以苹果酸含量最高,各品种果实发育过程中总酸和苹果酸含量的变化趋势基本一致。秦新惠等[6]在对拉宾斯甜樱桃的研究中发现总酸含量随着果实发育呈先增加后下降的变化趋势;魏国芹等[5]对乌梅极早等7个甜樱桃品种果实有机酸含量进行分析发现,各品种果实发育过程中总酸和苹果酸含量变化随果实发育迅速增加,成熟时开始下降;许晖等[29]研究表明甜樱桃早紫和那翁品种果实中有机酸含量在果实生长发育的整个过程中均逐渐升高,成熟时含量达到最高值。本研究结果表明:高酸品种早大果和彩虹的总酸含量和苹果酸含量在整个果实发育过程中呈持续上升趋势,而低酸品种早蜜露和玲珑脆总酸和苹果酸含量呈现先降低后升高的趋势,但4个品种均在谢花后22 d开始快速升高,在临近成熟时升高速度减缓。魏国芹等[5]和秦新惠等[6]对不同甜樱桃品种研究发现,果实中的有机酸主要有苹果酸和柠檬酸。本研究中,酒石酸含量随果实发育整体呈上升趋势,柠檬酸含量则随果实发育而降低,在果实成熟时期,4 个甜樱桃品种实中酒石酸含量要高于同时期果实中柠檬酸含量,但在果实发育初期,4个不同品种中柠檬酸含量要高于酒石酸含量。此外,笔者还分析了甜樱桃果实中另外4 种有机酸的含量及其变化,它们在4 个甜樱桃品种发育过程中的变化趋势差异较大且含量较低,其中乙酸在早熟品种早大果成熟时期未检测到,而在早熟品种早蜜露成熟果实中含量最高为0.18 mg·g-1;草酸含量在4个甜樱桃品种果实发育初期较高,但在果实成熟期均未检测到。莽草酸含量变化趋势相对平稳,可能与其为苹果酸代谢途径中间产物有关;富马酸在4个甜樱桃品种中含量极低,这与Usenik 等[22]研究结果差异较大,这种有机酸组分含量差异应该是与品种不同有关。

在园艺作物果实中,糖酸组分及其含量与比例是决定果实甜酸风味的重要指标[2,20],水果甜酸风味通常采用可溶性固形物含量、可溶性糖含量、固酸比和糖酸比等指标进行评价,但目前针对以上评价方法均有争议。就果实甜度而言,不同糖组分对甜度的贡献并不相同,葡萄糖、果糖和山梨醇的甜度贡献值分别为0.75,1.75和0.40;不同有机酸产生的酸味强度具有差异性,柠檬酸产生酸感快,持续时间短,而苹果酸酸味爽口,微有涩苦,呈味速度较缓慢,酸感维持时间长于柠檬酸,酒石酸稍有涩感,但酸味爽口[3]。赵剑波等[30]、梁俊等[31]、靳志飞等[2]研究认为,用甜度/总酸为指标评测苹果风味则比较合理。现在已利用总甜度值/总酸为指标评价多种水果的甜酸风味[30-33]。本研究采用总糖、总甜度值、糖酸比和甜酸比等指标对4 个甜樱桃品种的甜酸味进行评价,发现虽然糖酸比和甜酸比排序结果一致,但品种间糖酸比和甜酸比差异性不完全相同。早大果虽然总糖和总甜度值显著高于早蜜露,但其口感风味却较酸;早蜜露总糖和总甜度值最低,但其口感并不酸,其甜酸比值与彩虹差异不显著,这可能与早蜜露含酸量较低、未达到其味感阈值有关。因此,笔者认为,本研究中甜樱桃风味主要取决于含酸量,含糖量对甜樱桃风味的影响较小;风味较甜的甜樱桃含糖量不一定很高,但含酸量一定很低,这与前人在其他水果中的研究结果一致[3]

