不同方式覆盖苹果枝条碎片对土壤养分以及苹果树体生长发育和果实品质的影响

李林宇,曹宇菲,吕德国,秦嗣军*

(沈阳农业大学园艺学院·辽宁省果树品质发育与调控重点实验室,沈阳 110866)

摘 要:【目的】探究粉碎枝条的最优处理方法,为苹果园土壤培肥及节本提质增效提供参考。【方法】以7年生龙丰苹果为试验材料,以果树基部为中心留出20 cm直径,按照长度150 cm、宽度50 cm、厚度2 cm的标准进行覆盖,通过比较不同枝条还田方式对苹果园土壤质量、植株生长发育、果实品质的影响,筛选出最佳树盘覆盖处理的方法。试验设3个处理,T1(粉碎枝条表面覆盖)、T2(基于T1处理上覆盖一层园艺地布)、T3(粉碎枝条旋耕至0~20 cm土层),以树盘清耕为对照。于2022—2023年连续2 a(年)进行重复试验。【结果】苹果枝条碎片覆盖处理可以改善土壤质量、促进植株生长发育、提升果实品质。3个处理可不同程度地提升土壤养分含量,T1、T2、T3处理第1年的0~20 cm土壤有机质含量分别较对照显著提高16.8%、23.0%、14.0%,第2 年分别显著提高0~20 cm 土壤有机质含量26.9%、34.4%、24.8%,分别显著提高20~40 cm土壤有机质含量21.7%、28.4%、29.7%;T1、T2、T3处理第2年分别提高0~20 cm土壤碱解氮含量8.5%、14.5%、9.7%,提高20~40 cm土壤碱解氮含量11.4%、15.4%、13.8%。苹果枝条碎片覆盖处理促进了果树生长和果实品质提升,在处理第2年,只有T2处理的叶片净光合速率相比于对照显著提高了16.6%;在处理第2年,糖酸比和固酸比均表现为T2>T1>T3>对照。【结论】综合分析苹果粉碎枝条的不同覆盖方式对土壤养分、果树生长发育和果实品质的影响发现,粉碎枝条+地布覆盖是更有利于实际生产的覆盖方式。

关键词:苹果;粉碎枝条;覆盖;土壤性质;生长发育

中国是世界苹果种植大国,截至2022 年,我国的苹果种植面积达200万hm2,产量为4 757.18万t,居世界第一[1]。我国北方大多数苹果园土壤的有机质含量平均不到1.0%,立地条件一般都比较差,园内土壤有机质含量长期得不到补充,迫切需要向土壤补充有机碳源物质[2]。在实际生产过程中,大多数果农往往更重视果园地上部的管理,如整形修剪、病虫害防治等工作,轻视园内土壤的管理,特别是园地土壤的改良与碳素营养的供给[3]

果园每年都会因修剪产生大量的枝条废弃物,而枝条中含有的有机物质又是一种潜在的可利用生物质资源[4],然而在生产过程中,受传统观念影响及果园适宜机械设备限制,大多数果农处理枝条的方式仍然以堆放、焚烧等为主,不仅没有充分利用现有的自然资源,还造成了环境污染和病虫害的传播[5]。随着社会经济发展及小型树枝粉碎机等现代化机械的出现,将果树废弃枝条粉碎后还田作为一种省力化的处理方式[6],对果园土壤质量的提升具有重要意义。

果树枝条内含有纤维素、半纤维素和木质素等营养成分以及其他有机物质,堆肥腐熟后可以加速促进枝条中矿质营养和有机碳的释放[7]。粉碎枝条还田不仅能够解决堆放、焚烧引起的环境污染问题,若利用合理,还可增加土壤孔隙度[8],在改良土壤结构的同时,能够有效提高土壤有机质含量[9]及速效养分含量[10],同时有助于果树光合器官的建成与光合性能的增强[11],并且显著提高作物产量与品质[12],使废弃枝条得到资源化利用。

枝条与传统覆盖物、传统耕作技术等的结合是否有更好的效果,目前相关方面的研究较少,因此笔者以提高废弃枝条利用率、改善果园土壤环境条件为主要目的,以沈阳农业大学果树栽培与生理生态团队科研基地内修剪下来的果树废弃枝条作为试材,将其粉碎后对龙丰苹果进行覆盖处理,分析其对土壤性质的影响,从中筛选出综合表现较好、适合生产实际的处理方式,以使废弃枝条得到最优化处理并发挥最大效用,为苹果园土壤培肥及节本提质增效提供参考。

1 材料和方法

1.1 试验地概况

试验在沈阳农业大学果树栽培与生理生态团队科研基地苹果试验园内进行。试验地属温带半湿润大陆性气候,四季分明,海拔76.2 m,年日照时数2481 h,年平均降水量721 mm,无霜期155~180 d。土壤类型为棕壤。试验苹果园中的7年生龙丰苹果为南北行向,株行距为1.5 m × 4.0 m,树形为纺锤形,植株生长健壮,无病虫害,园内实行行间自然生草制管理,主要依靠天然降水补充水分。试验植株仅在春季降雨时撒施少量尿素于地表,秋季在地表撒施少量牛粪基质有机肥。

