猕猴桃(Actinidia deliciosa)最早起源于中国,因含有丰富的营养成分和独特的风味,特别是高含量的维生素C(Vc)使其备受青睐[1]。据统计,在中国共有21个省份种植猕猴桃,其中四川省猕猴桃种植面积在2023 年达5.2 万hm2,产量49 万t,面积和产量均居全国第2 位[2]。四川省猕猴桃种植品种以红肉为主,占全球红肉猕猴桃总面积的38%,在全国占比达61%,稳居世界最大红肉品种生产基地地位[3]。本试验选用的红实2 号,是从红阳×SF0612M中选出的红肉新品种,抗性强,果实口感好,目前已达到一定的种植规模,具有较大的商业前景[4]。但在猕猴桃经营管理中,施肥不合理成为制约猕猴桃质量提升的重要因素[1,5]。已有研究表明,猕猴桃对氯的需求很高,是其他作物的10倍以上[6-8]。果农却受长期“忌氯”观念的影响,在生产上刻意回避含氯化肥[1,5,8]。同时因氯元素自身化学性质及其与其他元素的拮抗作用,极易发生迁移、淋失和植物吸收障碍,导致树体缺氯,严重制约猕猴桃树体生长和产量品质提升[9]。猕猴桃生物量、产量与光合效率密切相关,果实品质的形成受树体营养状况的影响[10]。因此,研究不同施氯量对猕猴桃植株光合、矿质元素吸收、果实产量及品质的影响具有重要意义。
猕猴桃果实的产量、品质不仅受品种、土壤特性的影响,还与猕猴桃植株光合生理、矿质元素吸收利用有关。前人研究表明,土壤有机质含量是东红猕猴桃果实干物质、可溶性固形物、可滴定酸含量等品质指标的重要影响因子,其次是速效钾、有效硫和碱解氮含量[11]。Raiesi 等[10]研究表明,猕猴桃钙、磷、钾、镁含量的提高对促进猕猴桃品质有重要作用。光合作用驱动着植物整体的生长与发育[12]。研究表明,叶绿素含量和猕猴桃果实糖酸比呈正相关[13]。但关于氯对猕猴桃植株光合、矿质元素吸收、果实产量及品质的调控研究报道较少。前人研究表明,氯对高等植物氮、磷、钾、钙、镁等的吸收和利用有一定影响[14-15]。合理施氯可以提高猕猴桃产量,利于果实增糖降酸,改善猕猴桃风味[1,5]。前人研究虽基本明确氯对猕猴桃的增产提质效应,但不同施氯量对猕猴桃植株光合、矿质元素吸收、果实产量及品质的调控效应以及关键因子分析的报道相对较少。基于此,本研究在四川省绵竹市猕猴桃种植区,以红实2号猕猴桃为研究材料,通过两年不同施氯水平的田间试验,分析猕猴桃植株光合、矿质元素吸收、果实产量及品质的变化,并结合组间热图分析确定关键影响因素,为优化施用猕猴桃含氯肥料方案及构建高效氯营养策略提供理论依据。
试验在四川省绵竹市广济镇祈祥村华胜农业股份有限公司的猕猴桃园区(104°06′25″E,31°14′53″N)进行。地处龙门山山前平原,海拔576 m,年均气温15.3 ℃,多年平均降水量1053 mm,降雨集中在7—9月,为亚热带湿润季风气候。土壤类型为潮土,质地为砂质黏壤土,基础理化性质为:pH 6.90、有机质含量(w,后同)53.6 g·kg-1、全氮含量2.24 g·kg-1、碱解氮含量74.4 mg·kg-1、有效磷含量54.7 mg·kg-1、速效钾含量342 mg·kg-1、水溶性氯含量9.61 mg·kg-1。
猕猴桃品种:红实2号,砧木为美味系野生猕猴桃,于2014 年栽种,为成年盛产果树,株行距3 m×4 m,种植密度825株·hm-2,雌雄比例8∶1。
肥料:氮肥用尿素(N含量46%)和氯化铵(N含量24%,Cl 含量64%),磷肥用磷酸一铵(N 含量11%、P2O5含量44%),钾肥用硫酸钾(K2O含量52%)和氯化钾(K2O含量60%,Cl含量47%)。
设置4个氯水平处理,分别为0 kg·hm-2(Cl-0)、90 kg·hm-2(Cl-90)、180 kg·hm-2(Cl-180)、360 kg·hm-2(Cl-360)。每个处理3 次重复,田间随机区组排列。以不同种类的肥料(钾肥用硫酸钾或氯化钾,氮肥用尿素或氯化铵)调配成不同的施氯水平。各处理的氮磷钾用量一致,分别为N 270 kg·hm-2、P2O5 150 kg·hm-2、K2O 225 kg·hm-2。猕猴桃全年分6次施肥,包括基肥、萌芽肥、花前肥、促果肥、膨果肥和增质肥,各处理施肥量见表1。施肥方式为撒施后喷水,以促进肥料溶解渗入根层。其他田间管理如修剪、灌溉、病虫草害防治等都与当地高产栽培措施一致。试验连续两年(2022年、2023年)以定位方式进行。
表1 2022—2023 年猕猴桃全生育期各处理施肥量
Table 1 Fertilizer application by treatments for kiwifruit at full life span during 2022 to 2023(N∶P2O5∶K2O∶Cl)(kg·hm-2)