4 结 论

甜樱桃果实中可溶性糖主要为葡萄糖、果糖和山梨醇,以葡萄糖含量最高;有机酸主要为苹果酸。在果实不同发育期,不同糖组分的含量均呈逐渐升高的趋势;在果实发育过程中,低酸品种早蜜露和玲珑脆的有机酸含量先降低后增加,高酸品种早大果和彩虹的有机酸含量持续增加。谢花22 d后4个甜樱桃品种果实糖酸均开始快速积累,花后28 d 早熟品种早大果、早蜜露的可溶性糖积累开始减缓,花后40 d中熟品种彩虹和玲珑脆的可溶性糖积累开始减缓;在花后28 d,4 个品种有机酸含量的增加速度均减缓。综上,谢花22 d 后是甜樱桃果实品质形成的关键时期,也是加强水肥管理进行果实品质调控的关键时期。有机酸含量是影响甜樱桃果实风味的主要因素,甜酸比从高到低依次为玲珑脆>彩虹>早蜜露>早大果。在果实成熟期,可溶性糖和有机酸积累均减慢,为甜樱桃适宜采摘期。有研究表明可溶性糖含量与可溶性固形物含量呈极显著正相关[15,34],因此,可根据可溶性固形物含量变化进行判定。花后28 d以后是甜樱桃品种早大果和早蜜露的适宜采收期,花后40 d 以后是甜樱桃品种彩虹和玲珑脆的适宜采收期。

参考文献References:

[1] 刘有春,陶承光,魏永祥,刘成,王兴东,刘威生,杨艳敏.越橘果实糖酸含量和不同发育阶段的变化及其与叶片中可溶性糖含量的相关关系[J].中国农业科学,2013,46(19):4110-4118.LIU Youchun,TAO Chengguang,WEIYongxiang,LIU Cheng,WANG Xingdong,LIU Weisheng,YANG Yanmin. Fruit sugar and acid content,variation at different fruit development stages and their relationship with leaf soluble sugar content of blueberry[J].Scientia Agricultura Sinica,2013,46(19):4110-4118.

[2] 靳志飞,杨家全,陈红,安华明.八个贵州地方桃品种果实甜酸风味品质分析[J].植物科学学报,2015,33(1):90-97.JIN Zhifei,YANG Jiaquan,CHEN Hong,AN Huaming.Analysis of sweet and sour flavor in eight local peach cultivars from Guizhou and evaluation of their flavor quality[J]. Plant Science Journal,2015,33(1):90-97.

[3] 郑丽静,聂继云,闫震.糖酸组分及其对水果风味的影响研究进展[J].果树学报,2015,32(2):304-312.ZHENG Lijing,NIE Jiyun,YAN Zhen.Advances in research on sugars,organic acids and their effects on taste of fruits[J]. Journal of Fruit Science,2015,32(2):304-312.

[4] 姜凤超,王玉柱,孙浩元,杨丽,张俊环.桃果实细胞内糖酸分布对果实甜酸风味的影响[J]. 西北植物学报,2014,34(6):1227-1232.JIANG Fengchao,WANG Yuzhu,SUN Haoyuan,YANG Li,ZHANG Junhuan. Effects of intracellular distribution of sugar and acid on sweetness and sourness of peach[J]. Acta Botanica Boreali-Occidentalia Sinica,2014,34(6):1227-1232.

[5] 魏国芹,孙玉刚,孙杨,杨兴华.甜樱桃果实发育过程中糖酸含量的变化[J].果树学报,2014,31(增刊1):103-109.WEIGuoqin,SUN Yugang,SUN Yang,YANG Xinghua.Changes of sugar and acid constituents in sweet cherry during fruit development[J]. Journal of Fruit Science,2014,31(Suppl. 1):103-109.

[6] 秦新惠,张涛,张永久.甜樱桃果实发育中糖酸组分及组织结构的变化规律[J].经济林研究,2020,38(3):68-75.QIN Xinhui,ZHANG Tao,ZHANG Yongjiu. Sugar,acid and micro-structure changes during fruit development of sweet cherry (Prunus avium L.)[J]. Non-wood Forest Research,2020,38(3):68-75.

[7] YANG S B,МENG Z P,LIY N,CHEN R X,YANG Y Z,ZHAO Z Y. Evaluation of physiological characteristics,soluble sugars,organic acids and volatile compounds in‘Orin’apples(Malus domestica) at different ripening stages[J]. Мolecules,2021,26(4):807.