1.2 试验材料及处理

粉碎枝条覆盖试验开始于2022 年4 月,以沈阳农业大学果树栽培与生理生态团队科研基地内的寒富、龙丰苹果以及山定子、观赏海棠等苹果属植株冬季修剪枝条作为覆盖材料来源,通过GTS1300型号树枝粉碎机将枝条粉碎成2 cm(碎片最大长度)的碎片后,对园内7 年生龙丰苹果进行树盘覆盖处理。本试验以树盘人工除草为对照(CK)。为避免枝条碎片直接与根颈接触,降低直接传病风险,以果树基部为中心留出20 cm直径的圆形区域。按照长度150 cm、宽度50 cm、厚度2 cm 的标准进行覆盖。设置3 个处理:T1 处理为粉碎枝条表面覆盖,T2 处理是在T1 处理的基础上覆盖一层园艺地布,T3 处理是将等量的粉碎枝条旋耕进0~20 cm土壤。每个处理选取5 株树,作为5 次重复,共计20 株树,其他水肥等管理条件一致。

1.3 检测指标与方法

1.3.1 粉碎枝条的扫描电镜观察 2023 年4 月,将不同处理下的枝条碎片随机取出一部分装于自封袋中并做好标记(T3 处理下的枝条碎片用小铲子取出),带回实验室用刷子清理枝条表面的土壤,然后烘干,以备后续扫描电镜观察。采用沈阳农业大学仪器分析中心的S-4800型扫描电子显微镜(SEM),先将碎片裁切到适宜大小,放入载物台上用导电胶将其固定,以防在抽真空的过程中样品倾斜,影响后续观察。因样品是非导电物质不能直接进行扫描,为了产生更强的信号,提高扫描电镜的分辨率,对样品采用离子溅射镀膜法喷金处理。利用扫描电子显微镜对不同覆盖处理下枝条碎片的横切面和纵切面的形态进行观察,在高真空的条件下拍摄倍数为150倍和500倍。

1.3.2 土壤样品的采集 覆盖处理后于2022 年4月、2022年7月、2022年10月、2023年4月、2023年7月和2023年10月分别取土样,在每次取样前一周内避开下雨天,第2年的处理和采样时间与第1年保持一致。清除果树周围地表的杂物,然后用小铲子取样,用于土壤特性的测定,在分装样品的过程中剔除杂草、根系和石块等杂物,将样品带回实验室后置于土库,风干后再做处理,过筛后用于测定土壤的有机质、碱解氮及速效养分含量。

1.3.3 土壤性质的测定 土壤有机质、碱解氮、速效磷和速效钾含量分别按《土壤农化分析》[13]中的重铬酸钾外加热法、碱解扩散法、碳酸氢钠浸提-钼锑抗比色法、乙酸铵浸提-火焰分光光度法测定。

1.3.4 植株基本生理及形态指标的测定 利用卷尺竖直测量基部到顶部之间的距离作为株高;利用卷尺测量冠径,东西和南北方向各测量1次,计算其平均值;利用JS108F150型数显游标卡尺测量茎粗;在6 月份,在每株试验树的4 个方向(东、南、西、北)分别选3 个长势基本一致的新梢,利用JS108F150 型数显游标卡尺测量新梢长度和粗度。在每株试验树的4个方向(东、南、西、北)分别选3个长势基本一致且在同一水平高度的叶片,共计60枚叶片,利用CIRAS-2全自动便捷式光合作用测定系统测量光合参数(净光合速率、蒸腾速率、气孔导度、胞间CO2浓度);净光合速率与对应的蒸腾速率比值为光合水分利用效率。

1.3.5 果实品质的测定 在每株树的4个方向(东、南、西、北)分别取样品果,共取30个大小、着色程度等基本一致的龙丰苹果,分别用来测量基本指标和口感评价,留出备用的苹果。利用YP4001 型电子天平测量单果质量;在去掉果皮后使用GY-4型台式硬度计测量果实硬度;使用LYT-330 型手持折光仪测定可溶性固形物含量;采用乙醇浸提-蒽酮比色法测定可溶性糖含量[14];利用酚酞指示剂滴定法测定可滴定酸含量[15];可溶性糖含量与对应的可滴定酸含量比值为糖酸比;可溶性固形物含量与对应的可滴定酸含量比值为固酸比;果形指数利用JS108F150型数显游标卡尺分别测量果实的横径、纵径并通过计算得出。口感评价采用多次重复感官评价,寻找同课题组的同学、朋友和室友等,组成20人的评价小组,在品尝评价前讲解操作方法及评分标准,每品尝一组试验果,要用清水漱口并等2 min再进行下一组评价,打分的指标包括外观品质、硬度、脆度等,采取百分制打分,打分区间为60~100分,根据分数作相应的加权处理,记录相应的数据后进行总体分析。