施肥时期Fertilization period基肥Basal fertilizer萌芽肥Seedling fertilizer花前肥Pre-flowering fertilizer促果肥Fruit-promoting fertilizer膨果肥Fruit-swelling fertilizer增质肥Fruit enrichment fertilizer Cl-0 27∶15∶22.5∶0 27∶15∶22.5∶0 54∶30∶22.5∶0 81∶45∶45∶0 54∶30∶67.5∶0 27∶15∶45∶0 Cl-90 27∶15∶22.5∶8.8 27∶15∶22.5∶8.8 54∶30∶22.5∶8.8 81∶45∶45∶17.6 54∶30∶67.5∶26.4 27∶15∶45∶17.6 Cl-180 27∶15∶22.5∶17.6 27∶15∶22.5∶17.6 54∶30∶22.5∶17.6 81∶45∶45∶35.3 54∶30∶67.5∶52.9 27∶15∶45∶35.3 Cl-360 27∶15∶22.5∶36 27∶15∶22.5∶36 54∶30∶22.5∶36 81∶45∶45∶72.1 54∶30∶67.5∶108.1 27∶15∶45∶72.1
1.4.1 光合指标测定 于猕猴桃大果期(2023 年7月下旬),选择晴朗无风的天气,在09:00—11:00,采用LI-6400 光合仪(LI-COR)进行光合参数的测量(光照度为1200 PAR,CO2浓度为400 μmol·mol-1)[12]。
1.4.2 叶绿素含量测定 于光合测定同时采集叶片,采用丙酮-乙醇浸提-分光光度法测定叶片叶绿素a(Chl a)、叶绿素b(Chl b)、总叶绿素(Chl)含量[16]。
1.4.3 干物质积累量测定 于鲜果收获期,每小区选3 株果树,将当年生枝条、叶片、果实全部剪下分别称总鲜质量,然后分部位混匀后取3 kg左右样品带回实验室,烘干测水分含量,折算干物质积累量。
1.4.4 矿质养分含量的测定 分别于2022年、2023年收获期,从树冠东南西北四个方向,采集位于果树中部、生长中等、无病虫害的当年生枝条上从基部数第5 枚成熟正常叶片,用于矿质养分的测定。采用H2SO4-H2O2消煮,蒸馏滴定法测定全氮含量;采用钒钼黄比色法测定全磷含量;采用火焰分光光度法测定全钾含量[17]。采用HNO3-HClO4消煮-原子吸收法(ICP-MS)测定全钙、镁、铁、锰、锌含量[17]。采用沸水浸提-紫外分光光度法测定氯离子含量[18]。
1.4.5 果实产量及品质测定 分别于2022年、2023年收获期,每小区选3株果树全部采果后称总质量,计算单株果质量,后按种植密度折算产量。然后按猕猴桃质量等级标准(GB/T 40743—2021)进行果品分级[19],分级计质量,计算大、中、小果的占比。每小区另选3株果树,在树冠东南西北4个方向随机采集30 个代表性果实,用天平称单果质量,用游标卡尺测量果实横径、纵径,计算果形指数(果形指数=果实纵径/果实横径);之后将果实装袋,室温条件下放置,直到果实软熟可食后测定果实内在品质。用WTY-Ⅱ型手持测糖仪(北京鑫润科诺仪器仪表有限公司,中国)测定可溶性固形物含量(SSC);采用酸碱滴定法测定可滴定酸(TA)含量;采用2,6-二氯酚靛酚法测定Vc 含量;采用蒽酮比色法测定可溶性糖(SS)含量,计算固酸比(固酸比=可溶性固形物含量/可滴定酸含量)[16]。
用Excel 2010进行数据处理,用SPSS 26.0对数据进行方差分析,使用Origin 2021 进行热图分析及绘图。
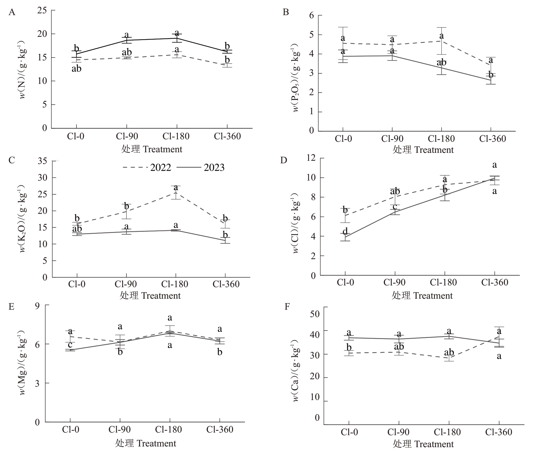
施氯显著影响猕猴桃产量及果品分级(图1-A、B)。随着施氯量的增加,猕猴桃产量呈先增加后降低的趋势。与Cl-0 处理相比,施氯处理的产量年平均增加0.68%~14.65%。通过果实产量与施氯量的拟合分析得出,2022年、2023年施氯量分别为189.3、153.8 kg·hm-2时产量最高;猕猴桃平均最高产量的氯施用量为164.0 kg·hm-2。从果品分级的两年结果来看(图1-B),随施氯量的增加,大果率呈先升高后降低的趋势,小果率呈相反趋势,其中Cl-90、Cl-180处理的调控效果较好。与Cl-0处理相比,Cl-90、Cl-180处理的大果率年平均分别升高11.35%、10.48%,小果率分别降低8.80%、9.41%。表明适量施用含氯肥料对提高果实产量,尤其升高大果率具有显著效果。
图1 施氯对猕猴桃鲜果产量及干物质积累量的影响
Fig.1 Effect of chloride application on fresh fruit yield and dry matter accumulation of kiwifruit
数据为3 次重复的平均值±标准误差,不同小写字母表示同年度不同处理间差异达到显著水平(P<0.05)。下同。
The data are the mean ± standard error of the three replicates, different lowercase letters indicate that the differences between treatments in the same year reached the significant level(P<0.05).The same below.