[8] 胡红菊,陈启亮,王友平,田瑞,杨晓平.4 个砂梨品种果实发育过程中主要糖酸含量的变化[J].华中农业大学学报,2007,26(2):251-255.HU Hongju,CHEN Qiliang,WANG Youping,TIAN Rui,YANG Xiaoping. Changes in contents of sugar and acid during fruit development of four sand pears[J]. Journal of Huazhong Agricultural University (Natural Science Edition),2007,26(2):251-255.

[9] 沈志军,马瑞娟,俞明亮,蔡志翔,宋宏峰,李晓.桃果实发育过程中主要糖及有机酸含量的变化分析[J].华北农学报,2007,22(6):130-134.SHEN Zhijun,МA Ruijuan,YU Мingliang,CAIZhixiang,SONG Hongfeng,LIXiao. Regularity analysis of main sugar and acid in fruit development of peach[J].Acta Agriculturae Boreali-Sinica,2007,22(6):130-134.

[10] 郝瑞鑫,王燕,秦宇,郑书旗,董宁光,郝燕燕.不同类型山楂果实发育过程中糖酸积累特性研究[J].中国果树,2023(8):30-39.HAO Ruixin,WANG Yan,QIN Yu,ZHENG Shuqi,DONG Ningguang,HAO Yanyan. Study on the characteristics of sugar and acid accumulation during the development of different types of hawthorn fruits[J].China Fruits,2023(8):30-39.

[11] 孙志超,郭新淼,李蒙,张若彤,王晓萍,谢岩,王晖,李季生.2个桑树品种果实不同发育时期营养物质的变化[J].果树学报,2024,41(4):703-711.SUN Zhichao,GUO Xinmiao,LIМeng,ZHANG Ruotong,WANG Xiaoping,XIE Yan,WANG Hui,LIJisheng. Nutrientional compound changes in fruits of 2 mulberries (Morus alba)varieties at different development stages[J]. Journal of Fruit Science,2024,41(4):703-711.

[12] 孙玉刚,侯森,付全娟,魏国芹,杨兴华.世界甜樱桃育种成就及主要品种[J].落叶果树,2018,50(4):5-10.SUN Yugang,HOU Sen,FU Quanjuan,WEIGuoqin,YANG Xinghua. Breeding achievements and main varieties of sweet cherry in the world[J].Deciduous Fruits,2018,50(4):5-10.

[13] SERRANO М,GUILLÉN F,МARTÍNEZ-ROМERO D,CASTILLO S,VALERO D. Chemical constituents and antioxidant activity of sweet cherry at different ripening stages[J].Journal of Agricultural and Food Chemistry,2005,53(7):2741-2745.

[14] TERIBIA N,TIJERO V,МUNNÉ-BOSCH S. Linking hormonal profiles with variations in sugar and anthocyanin contents during the natural development and ripening of sweet cherries[J].New Biotechnology,2016,33(6):824-833.

[15] 王宝刚,李文生,侯玉茹,常虹,周家华,石磊,张开春.甜樱桃果实成熟过程中糖累积与品质形成研究[J].果树学报,2017,34(5):576-583.WANG Baogang,LIWensheng,HOU Yuru,CHANG Hong,ZHOU Jiahua,SHILei,ZHANG Kaichun. Sugars accumulation and quality in the fruits of sweet cherry during ripening[J].Journal of Fruit Science,2017,34(5):576-583.

[16] CHEN C Q,CHEN H X,YANG W L,LIJ,TANG W J,GONG R G.Transcriptomic and metabolomic analysis of quality changes during sweet cherry fruit development and mining of related genes[J]. International Journal of Мolecular Sciences,2022,23(13):7402.

[17] 王柏松,高文民,马小雪,杨巍.苹果等4 种水果果实糖酸组成及风味特点研究[J].湖南农业科学,2014(18):50-53.WANG Baisong,GAO Wenmin,МA Xiaoxue,YANG Wei.Sugar-acid compositions and flavor characteristics in four kinds of common fruit[J].Hunan Agricultural Sciences,2014(18):50-53.

[18] 李晓颖,谭洪花,房经贵,韩键,宋长年.果树果实的风味物质及其研究[J].植物生理学报,2011,47(10):943-950.LIXiaoying,TAN Honghua,FANG Jinggui,HAN Jian,SONG Changnian.Flavor compounds in fruits and research on them[J].Plant Physiology Journal,2011,47(10):943-950.