1.4 数据分析

使用Excel 2020软件对试验数据进行梳理分析和作图,使用SPSS Statistics 22.0 软件对数据进行显著性检验(p<0.05)。

2 结果与分析

2.1 不同覆盖处理对枝条腐解的影响

通过对不同倍数下粉碎枝条的横、纵切面超微结构进行电镜观察(图1和图2)可知,未处理的枝条碎片管胞结构完整、均匀有序,组织排列较规整,管胞间黏结紧密,胞间层完好,微纤丝沉积的方向比较有规则,呈现网状排列,细胞腔呈中空状,相互整齐地排列在一起,但是斜度不同。处理1 年后的枝条碎片在微生物的作用下发生腐解,T1处理下碎片的组织排列比较松散,部分细胞壁坍塌,网状结构稍有变形;T2 处理下的枝条碎片出现较多空隙,细胞壁坍塌落入细胞腔中,仔细观察能够看到有些土壤颗粒附着在壁上,在整个区域上出现大量丝状物,可明显看出规整的结构遭到破坏,失去细胞轮廓,可以清晰地看到径向壁上的纹孔,也可以明显地看到管胞中的径列条;T3 处理下的枝条碎片管胞结构已溃散,空隙更大,管胞间失去黏附力,细胞残壁被严重破坏呈无规则分布,大部分细胞壁坍塌,细胞壁存在严重的劣化特征,此外,表面还可以观察到大量的土壤颗粒。据此可知,T3 处理下粉碎枝条碎片能够充分地与土壤接触,使更多的微生物参与到降解的过程中,因而T3处理能更大程度地促进腐解进程。

图1 枝条横截面的扫描电镜观察
Fig.1 Scanning electron microscope observation of a cross-section of wood chips

图2 粉碎枝条纵截面的扫描电镜观察
Fig.2 Scanning electron microscopy observation of the longitudinal section of wood chips

2.2 不同覆盖处理对土壤性质的影响

2.2.1 不同覆盖处理对土壤有机质含量的影响 处理的第1 年土壤有机质含量变化如图3-A~B 所示,0~20 cm 土层在覆盖90 d 时,T2 处理的有机质含量显著高于对照,其他处理之间无显著差异;在覆盖180 d 时,T1、T2 和T3 处理的有机质含量分别较对照显著提高了16.8%、23.0%和14.0%,并且均高于覆盖前的含量。20~40 cm土层在覆盖90 d时,各处理之间无显著差异;在覆盖180 d时,只有T3处理的有机质含量较对照显著提高了19.4%。

图3 不同覆盖处理对土壤有机质含量的影响
Fig.3 Effects of different mulching treatments on the content of soil organic matter

不同小写字母代表不同处理间差异显著(p<0.05)。下同。
Different small letters represent significant difference between different treatments(p<0.05).The same below.

处理的第2年土壤有机质含量变化如图3-C~D所示,0~20 cm土层在覆盖90 d和180 d时,3个处理的有机质含量均显著高于对照;在覆盖180 d 时,T1、T2 和T3 处理的有机质含量分别较对照显著提高了26.9%、34.4%和24.8%,其中T2 处理的作用效果显著高于其他处理。20~40 cm 土层在覆盖90 d时,3 个处理的有机质含量显著高于对照;在覆盖180 d 时,T1、T2 和T3 处理分别较对照显著提高了21.7%、28.4%和29.7%。