施氯显著影响猕猴桃干物质积累量与分配比例(图1-C,D)。随施氯量的增加,干物质积累量呈先增加后减少的趋势。综合两年结果来看,Cl-180 处理的效果最好。与Cl-0 处理相比,Cl-180 处理的干物质积累量年平均增加15.38%。猕猴桃各部位干物质分配比例(图1-D)总体表现为:果实(57.59%~63.19%)>新生枝(26.36%~31.41%)>叶片(10.30%~13.33%);不同施氯水平间猕猴桃果实、叶片的干物质分配比例有显著差异。综合两年结果可以看出,与Cl-0处理相比,Cl-180处理提高了果实、枝条干物质的分配比例,表明适量施氯(Cl-180处理)可以增加猕猴桃果树干物质的积累量,尤其是果实、枝条部位,有利于增强树势和贮存养分。
施氯对猕猴桃果实外观品质的影响如表2 所示。不同施氯处理下果实横、纵径的差异并不显著;随施氯水平的增加,果形指数呈逐渐下降的趋势。单果质量连续两年均呈随施氯水平的增加先增后减的趋势。2022年,Cl-90处理的单果质量显著高于Cl-0、Cl-360处理;2023年,Cl-90、Cl-180处理的单果质量显著高于Cl-0、Cl-360处理。表明适量施氯有利于果实单果质量的增加。
表2 施氯对猕猴桃果实外观品质的影响
Table 2 Effect of chloride application on kiwifruit fruit appearance quality
注:同列不同小写字母表示同年度不同处理间差异显著(P<0.05)。下同。
Note:Different small letters in the same column indicate significant differences between treatments in the same year(P<0.05).The same below.
年份Year 2022 2023单果质量Single fruit mass/g 83.3±2.64 c 99.2±1.9 9 a 92.1±2.53 ab 86.3±1.88 bc 82.8±1.31 b 96.7±1.37 a 101.0±1.93 a 88.3±3.6 b处理Treatment Cl-0 Cl-90 Cl-180 Cl-360 Cl-0 Cl-90 Cl-180 Cl-360果实纵径Longitudinal diameter of fruit/mm 56.9±0.94 a 58.8±0.70 a 57.6±1.07 a 57.1±0.60 a 57.7±0.53 a 58.4±0.22 a 58.5±0.57 a 57.3±0.92 a果实横径Transverse diameter of fruit/mm 49.5±0.24 a 51.7±0.86 a 50.8±0.85 a 51.8±1.22 a 50.1±0.65 a 51.6±0.34 a 52.3±1.03 a 52.2±0.68 a果形指数Fruit shape index 1.15±0.02 a 1.14±0.03 a 1.13±0.01 a 1.10±0.02 a 1.15±0.01 a 1.13±0.01 ab 1.12±0.02 ab 1.10±0.02 b
施氯对猕猴桃果实内在品质的影响如表3 所示。可溶性糖、可溶性固形物含量、固酸比受施氯水平影响显著,连续两年均呈现出随施氯水平的升高先增加后减少的趋势,均在Cl-180 处理效果最好。与Cl-0处理相比,2022年Cl-180处理的可溶性糖、可溶性固形物含量、固酸比分别提高12.98%、14.95%、24.09%;2023 年,Cl-180 处理分别提高11.33%、10.55%、22.03%。与之相反,果实可滴定酸含量随氯量的增加呈先减少后增加的趋势。随着施氯水平的升高,果实Vc含量略有下降。2022年,高氯处理对果实Vc含量的影响显著,与Cl-0处理相比,Cl-360处理果实Vc含量降低23.17%。以上结果表明,适量氯处理有利于猕猴桃果实增糖降酸,改善猕猴桃风味,高氯处理可能会增加降低果实Vc含量的风险。
表3 施氯对猕猴桃果实内在品质的影响
Table 3 Effect of chloride application on the intrinsic quality of kiwifruit fruits