[19] BALLISTRERIG,CONTINELLA A,GENTILE A,AМENTA М,FABRONIS,RAPISARDA P. Fruit quality and bioactive compounds relevant to human health of sweet cherry (Prunus avium L.)cultivars grown in Italy[J].Food Chemistry,2013,140(4):630-638.

[20] 吴斌,苏金生,邢文婷,宋顺,马伏宁,黄东梅.不同品种百香果果实转色期糖酸品质性状评价[J].果树学报,2024,41(12):2532-2542.WU Bin,SU Jinsheng,XING Wenting,SONG Shun,МA Funing,HUANG Dongmei. Evaluation of sugar and acid quality traits of different passionfruit varieties during coloration period[J].Journal of Fruit Science,2024,41(12):2532-2542.

[21] 徐子媛,严娟,蔡志翔,孙朦,宿子文,沈志军,马瑞娟,俞明亮.桃果实糖酸和酚类物质与口感风味的相关性[J].江苏农业学报,2022,38(1):190-199.XU Ziyuan,YAN Juan,CAIZhixiang,SUN Мeng,SU Ziwen,SHEN Zhijun,МA Ruijuan,YU Мingliang. Correlation between soluble sugar,organic acid and phenolic substances with tasted flavor in peach fruit[J]. Jiangsu Journal of Agricultural Sciences,2022,38(1):190-199.

[22] USENIK V,FABČIČ J,ŠTAМPAR F. Sugars,organic acids,phenolic composition and antioxidant activity of sweet cherry(Prunus avium L.)[J].Food Chemistry,2008,107(1):185-192.

[23] 何志刚,李维新,林晓姿,潘葳,苏德森,庄林歆.枇杷果实成熟和贮藏过程中有机酸的代谢[J].果树学报,2005,22(1):23-26.HE Zhigang,LIWeixin,LIN Xiaozi,PAN Wei,SU Desen,ZHUANG Linxin.Organic acids metabolism of loquat fruit during maturity and storage[J]. Journal of Fruit Science,2005,22(1):23-26.

[24] 王婷,王永章,刘更森,刘成连,原永兵.红灯甜樱桃果实发育过程中糖代谢规律及相关酶活性变化[J].落叶果树,2008,40(4):15-17.WANG Ting,WANG Yongzhang,LIU Gengsen,LIU Chenglian,YUAN Yongbing. Changes of sugar metabolism and related enzyme activities during fruit development of sweet cherry‘Hongdeng’[J].Deciduous Fruits,2008,40(4):15-17.

[25] 陈发兴,祁芳斌.蔷薇科果树果实糖的形成与调控机理研究进展[J].福建果树,2009(4):46-51.CHEN Faxing,QIFangbin. Research progress on the formation and regulation mechanism of fruit sugar in Rosaceae fruit trees[J].Fujian Fruits,2009(4):46-51.

[26] 吴昌琦,贾璐婷,樊进补,张臻,马敏,张苏铃,刘志强,任雅倩,王利斌,张绍铃.园艺作物果实糖酸转化研究进展[J].中国果菜,2020,40(11):39-47.WU Changqi,JIA Luting,FAN Jinbu,ZHANG Zhen,МA Мin,ZHANG Suling,LIU Zhiqiang,REN Yaqian,WANG Libin,ZHANG Shaoling.Research progress of sugar and acid transformation in horticultural fruits[J]. China Fruit &Vegetable,2020,40(11):39-47.

[27] 熊碧玲,汪志辉,刘燕.鲜黄梨果实糖积累及山梨醇转化相关酶活性的变化[J].中国南方果树,2011,40(4):24-26.XIONG Biling,WANG Zhihui,LIU Yan.Changes in sugar accumulation and enzymatic activities of sorbitol metabolism in developing fruit of Pyrus pyrifolia cv. Sunhwang[J]. South China Fruits,2011,40(4):24-26.

[28] OURA Y,YAМADA K,SHIRATAKE K,YAМAKIS. Purification and characterization of a NAD+-dependent sorbitol dehydrogenase from Japanese pear fruit[J]. Phytochemistry,2000,54(6):567-572.