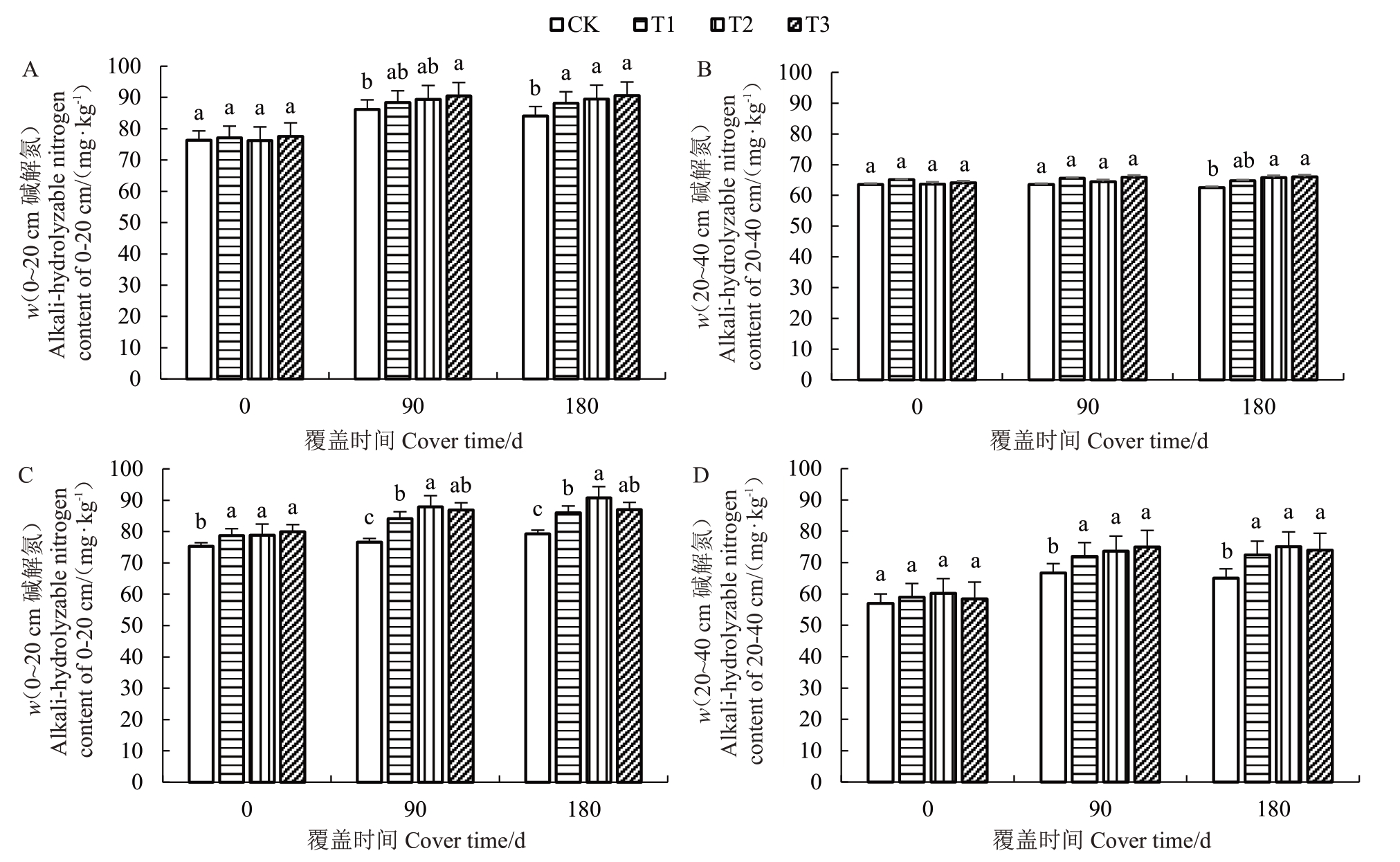
2.2.2 不同覆盖处理对土壤碱解氮含量的影响 根系吸收和微生物活动会将深层土部分的氮素带到表层。处理的第1年土壤碱解氮含量变化如图4-A~B所示,0~20 cm土层在覆盖90 d时,T3处理的碱解氮含量显著高于对照,而其他处理之间无显著差异;在覆盖180 d 时,T1、T2 和T3 处理的碱解氮含量较对照分别显著提高了4.8%、6.5%和7.8%。20~40 cm土层在覆盖90 d时,各处理之间无显著差异;在覆盖180 d 时,T2 和T3 处理的碱解氮含量较对照分别显著提高了5.2%和5.5%。

图4 不同覆盖处理对土壤碱解氮含量的影响
Fig.4 Effects of different mulching treatments on the content of soil alkali-N

处理的第2年土壤碱解氮含量变化如图4-C~D所示,0~20 cm土层在覆盖90 d时,T2处理的作用效果显著高于T1 处理;在覆盖180 d 时,T1、T2 和T3处理的碱解氮含量分别较对照显著提高了8.5%、14.5%和9.7%。20~40 cm 土层在覆盖90 d 时,3 个处理的碱解氮含量显著高于对照;在覆盖180 d时,T1、T2 和T3 处理的碱解氮含量较对照显著提高了11.4%、15.4%和13.8%。

2.2.3 不同覆盖处理对土壤速效磷含量的影响 处理的第1 年土壤速效磷含量变化如图5-A~B 所示,0~20 cm土层在覆盖90 d时,T2和T3处理的速效磷含量显著高于对照;在覆盖180 d时,T1、T2和T3处理的速效磷含量较对照分别显著提高9.3%、11.2%和13.7%。20~40 cm土层在覆盖90 d时,只有T3处理的速效磷含量显著高于对照;在覆盖180 d 时,T1、T2 和T3 处理的土壤速效磷含量较对照分别显著提高了19.8%、18.3%和11.9%,这与0~20 cm土层的变化趋势一致。

图5 不同覆盖处理对土壤速效磷含量的影响
Fig.5 Effects of different mulching treatments on the content of soil olsen-P

处理的第2年土壤速效磷含量变化如图5-C~D所示,在两个土层中,3个处理的速效磷含量均显著高于对照。0~20 cm 土层在覆盖180 d 时,T1、T2 和T3 处理的速效磷含量分别较对照显著提高了28.1%、39.4%和32.7%。20~40 cm土层在覆盖180 d时,T1、T2和T3处理的土壤速效磷含量较对照分别显著提高了32.7%、36.7%和47.5%。

2.2.4 不同覆盖处理对土壤速效钾含量的影响 处理的第1 年土壤速效钾含量变化如图6-A~B 所示,0~20 cm土层在覆盖90 d时,3个处理的速效钾含量均显著高于对照;在覆盖180 d时,T1、T2和T3处理的速效钾含量较对照分别显著提高了20.9%、23.2%和19.0%。20~40 cm土层在覆盖90 d时,3个处理的速效钾含量显著高于对照;在覆盖180 d 时,T1、T2和T3 处理的速效钾含量较对照分别显著提高了16.3%、23.3%和20.6%。