年份Year 2022 2023处理Treatment Cl-0 Cl-90 Cl-180 Cl-360 Cl-0 Cl-90 Cl-180 Cl-360 w(维生素C)Vitamin C content,Vc/(mg·100 g-1)118.0±1.74 a 115.0±11.0 ab 101.0±1.74 ab 95.5±4.95 b 115.0±1.28 a 110.0±5.86 a 103.0±12.0 a 100.0±4.88 a w(可溶性糖)Soluble sugar content/%14.4±0.41 b 16.0±0.50 ab 16.3±0.72 a 15.8±0.45 ab 16.0±0.92 a 16.4±0.51 a 17.8±0.22 a 16.0±0.13 a w(可溶性固形物)Soluble solid content,SSC/%13.7±0.06 c 15.3±0.13 b 15.7±0.06 a 15.3±0.12 b 15.1±0.03 c 16.3±0.38 ab 16.7±0.30 a 15.6±0.16 bc w(可滴定酸)Titratable acid content,TA/%1.56±0.06 a 1.52±0.06 a 1.45±0.05 a 1.55±0.06 a 1.87±0.02 a 1.74±0.01 a 1.70±0.10 a 1.80±0.08 a固酸比SSC/TA 8.76±0.35 b 10.10±0.47 ab 10.90±0.36 a 9.90±0.45 ab 8.08±0.10 b 9.39±0.26 ab 9.86±0.68 a 8.75±0.45 ab
如表4 所示,猕猴桃叶片叶绿素a、总叶绿素含量和净光合速率受施氯水平影响显著,均呈现出随施氯水平的升高先增加后减少的趋势,均为Cl-180处理最高。与Cl-0 处理相比,Cl-180 处理的叶片叶绿素a、总叶绿素含量和净光合速率分别提高10.73%、11.55%、4.43%。说明适量氯处理可以提高叶片叶绿素含量,进而增强叶片光合能力,促进叶片有机物的转化。
表4 施氯对猕猴桃叶片叶绿素及光合特性的影响
Table 4 Effect of chloride application on chlorophyll and photosynthetic characteristics of kiwifruit leaves
处理Treatment Cl-0 Cl-90 Cl-180 Cl-360 w(叶绿素a)Chl a content/(mg·g-1)2.61±0.09 b 2.81±0.05 ab 2.89±0.11 a 2.68±0.02 ab w(叶绿素b)Chl b content/(mg·g-1)0.93±0.04 a 0.98±0.07 a 1.06±0.01 a 1.09±0.13 a w(总叶绿素)Chl content/(mg·g-1)3.55±0.10 b 3.80±0.13 ab 3.96±0.10 a 3.77±0.12 ab净光合速率Pn/(μmol·m-2·s-1)19.2±0.27 b 19.4±0.24 ab 20.0±0.34 a 18.8±0.14 b
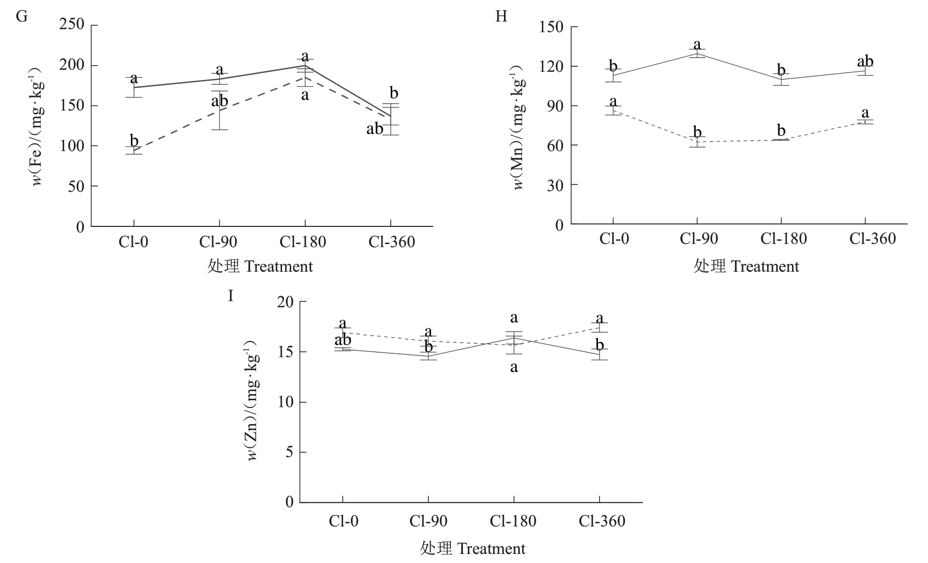
施氯对猕猴桃叶片矿质养分含量的影响如图2所示。随着施氯量的增加,叶片氯含量显著增加(图2-D)。施氯显著影响叶片氮、钾、镁、铁的含量,随着施氯水平的提高均呈现先增加后减少的趋势,Cl-180处理最高。与Cl-0处理相比,Cl-180处理的氮、钾、镁、铁含量分别高14.64%、36.27%、14.38%、42.34%。叶片磷含量随施氯量的增加略呈减少趋势,其中在2023 年Cl-360 处理下显著降低。2023年,施氯对叶片锌含量的影响比2022 年表现明显,Cl-180处理最高。年际间,施氯对叶片钙、锰含量影响表现趋势并不一致。整体说明,适量施氯可以提高叶片氯含量和叶片细胞的渗透率,促进细胞对N、K、Mg、Fe的吸收利用。
图2 施氯对猕猴桃叶片矿质养分含量的影响
Fig.2 Effect of chloride application on mineral nutrient content of kiwifruit leavesb
图2 (续) Fig.2 (Continued)
综合两年不同施氯量下猕猴桃矿质元素吸收、光合特性、产量和品质的数据,进行不同施氯量处理之间各指标的相对丰度及差异比较(图3)。结果表明,Cl-0与Cl-90处理之间(图3-A),Cl、N、SSC/TA、TA、Mn的丰度出现明显差异;与Cl-0处理相比,Cl-90 处理显著增加Cl、N 含量、SSC/TA,显著降低TA含量。与Cl-0 处理相比,Cl-180 处理极显著增加Cl、Mg 含量,显著增加N、SSC、Chl 含量(图3-B)。Cl-0与Cl-360处理之间(图3-C),P2O5、Cl、果实产量(Y)的丰度出现明显差异;与Cl-0处理相比,Cl-360处理极显著增加Cl 含量,降低了P2O5含量以及产量。Cl-360 与Cl-180 处理之间(图3-D),Y、SS、K2O、Fe 的丰度出现明显差异;与Cl-360 处理相比,Cl-180 处理显著增加Y、SS 和Fe 含量。综上所述,与Cl-0处理相比,Cl-90处理通过显著增加叶片N含量,促进果实增糖降酸;Cl-180处理通过显著增加叶片N、Mg、Chl含量,提高果实糖度;Cl-360处理主要降低叶片对P、Fe 的吸收,影响果实产量、品质的提高。