[29] 许晖,王飞,郝文红.甜樱桃果实发育及其营养成分的变化[J].果树科学,1992,9(4):228-230.XU Hui,WANG Fei,HAO Wenhong.Fruit development and nutrition changes in sweet cherry[J]. Journal of Fruit Science,1992,9(4):228-230.

[30] 赵剑波,姜全,郭继英,陈青华,李绍华.桃果实风味品质指标测定与品种筛选[J].江苏农业科学,2007,35(6):165-168.ZHAO Jianbo,JIANG Quan,GUO Jiying,CHEN Qinghua,LIShaohua.Peach fruit flavor quality index determination and variety screening[J].Jiangsu Agricultural Sciences,2007,35(6):165-168.

[31] 梁俊,郭燕,刘玉莲,李敏敏,赵政阳.不同品种苹果果实中糖酸组成与含量分析[J].西北农林科技大学学报(自然科学版),2011,39(10):163-170.LIANG Jun,GUO Yan,LIU Yulian,LIМinmin,ZHAO Zhengyang.Analysis of contents and constituents of sugar and organic acid in different apple cultivars[J]. Journal of Northwest A& F University(Natural Science Edition),2011,39(10):163-170.

[32] 赵尊行,孙衍华,黄化成.山东苹果中可溶性糖、有机酸的研究[J].山东农业大学学报,1995,26(3):355-360.ZHAO Zunxing,SUN Yanhua,HUANG Huacheng. Research of soluble sugars and organic acids in apples of Shandong[J]. Journal of Shandong Agricultural University,1995,26(3):355-360.

[33] 林媚,姚周麟,王天玉,徐阳,徐建国,张伟清.8 个杂交柑橘品种的糖酸组分含量及特征研究[J].果树学报,2021,38(2):202-211.LIN Мei,YAO Zhoulin,WANG Tianyu,XU Yang,XU Jianguo,ZHANG Weiqing. A study on the components and characteristics of sugars and acids in 8 hybrid Citrus cultivars[J]. Journal of Fruit Science,2021,38(2):202-211.

[34] 李振亭,张燕妮,王芳.早大果甜樱桃果实发育过程中糖的动态变化[J].烟台果树,2016(2):12-15.LIZhenting,ZHANG Yanni,WANG Fang.Dynamic changes of sugar during fruit development of early big fruit sweet cherry[J].Yantai Fruits,2016(2):12-15.

Changes of sugar and acid composition and content during fruit development in four sweet cherry varieties

LIYusheng1, CHEN Long1, WU Yongjie1, YAN Zhuo1, WANG Xumin1, LIShuqing2, JIANG Lei2,WANG Hui3,CHENG Hehe1,WU Yaqin1,JIXinmei1*
(1Changli Institute of Pomology,Hebei Academy of Agricultural and Forestry Sciences,Changli 066600,Hebei,China;2Langfang Academy of Agricultural and Forestry Sciences,Langfang 065000,Hebei,China;3Qinhuangdao Linhai Ecological Agriculture Co.,Ltd.Shanhaiguan 066200,Hebei,China)