图6 不同覆盖处理对土壤速效钾含量的影响
Fig.6 Effects of different mulching treatments on the content of soil avail-K

处理的第2年土壤速效钾含量变化如图6-C~D所示,0~20 cm土层在覆盖90 d时,T2处理的作用效果更显著;在覆盖180 d时,T1、T2和T3处理分别较对照显著提高15.7%、21.8%和11.9%。20~40 cm 土层在覆盖90 d 时,3 个处理的速效钾含量均显著高于对照;在覆盖180 d 时,T2 和T3 处理的速效钾含量较对照分别显著提高了10.8%和10.1%,T1 处理与对照差异不显著。

2.3 不同覆盖处理对果树生长发育的影响

2.3.1 不同覆盖处理对试验树株高、茎粗、冠径和新梢的影响 不同覆盖处理对试验树株高、茎粗、冠径和新梢的影响如表1 所示。处理第一年,各处理的株高、茎粗、冠径、新梢长度和新梢粗度与对照相比均无显著差异。在处理的第二年,3个处理对株高、茎粗、冠径相比于对照无显著影响,3个处理的新梢长度、新梢粗度均显著高于对照,新梢长度较对照分别显著提高了14.0%、24.4%和19.3%,新梢粗度较对照分别显著提高了15.1%、32.1%和19.3%。在处理的第二年,对照的树枝被大风折断,所以株高较第一年的低。

表1 不同覆盖处理对试验树株高、茎粗、冠径和新梢的影响
Table 1 Effects of different mulching treatments on plant height,stem diameter,crown diameter and new shoots of the test trees

注:同列不同小写字母表示同一年份不同处理在0.05 水平差异显著。下同。
Note:Different small letters in the same column indicate significant differences among different treatments of the same year at 0.05 level.The same below.

新梢粗度Diameter of new shoots/mm 3.40±0.14 a 3.48±0.18 a 3.62±0.16 a 3.52±0.19 a 4.36±0.25 c 5.02±0.21 b 5.76±0.17 a 5.20±0.18 ab年份Year 2022 2023处理Treatment CK T1 T2 T3 CK T1 T2 T3株高Plant height/cm 353.60±8.74 ab 322.40±14.06 b 377.60±11.82 a 354.40±24.81 ab 349.80±15.73 a 347.00±12.78 a 392.60±15.90 a 370.20±23.41 a茎粗Stem diameter/cm 7.22±0.46 a 6.63±0.30 a 7.22±0.28 a 7.00±0.44 a 8.36±0.13 a 8.46±0.08 a 8.82±0.26 a 8.94±0.40 a冠径Crown diameter/cm 109.30±4.58 a 109.00±5.62 a 121.20±15.92 a 107.00±5.80 a 147.54±10.78 a 155.64±6.67 a 166.82±13.27 a 166.36±18.81 a新梢长度Length of new shoots/cm 17.34±1.52 a 18.34±2.09 a 19.66±1.21 a 19.60±1.84 a 20.60±0.64 b 23.48±0.83 a 25.62±1.03 a 24.58±0.79 a

2.3.2 不同覆盖处理对试验树光合作用的影响 不同覆盖处理对试验树光合作用的影响如表2 所示。处理的第一年,T1 和T2 处理的净光合速率较对照分别显著提高了13.8%和18.5%;各处理的气孔导度、蒸腾速率、胞间二氧化碳浓度和光合水分利用效率与对照均无显著差异。在处理的第二年,T2处理的净光合速率较对照显著提高了16.6%;T1 处理的气孔导度和蒸腾速率较对照分别显著提高了28.0%和32.4%;各处理的胞间二氧化碳浓度与对照均无显著差异;T1处理的光合水分利用率较对照显著降低了19.2%。

表2 不同覆盖处理对叶片光合作用的影响
Table 2 Effects of different mulching treatments on leaf photosynthesis

年份Year 2022 2023处理Treatment CK T1 T2 T3 CK T1 T2 T3净光合速率Pn/(μmol·m-2·s-1)9.28±0.30 b 10.56±0.25 a 11.00±0.59 a 10.02±0.24 ab 11.12±0.30 b 11.90±0.59 ab 12.96±0.54 a 11.90±0.52 ab气孔导度Gs/(mmol·m-2·s-1)195.20±9.71 a 215.40±21.30 a 207.60±12.47 a 201.20±10.17 a 216.00±11.80 b 276.40±14.98 a 251.80±17.59 ab 240.20±10.59 ab蒸腾速率Tr/(μmol·m-2·s-1)2 820.00±239.58 a 3 180.00±180.00 a 3 080.00±312.09 a 2 920.00±162.48 a 4 260.00±163.10 b 5 640.00±242.07 a 4 800.00±234.52 b 4 500.00±212.13 b胞间二氧化碳浓度Ci/(μmol·mol-1)245.20±10.33 a 264.80±11.69 a 238.00±14.36 a 258.60±14.79 a 265.00±13.74 a 289.00±16.52 a 305.20±15.34 a 279.40±15.04 a光合水分利用效率Photosynthetic water use efficiency/%0.34±0.02 a 0.34±0.02 a 0.37±0.04 a 0.35±0.02 a 0.26±0.01 a 0.21±0.01 b 0.27±0.02 a 0.27±0.02 a