图3 不同施氯量影响猕猴桃产量和品质的主控因子分析
Fig.3 Analysis of the main controlling factors of kiwifruit yield and quality as affected by different chloride application rates
Y.果实产量;Vc.维生素C;SS.可溶性糖;SSC.可溶性固形物;TA.可滴定酸;SSC/TA.固酸比;Chl.总叶绿素;Pn.净光合速率。图中颜色代表经过Z-score 处理的定量结果。右边柱状图柱子长短为log2FC 值的情况;颜色和*号代表显著性p-value 的结果,*、**分别代表各指标在P<0.05、P<0.01 水平差异显著。
Y.Yield;Vc.Vitamin C;SS.Soluble sugar;SSC.Soluble solid content;TA.Titrable acid;SSC/TA.Solid-acid ratio;Chl.Total chlorophyll;Pn.Net photosynthetic rate.The colors in the figure represent the quantitative results after Z-score treatment.The lengths of the bars on the right side of the graph are the log2FC values;the colors and*symbols represent the results of significance p-value.*,**represent the significant difference of each index at the levels of P<0.05 and P<0.01,respectively.
光合作用是绿色植物利用叶绿素等光合色素、将光能转化为有机物中化学能的能量转化过程,是植物实现生物量生产的核心机制,驱动着植物整体的生长与发育[12]。氯在植物体内主要以Cl-的形式存在,Cl-是光系统Ⅱ的水分解反应中光合作用产生O2的重要辅助因子,可以提高植物光合效率和促进叶绿体发育[20]。本研究中,与不施氯相比,施氯量180 kg·hm-2下叶片总叶绿素含量和净光合速率分别提高11.55%、4.43%。前人研究同样表明,施用含氯肥料显著增大了猕猴桃SPAD 值,促进叶片叶绿素的合成[1]。Su 等[21]研究也表明,适氯水平提高了植物CO2的同化效率,从而促进了光合碳固定和整体植物生长。氯作为一种高度移动的阴离子,它促进了细胞渗透调节,尤其是在气孔运动期间的保卫细胞,进而增强水分利用效率和碳同化速率,并减轻胁迫症状,促进植物生长,增强对非生物胁迫的抵抗力[21]。本试验中,适量氯可能通过调节类囊体大小、气孔运动,参与叶绿体渗透调节等协同作用,具体机制有待进一步验证[22]。
植物生物量、产量与光合效率密切相关[10]。前人研究表明,Cl-可以同时增加植物生物量和叶绿素含量[21]。叶绿素是光合作用中的关键色素,在能量捕获和转换中起着至关重要的作用[23]。本研究结果表明,施氯量180 kg·hm-2下可以促进猕猴桃生物量积累,提高叶绿素含量和净光合速率。这表明Cl-主要通过提高光合效率促进猕猴桃的生物量积累,最终得到更高的果实产量。当植物中存在的Cl-含量高于微量元素水平时,可以促进作物生长和产量提升[9]。研究发现,猕猴桃对Cl-的吸收量远高于微量元素水平[6-8]。本研究结果表明,施氯量为164 kg·hm-2时猕猴桃产量最高,超过164 kg·hm-2时产量明显降低。前人研究发现,四川省都江堰地区的红阳猕猴桃最适氯水平是180 kg·hm-2。Yang 等[8]研究发现,陕西施用含氯肥料的范围为170~340 kg·hm-2可以提高海沃德猕猴桃产量,但过量施用含氯肥料(910和1480 kg·hm-2)降低猕猴桃产量。本研究的最适施氯量低于前人的研究结果,分析原因主要为本研究全年施含氯肥料次数为6 次,明显高于前人的施肥次数,因此可促进猕猴桃对Cl-的吸收利用;其次与猕猴桃时空分布变化有关,以及不同品种的猕猴桃可能对氯的需求不同,需要进一步对多品种猕猴桃氯营养进行研究。植物矿质养分情况会影响长势与光合作用[24],这与施氯条件下矿质营养元素含量变化有很大关系,因此本研究中进一步对猕猴桃在施氯条件下矿质养分的吸收进行了分析。