Abstract:【Objective】Sugar and acid components and content are important indicators affecting the flavor and quality of sweet cherry fruit.Мany studies of sweet cherry have focused on changes of qualities, sugar and acid contents during fruit development. However, there has been very few study on changes of sugar and acid contents during development of sweet cherry fruits with different flavors and different ripening periods.The objective of the study was to elucidates the dynamic change of sugar and acid during fruit development of sweet cherry with different flavors and different ripening periods, and provide a reference for fruit quality regulation, fertilizer and water management, and timely harvest of sweet cherry fruits.【Мethods】The tested varieties included high acidity sweet Cherry cultivars Кpyпнoплoднaя, Caihong and low acidity sweet cherry cultivars Zaomilu, Linglongcui.Кpyпнoплoднaя and Zaomilu are early-repening cultivars,while Caihong and Linglongcui are mediumrepening cultivars.The samples were collected for the first time on the 10th day after flowering,and then collected every 5 days until fruit repening. High-performance liquid chromatographic methods were used to identify and quantify sugar and acid during different developmental stages of four different sweet cherry cultivars.The correlation between the dynamic changes of sugar and acid during fruit development was analyzed.【Results】The results indicated that glucose, fructose and sorbitol were the major soluble sugar components of all four sweet cherry cultivars,and the level of glucose was the highest in all tested cultivars while the sorbitol was the lowest. the change tendency of the contents of total sugar and components were basically similar in four different sweet cherry cultivars. It increased constantly during fruit development. The total sugar and sugar components of four sweet cherry cultivars entered a rapid accumulation period from 22th day after flowering.The total sugar accumulation began to slow down from 28th day after flowering in early ripening varieties Кpyпнoплoднaя and Zaomilu,while which began to slow down on the 40th days after flowering in medium-repening varieties Caihong and Linglongcui,and the soluble sugar content of all four sweet cherry cultivars reached the highest at fruit ripening. In mature fruits, the total sugar content of medium-repening varieties Caihong and Linglongcui was significantly higher than that of early-repening varieties Кpyпнoплoднaя and Zaomilu.According to the components and content of organic acid in four sweet cherry cultivars,the major organic acid was malic acid,followed by tartaric acid and then citric acid.The level of acetic acid,oxalic acid,shikimic acid and fumaric acid were all very low and it had significantly different change patterns during fruit development. The oxalic acid decreased to zero in all of four different sweet cherry cultivars during fruit ripening. During fruit development, the change of total acid and malic acid was completely similar in different cultivars. The content of malic acid had a stable accumulation period in the early stage of fruit development in four different varieties, and began to increase rapidly after 22 days of flowering, slowed down after 28 days of flowering. The total acid and malic acid content of high acidity varieties Кpyпнoплoднaя and Caihong showed a continuous upward trend during the whole fruit development process,while it showed a trend of decreasing first and then increasing in low acidity varieties Zaomilu and Linglongcui. The tartaric acid in all four varieties showed an overall upward trend and the level was lower than that of malic acid during fruit development.In the process of fruit development, the content of citric acid in Caihong and Linglongcui showed a downward trend, while it showed an upward trend in Кpyпнoплoднaя and Zaomilu.The correlation analysis revealed significantly positive correlations between the three soluble sugars in the four sweet cherry fruits.The contents of three soluble sugars and malic acid were significantly and positively correlated. The contents of three soluble sugars and malic acid showed significantly or highly significantly and negatively correlations with the contents of citric acid and oxalic acid.【Conclusion】The glucose was the major sugar component of sweet cherry, and the total sugar content showed an upward tendency during the course of fruit development.The total sugar content of medium-repening varieties was significantly higher than that of early-repening varieties at fruit ripening stage. The malic acid was the main organic acid in all four sweet cherry cultivars,and the change trend of total acid content was consistent with malic acid,which showed an upward trend with fruit development. During fruit development, there were differences in the change tendency of organic acid content between high acidity varieties and low acidity varieties.The period 22 days after flowering was a key period for the internal comprehensive quality formation for sweet cherries.Therefore,it would be the key period to strengthen the management of fertilizer and water, and meanwhile, this stage would be the key period for fruit quality regulation. When the fruit was fully ripe, the ratio of sweetness to acid from high to low was as follows:Caihong >Linglongcui >Zaomilu >Кpyпнoплoднaя.

Key words:Sweet cherry;Organic acid;Soluble sugar;Development process;Flavor

中图分类号:S662.5

文献标志码:A

文章编号:1009-9980(2025)09-2057-13

DOI:10.13925/j.cnki.gsxb.20250179

收稿日期:2025-04-07

接受日期:2025-04-28

基金项目:河北省农林科学院科技创新专项(2023KJCXZX-CGS-10);河北省现代种业科技创新专项(21326310D);河北省现代农业产业技术体系建设专项(HBCT2024190202);河北省农林科学院科技创新专项(2022KJCXZX-CGS-5);国家现代农业产业技术体系资助项目(CARS-30-ZY-27)

作者简介:李玉生,男,研究员,主要从事果树栽培生理及分子生物学研究。E-mail:liyusheng1980@126.com

*通信作者Author for correspondence. E-mail:jxm1008@163.com