2.4 不同覆盖处理对龙丰苹果果实品质的影响

在果园地面覆盖粉碎枝条可以抑制杂草生长,减少其与果树的营养竞争,提高土壤中的有机质、速效养分等含量,进而可以提高果实的内在及外在品质。不同覆盖处理对龙丰苹果果实品质的影响如表3和表4所示,在处理第一年,T1处理对果实品质指标的影响相比于对照无显著差异;T2处理的单果质量、可溶性糖含量较对照分别显著提高了5.63%、5.64%;T3 处理的可溶性糖含量较对照显著提高了7.13%,可滴定酸含量较对照显著降低了6.52%。糖酸比和固酸比是影响果实口感风味和成熟度的重要因素,各处理的糖酸比和固酸比均表现为T3>T2>CK>T1;各处理果形指数基本一致,均偏向于扁圆形;各处理下果实的口感表现出T2>T3>T1>CK。

表3 第一年不同覆盖处理对龙丰苹果果实品质的影响
Table 3 Effects of different mulching treatments on fruit quality of Longfeng apple in the first year

处理Treatment CK T1 T2 T3单果质量Single fruit mass/g 58.93±0.46 b 60.59±0.48 ab 62.25±0.82 a 59.16±0.72 b硬度Firmness/(kg·cm-2)9.23±0.09 a 9.75±0.10 a 9.29±0.08 a 9.45±0.30 a w(可溶性固形物)Soluble solids content/%12.77±0.15 a 12.97±0.15 a 13.10±0.15 a 13.17±0.09 a w(可溶性糖)Soluble sugar content/%8.69±0.10 c 8.87±0.11 bc 9.18±0.08 ab 9.31±0.17 a w(可滴定酸)Total acid content/%0.46±0.01 ab 0.48±0.01 a 0.44±0.00 bc 0.43±0.01 c糖酸比Sugaracid ratio 18.89 18.48 20.86 21.65固酸比Solidacid ratio 27.76 27.02 29.77 30.63果形指数Fruit shape index 0.76 0.77 0.75 0.74口感打分Taste score 74.56 78.00 79.56 78.56

表4 第二年不同覆盖处理对龙丰苹果果实品质的影响
Table 4 Effects of different mulching treatments on fruit quality of Longfeng apple in the second year

处理Treatment CK T1 T2 T3单果质量Single fruit mass/g 56.92±0.82 d 64.50±0.64 c 78.89±0.60 a 69.18±0.59 b硬度Firmness/(kg·cm-2)11.07±0.86 b 13.53±0.67 a 9.73±0.42 b 10.90±0.49 b w(可溶性固形物)Soluble solids content/%15.43±0.23 b 16.43±0.15 a 16.80±0.12 a 16.20±0.35 a w(可溶性糖)Soluble sugar content/%9.99±0.15 c 11.21±0.17 b 12.19±0.24 a 11.01±0.23 b w(可滴定酸)Total acid content/%0.44±0.01 a 0.44±0.01 a 0.42±0.00 b 0.44±0.01 a糖酸比Sugar-acid ratio 22.70 25.48 29.02 25.02固酸比Solid-acid ratio 35.07 37.34 40.00 36.82果形指数Fruit shape index 0.79 0.79 0.82 0.80口感打分Taste score 76.89 79.89 80.11 78.78

处理的第二年,T1处理的单果质量、硬度、可溶性固形物含量、可溶性糖含量较对照分别显著提高了13.49%、22.22%、6.48%、12.21%;T2 处理的单果质量、可溶性固形物含量、可溶性糖含量较对照分别显著提高了38.60%、8.88%、22.02%,可滴定酸含量较对照显著降低了4.55%;T3处理的单果质量、可溶性固形物含量、可溶性糖含量较对照分别显著提高了21.54%、4.99%、10.21%。各处理的糖酸比和固酸比均表现为T2>T1>T3>CK;T1和T3处理的果形指数和对照的基本一致,均偏向于扁圆形,而T2 处理的果形偏向近圆形;各处理下果实的口感表现出T2>T1>T3>CK。

3 讨 论

覆盖具有保持土壤水分、提高土壤肥力、促进作物生长等功能[16]。在本试验中,苹果粉碎枝条的不同覆盖方式均可不同程度地提高果园土壤的有机质以及速效氮、磷和钾含量,并且随着覆盖时间的增加效果更为明显。这是因为枝条中含有易于分解的碳,如半纤维素和果胶[17],为土壤微生物提供基质,在微生物的作用下促进枝条分解。未分解的作物残体大部分留在土壤中,对土壤中的碳储量有贡献,提高了土壤中有机质含量和中微量元素含量[18]。此外,随着覆盖年限的增加,枝条逐渐腐解,可以直接提高土壤有机质含量[19]。在本试验中不同的覆盖方式对提高土壤养分含量的影响不同,其中以粉碎枝条+地布覆盖的效果最佳,相比于其他两个处理更佳的原因可能是地布覆盖会通过改变土壤的温度和湿度,从而有利于土壤中微生物的活动,促使土壤有机物和养分矿化速率加快[20]