植物中的Cl-主要通过离子竞争、转运蛋白调控及细胞信号网络,以“拮抗-协同”双模式动态调节矿质元素吸收[1,14]。猕猴桃对氯的需求量较高,它最大限度地减少了组织中渗透压产生的能量消耗,但叶片Cl-浓度大于2%时会产生不利影响[7-8]。本研究中,叶片Cl-含量随着施氯量的增加而增加,最高含量小于2%,根据观察没有造成叶片黄化等明显的氯中毒现象,但是根据前面的研究结果,高氯对猕猴桃光合、产量及品质产生了一定的负效应。分析原因,首先可能是作物对氯的奢侈吸收阶段相当宽,氯对作物的毒害浓度范围较大不易界定;其次可能与植物对氯的吸收机制有关,高氯通过影响植物渗透调节能力,对Cl-伴随离子做出差异化转运及吸收,导致养分不平衡[25-26]。前人研究表明,Cl-对高等植物N、P、K、Ca、Mg 等的吸收和利用有一定影响[14-15]。研究表明,低浓度Cl-对K+的吸收起协同作用;高浓度Cl-影响细胞正常代谢则抑制K+的吸收[27]。对果树的长期定位试验表明,氯促进了植株N、K 的吸收,提高了氮素利用率[9]。刘晓东[22]的研究表明,施氯显著影响了作物叶片N、K、Ca 含量。本研究表明,施氯可以提高叶片N、K 的含量,这与前人研究结果一致。本研究中还发现,施氯可增加叶片Mg、Fe 含量,原因可能是含氯肥料提高土壤有效铁、有效镁及有机质含量,进一步提高其他阳离子有效性并促进作物对土壤养分的吸收利用。
猕猴桃果实品质是增强市场竞争力的关键所在,维生素C、可溶性固形物、可溶性总糖和可滴定酸含量是反映猕猴桃果实品质的重要指标[28]。果实品质的形成同时受树体营养状况的影响[29]。施氯影响果实代谢和养分吸收利用,如氮、钾、镁主要影响果实的糖酸平衡,磷会导致果实皮厚、增加糖度降低风险,钙、铁增强果实抗病性[30-31]。本研究中发现,施氯180 kg·hm-2有利于猕猴桃果实增糖降酸,改善猕猴桃风味,比不施氯处理增加固酸比22.03%~24.09%,这与杨莉莉[1]、王妮[5]在猕猴桃上的研究结果相似。Liu等[9]研究发现,施氯条件下通过养分与品质的相关性,得出氮、钾是影响品质的主要元素。Raiesi 等[10]研究表明,施肥通过提高猕猴桃钙、磷、钾、镁含量,促进猕猴桃果实的可溶性固形物和维生素C含量的增加。前人对猕猴桃品质的研究多局限于综合评价或简单相关性分析[9-10,30-31]。本研究中应用组合热图评价的方式,进一步分析不同氯处理之间影响品质的主控因子,结果表明,Cl-180处理通过显著增加叶片Chl、N、Mg 含量,显著提高果实糖度。Cl-360处理主要抑制叶片P2O5、Fe的吸收,影响果实产量品质的提高。前人研究表明,调控猕猴桃叶绿素等光合特性,利于猕猴桃果实可溶性固形物含量的提高[32]。合理施N 可以提高猕猴桃可溶性固形物,但叶片氮与维生素C 含量呈显著负相关[33-34]。Kim等[35]研究表明,猕猴桃果实可溶性固形物含量与叶片钾含量呈显著正相关,果实滴定酸含量与叶片镁含量相关,而叶片钙和镁含量对果实可溶性固形物含量有负面影响。本研究结果与前人研究有一致也有差异,主要原因是本试验在施氯条件下进行,氯不仅影响猕猴桃果实的内在品质,还影响植株生理及对养分的吸收利用,从而导致主控影响因素的不同。
合理的施氯量(Cl-180 kg·hm-2)可以增加猕猴桃叶绿素含量和提高光合效率,促进叶片对矿质元素的吸收利用,进一步影响果树生长及提高果实大果率、产量,改善果实品质。本研究拟合得出氯施用量为164.0 kg·hm-2时,可使猕猴桃经济产量最大化。进一步分析不同氯处理之间影响品质的主控因子,结果表明,Cl-180 处理通过显著增加叶片Chl、N、Mg含量,显著提高果实糖度。
[1] 杨莉莉.氯对猕猴桃生长发育和产量品质的影响及其作用机理[D].杨凌:西北农林科技大学,2021.YANG Lili. Effect of chlorine on growth,yield and fruit quality of kiwifruit and its mechanism[D]. Yangling:Northwest A & F University,2021.
[2] ZHANG H Y,LIU H M,LIU X Z. Production of transgenic kiwifruit plants harboring the SbtCry1Ac gene[J]. Genetics and Molecular Research,2015,14(3):8483-8489.
[3] 李大卫,黄文俊,钟彩虹.中国猕猴桃产业现状及“十五五”发展建议[J].果树学报,2024,41(11):2149-2159.LI Dawei,HUANG Wenjun,ZHONG Caihong. Current status of China’s kiwifruit industry and development recommendations for the“15th Five-Year Plan”[J].Journal of Fruit Science,2024,41(11):2149-2159.
[4] 涂美艳,廖明安,陈栋,徐子鸿,李靖,孙淑霞,王玲利,宋海岩,刘春阳,江国良.猕猴桃果实发育期主要生理指标变化规律及与果肉颜色的相关性[J].西南农业学报,2022,35(9):2144-2153.TU Meiyan,LIAO Ming’an,CHEN Dong,XU Zihong,LI Jing,SUN Shuxia,WANG Lingli,SONG Haiyan,LIU Chunyang,JIANG Guoliang. Correlation between change of main physiological indexes and fruit color during kiwifruit fruit development period[J].Southwest China Journal of Agricultural Sciences,2022,35(9):2144-2153.
[5] 王妮.都江堰猕猴桃生长发育规律及云天化产品套餐肥应用研究[D].雅安:四川农业大学,2019.WANG Ni. Study on the growth and development rule and the application of Yuntianhua package fertilizer for kiwifruit in Dujiangyan[D].Ya’an:Sichuan Agricultural University,2019.
[6] SMITH G S,CLARK C J,BUWALDA J G,GRAVETT I M.Influence of light and form of nitrogen on chlorine requirement of kiwifruit[J].New Phytologist,1988,110(1):5-12.
[7] BUWALDA J G,SMITH G S. Influence of anions on the potassium status and productivity of kiwifruit (Actinidia deliciosa)vines[J].Plant and Soil,1991,133(2):209-218.
[8] YANG L L,ZHU Z J,ZHANG J S,GAO Y M,WANG X M,LIU G Y,LI N,MA L,TONG Y N. Response of kiwifruit yield and fruit quality to chloride-containing fertilizers[J].Agronomy Journal,2020,112(2):1012-1020.
[9] LIU X D,HU C X,ZHU Z Y,RIAZ M,LIU X M,DONG Z H,LIU Y,WU S W,TAN Z H,TAN Q L.Migration of chlorine in plant-soil-leaching system and its effects on the yield and fruit quality of sweet orange[J].Frontiers in Plant Science,2021,12:744843.
[10] RAIESI T,SHIRI M A,MOUSAVI S M. The fruit quality and nutrient content of kiwifruit produced by organic versus chemical fertilizers[J].Journal of the Science of Food and Agriculture,2024,104(11):6821-6830.
[11] 陈美艳,赵婷婷,彭珏,张鹏,韩飞,刘小莉,钟彩虹.‘东红’猕猴桃果园土壤养分与果实品质的多元分析[J].植物科学学报,2021,39(2):193-200.CHEN Meiyan,ZHAO Tingting,PENG Jue,ZHANG Peng,HAN Fei,LIU Xiaoli,ZHONG Caihong. Multivariate analysis of relationship between soil nutrients and fruit quality in‘Donghong’kiwifruit (Actinidia chinensis var. chinensis) orchards[J].Plant Science Journal,2021,39(2):193-200.
[12] 李想,石广丽,耿佳麒,郭建辉,刘雨萌,孙丹,王振兴,张苏苏,唐倩,艾军.温室栽培对软枣猕猴桃光合特性及果实品质的影响[J].果树学报,2024,41(1):89-100.LI Xiang,SHI Guangli,GENG Jiaqi,GUO Jianhui,LIU Yumeng,SUN Dan,WANG Zhenxing,ZHANG Susu,TANG Qian,AI Jun.Effects of greenhouse cultivation on the photosynthetic characteristics and fruit quality of Actinidia arguta[J].Journal of Fruit Science,2024,41(1):89-100.
[13] 刘飘,涂美艳,宋海岩,陈栋,孙淑霞,李靖,徐子鸿,刘春阳,林立金,江国良.避雨栽培对猕猴桃叶片生理生化指标及果实品质的影响[J].西南农业学报,2022,35(1):43-49.LIU Piao,TU Meiyan,SONG Haiyan,CHEN Dong,SUN Shuxia,LI Jing,XU Zihong,LIU Chunyang,LIN Lijin,JIANG Guoliang.Effects of rain-shelter cultivation on physiological and biochemical indexes of kiwifruit leaves and fruit quality[J]. Southwest China Journal of Agricultural Sciences,2022,35(1):43-49.
[14] DUBOS B,ALARCÓN W H,LÓPEZ J E,OLLIVIER J. Potassium uptake and storage in oil palm organs:the role of chlorine and the influence of soil characteristics in the Magdalena valley,Colombia[J]. Nutrient Cycling in Agroecosystems,2011,89(2):219-227.
[15] ISHIKAWA N,ISHIOKA G,YANAKA M,TAKATA K,MURAKAMI M.Effects of ammonium chloride fertilizer and its application stage on cadmium concentrations in wheat (Triticum aestivum L.) grain[J]. Plant Production Science,2015,18(2):137-145.
[16] 李合生.现代植物生理学[M].3 版.北京:高等教育出版社,2012.LI Hesheng.Modern plant physiology[M].3rd ed.Beijing:Higher Education Press,2012.
[17] 鲁如坤.土壤农业化学分析方法[M].北京:中国农业科学技术出版社,2000:520-525.LU Rukun.Analytical methods for soil and agro-chemistry[M].China Agricultural Science and Technology Press,2000:520-525.
[18] 周强,李萍,曹金花,於丙军.测定植物体内氯离子含量的滴定法和分光光度法比较[J].植物生理学通讯,2007,43(6):1163-1166.ZHOU Qiang,LI Ping,CAO Jinhua,YU Bingjun. Comparison on titration and spectrophotometric methods for determination of chloride content in plants[J]. Plant Physiology Communications,2007,43(6):1163-1166.