叶片是进行光合作用的主要器官,为果树生长发育提供所需的有机物和化学能[21]。枝条还田可提高果树植株叶片的净光合速率。在本试验中,粉碎枝条的不同覆盖方式均可以提升光合作用强度,其中以粉碎枝条+地布覆盖处理下的作用效果最显著,原因可能是果园地面被覆盖后,改善了果树根系生长的微域环境,提高了根系对土壤养分的吸收利用,从而促进果树的营养生长[22]。本试验处理的第二年,3种处理促进了苹果新梢的生长,前人在研究不同覆盖措施对枣树生长的影响时发现,覆盖枣树枝条可以提高叶面积指数和茎粗[23]。这可能是因为苹果枝条和枣树枝条覆盖具有调节土壤水分和温度的良好效果,从而改善了根系发育的环境并促进了苹果树和枣树的生长,这与其他学者研究的结果一致[24]

笔者在本研究中发现,粉碎枝条+地布覆盖处理对提高单果质量和可溶性糖含量的效果最佳,这可能得益于地布的保水、防杂草功效,并提高了底层树冠的光合效率[25]。将园艺地布覆盖于桃园,桃的单果质量和营养品质同样得到了提高[26-27]。果实品质与果树的生长发育密切相关,更大的树冠能够降低果实日灼现象的发生,并降低土壤的太阳辐射热效应,从而更好地保护树体下部的果实,提高果实品质和市场价值[28]。本研究发现,在处理第一年,T1处理对果实品质指标的影响相比于对照无显著差异,而T2 处理和T3 处理对果实品质均有不同程度的提高。到了处理的第二年,T1、T2和T3处理对果实品质均有不同程度的提高。这说明,粉碎枝条表面覆盖相比于粉碎枝条+园艺地布覆盖和粉碎枝条旋耕至0~20 cm 土层对果实品质的影响较慢,若想短期内提升果实品质,应该选用粉碎枝条+地布处理或将粉碎枝条旋耕至0~20 cm土层处理。

研究表明,黄冠梨和鸭梨修剪枝中氮、磷、钾的含量随着枝条生长年限的增加而降低[29],并且枝条的降解速率与枝条品种、温度、降水等因素息息相关[30-31]。因此,未来可以进一步探究不同生长年限苹果枝条、不同覆盖量以及不同环境因素对土壤养分、果树生长发育和果实品质的影响。

4 结 论

不同方式覆盖苹果枝条碎片可以通过改善果树树体周围的土壤条件,为果树创造更适宜的生长环境,从而有利于果树的生长发育。综合分析苹果粉碎枝条的不同覆盖方式对土壤性质、果树生长发育和果实品质的影响发现,粉碎枝条+地布覆盖是更有利于实际生产的覆盖方式。

参考文献References:

[1] 李逢梅. 复合微生物菌剂对云南昭通苹果产量及品质的影响[J].南方农业,2024,18(9):169-171.LI Fengmei. Effects of compound microbial agents on the yield and quality of“Zhaotong apples”[J]. South China Agriculture,2024,18(9):169-171.

[2] 张秋月,周桐羽,何佳丽,吕德国,秦嗣军.北方中大型果园枝条类废弃物综合生态利用研究:以东北地区果园枝条类废弃物利用为例[J]. 沈阳农业大学学报(社会科学版),2019,21(6):641-645.ZHANG Qiuyue,ZHOU Tongyu,HE Jiali,LÜ Deguo,QIN Sijun. Comprehensive ecological utilization of abandoned branches of fruit trees in medium and large-sized orchards in northern China:Taking the utilization of abandoned branches of fruit trees in orchards in northeastern China as a case[J]. Journal of Shenyang Agricultural University (Social Sciences Edition),2019,21(6):641-645.

[3] XIE B,CHEN Y H,CHENG C G,MA R P,ZHAO D Y,LI Z,LI Y Q,AN X H,YANG X Z.Long-term soil management practices influence the rhizosphere microbial community structure and bacterial function of hilly apple orchard soil[J]. Applied Soil Ecology,2022,180:104627.

[4] MIA M J,MASSETANI F,MURRI G,NERI D. Sustainable alternatives to chemicals for weed control in the orchard- A review[J].Horticultural Science,2020,47(1):1-12.

[5] 刘春荣,刘丽丽,孙建城,王登亮,郑雪良,吴雪珍,陈骏,程慧林.果树废弃物资源化利用研究进展[J].东南园艺,2022,10(1):70-77.LIU Chunrong,LIU Lili,SUN Jiancheng,WANG Dengliang,ZHENG Xueliang,WU Xuezhen,CHEN Jun,CHENG Huilin.Research advances on the resource utilization of orchard waste[J].Southeast Horticulture,2022,10(1):70-77.