[19] 国家市场监督管理总局,国家标准化管理委员会.猕猴桃质量等级:GB/T 40743—2021[S].北京:中国标准出版社,2021.State Administration for Market Regulation,Standardization Administration of the People’s Republic of China. Quality grades of kiwifruit:GB/T 40743—2021[S]. Beijing:Standards Press of China,2021.
[20] ROSALES M A,FRANCO-NAVARRO J D,PEINADO-TORRUBIA P,DÍAZ-RUEDA P,ÁLVAREZ R,COLMENEROFLORES J M. Chloride improves nitrate utilization and NUE in plants[J].Frontiers in Plant Science,2020,11:442.
[21] SU L P,LU T,LI Q,LI Y,WAN X Y,JIANG W J,YU H J.Chlorine modulates photosynthetic efficiency,chlorophyll fluorescence in tomato leaves,and carbohydrate allocation in developing fruits[J]. International Journal of Molecular Sciences,2025,26(7):2922.
[22] 刘晓东. 氯对柑橘生长的影响及在土壤-柑橘系统中的迁移[D].武汉:华中农业大学,2023.LIU Xiaodong.Effect of chlorine on citrus growth and its migration in soil-citrus system[D]. Wuhan:Huazhong Agricultural University,2023.
[23] CHEN B,HUANG G M,LU X J,GU S H,WEN W L,WANG G T,CHANG W S,GUO X Y,ZHAO C J. Prediction of vertical distribution of SPAD values within maize canopy based on unmanned aerial vehicles multispectral imagery[J]. Frontiers in Plant Science,2023,14:1253536.
[24] GARG A K,KAUSHAL R,RANA V S. Impact of vermicompost,poultry manure and jeevaamrit on growth parameters of kiwifruit (Actinidia deliciosa) cv.Allison[J]. International Journal of Plant&Soil Science,2020:31-40.
[25] SEEDA M A,L-NOUR E A A,HAMMAD S A,YASSEN A A.Chloride ions as a beneficial and essential micronutrient multifunctional,role and regulation in plant physiology:A review[J].Middle East Journal of Applied Sciences,2021,11(1):76-125.
[26] MARCHAND M. Effect of potassium on the production and quality of tobacco leaves[J]. Optimizing Crop Nutrition,2010,24:7-14.
[27] BAHAMONDE H A,PIMENTEL C,LARA L A,BAHAMONDE-FERNÁNDEZ V,FERNÁNDEZ V.Foliar application of potassium salts to olive,with focus on accompanying anions[J].Plants,2023,12(3):472.
[28] 彭雯,张敏,李欣怡,赵沁雨,孙翔宇,马婷婷.延迟采收对‘翠香’猕猴桃品质的影响[J]. 食品工业科技,2025,46(3):333-341.PENG Wen,ZHANG Min,LI Xinyi,ZHAO Qinyu,SUN Xiangyu,MA Tingting.Effect of delayed harvesting on the quality of‘Cuixiang’kiwifruit[J]. Science and Technology of Food Industry,2025,46(3):333-341.
[29] TITELI V S,MICHAILIDIS M,TANOU G,MOLASSIOTIS A.Physiological and metabolic traits linked to kiwifruit quality[J].Horticulturae,2023,9(8):915.
[30] LU Y L,ZHOU J B,SUN L K,GAO J B,RAZA S. Long-term land-use change from cropland to kiwifruit orchard increases nitrogen load to the environment:A substance flow analysis[J].Agriculture,Ecosystems&Environment,2022,335:108013.
[31] YUAN X Y,ZHENG H,FAN J T,LIU F X,LI J T,ZHONG C H,ZHANG Q.Comparative study on physicochemical and nutritional qualities of kiwifruit varieties[J].Foods,2023,12(1):108.
[32] ROUSSOS P A,DENAXA N K,TSAFOUROS A,NTANOS E.Effect of time of girdling on leaf photosynthetic performance and kiwifruit quality characteristics at harvest and post-storage[J].Applied Sciences,2023,13(19):11087.
[33] 魏斌,李友明,翟广生,黄伟军,李娜,权小容.氮素营养对猕猴桃营养功能特征及果实产量的影响[J].安徽农业科学,2015,43(12):98-101.WEI Bin,LI Youming,ZHAI Guangsheng,HUANG Weijun,LI Na ,QUAN Xiaorong. Effects of nitrogenous nutrition on nutritional functional traits and fruit yield of Actinidia Lindl.[J].Journal of Anhui Agricultural Sciences,2015,43(12):98-101.
[34] SHARMA S,RANA V S,RANA N,SHARMA U,GUDETA K,ALHARBI K,AMEEN F,AHMAD BHAT S. Effect of organic manures on growth,yield,leaf nutrient uptake and soil properties of kiwifruit (Actinidia deliciosa Chev.) cv. Allison[J].Plants,2022,11(23):3354.
[35] KIM H L,LEE M H,CHUNG K H.Soil and leaf chemical properties and fruit quality in kiwifruit orchard[J]. Korean Journal of Environmental Agriculture,2022,41(3):158-166.
Regulatory effects of chloride on mineral element uptake, fruit yield and quality in kiwifruit plants