[6] 张跃,何佳丽,李丽杰,吕德国,秦嗣军.不同地区寒富苹果产量品质变化及其发展趋势:以中国知网、Nature 和Springer 等数据库文献为依据[J]. 沈阳农业大学学报(社会科学版),2021,23(2):147-153.ZHANG Yue,HE Jiali,LI Lijie,LÜ Deguo,QIN Sijun.Analysis of yield and quality change and development trend of hanfu apple planted in different areas:Based on CNKI,nature,springer and other databases[J].Journal of Shenyang Agricultural University(Social Sciences Edition),2021,23(2):147-153.

[7] 梁金凤,于跃跃,文方芳,金强,贾小红.添加腐熟菌剂对园林绿色废弃物堆肥化效果的影响[J].中国土壤与肥料,2013(6):97-100.LIANG Jinfeng,YU Yueyue,WEN Fangfang,JIN Qiang,JIA Xiaohong. Effects of micro- inoculants on garden green waste composting[J]. Soil and Fertilizer Sciences in China,2013(6):97-100.

[8] 游浩宇,陈大刚,徐开未,彭丹丹,肖苏杰,罗中魏,王祖华,陈远学.不同改良措施对猕猴桃园土壤理化性质变化的影响[J].四川农业大学学报,2022,40(6):826-837.YOU Haoyu,CHEN Dagang,XU Kaiwei,PENG Dandan,XIAO Sujie,LUO Zhongwei,WANG Zuhua,CHEN Yuanxue.Effect of different improvement treatments on the soil physicochemical property changes of kiwifruit orchard[J].Journal of Sichuan Agricultural University,2022,40(6):826-837.

[9] 李秀丽,张跃,吕德国,秦嗣军.枝条堆肥及其还田后对苹果园土壤养分状况和植株光合性能的影响[J].土壤通报,2024,55(1):113-120.LI Xiuli,ZHANG Yue,LÜ Deguo,QIN Sijun.Effects of branch compost and its return to the field on soil nutrient status and photosynthetic performance of fruit trees in the apple orchard[J].Chinese Journal of Soil Science,2024,55(1):113-120.

[10] 聂佩显,周菲,刘伟云,刘霞,薛晓敏,陶吉寒.苹果修剪枝条还田处理方式对土壤性状和植株光合性能的影响[J].落叶果树,2024,56(1):16-19.NIE Peixian,ZHOU Fei,LIU Weiyun,LIU Xia,XUE Xiaomin,TAO Jihan. Effect of apple pruning branch returning treatments on soil properties and plant photosynthetic performance[J]. Deciduous Fruits,2024,56(1):16-19.

[11] 齐边斌,张鹏,吕德国,秦嗣军.添加苹果枝条碎片对土壤养分及平邑甜茶幼苗光合性能的影响[J]. 吉林农业大学学报,2018,40(3):304-310.QI Bianbin,ZHANG Peng,LÜ Deguo,QIN Sijun. Effects of adding apple branch chips into soil on soil nutrients and photosynthetic performance of Malus hupehensis Rehd. seedlings[J].Journal of Jilin Agricultural University,2018,40(3):304-310.

[12] 韦茂春,李祥,韩智勇,鄂涛,李艳,姚义清,罗银浩.枝条原位还田方式对葡萄霜霉病发病率及其产质量的影响[J].贵州农业科学,2023,51(12):31-38.WEI Maochun,LI Xiang,HAN Zhiyong,E Tao,LI Yan,YAO Yiqing,LUO Yinhao. Effects of branch in situ returning to the field on incidence of downy mildew,yield and quality of grape[J].Guizhou Agricultural Sciences,2023,51(12):31-38.

[13] 鲍士旦. 土壤农化分析[M]. 3 版. 北京:中国农业出版社,2000.BAO Shidan. Soil and agricultural chemistry analysis[M]. 3rd ed.Beijing:China Agriculture Press,2000.

[14] 张自强,王森,胡琼,朱江华,张萍.南方鲜食枣正常果与裂果不同时期内含物含量的比较[J]. 中南林业科技大学学报,2018,38(1):37-42.ZHANG Ziqiang,WANG Sen,HU Qiong,ZHU Jianghua,ZHANG Ping. Cracked jujube and normal internal substance content comparative study in different periods of southern fresheat jujube[J]. Journal of Central South University of Forestry &Technology,2018,38(1):37-42.

[15] 杨兰兰,卢凯政,邹平,齐国辉,张雪梅,李寒,郭素萍.苹果苦痘病与果实品质及矿质元素含量的相关性分析[J].经济林研究,2019,37(2):134-140.YANG Lanlan,LU Kaizheng,ZOU Ping,QI Guohui,ZHANG Xuemei,LI Han,GUO Suping.Correlation analysis of apple bitter pit with fruit quality and mineral element contents in fruits[J].Non-wood Forest Research,2019,37(2):134-140.

[16] KADER M A,SENGE M,MOJID M A,ONISHI T,ITO K. Effects of plastic-hole mulching on effective rainfall and readily available soil moisture under soybean (Glycine max) cultivation[J].Paddy and Water Environment,2017,15(3):659-668.

[17] RUPASINGHE H P V,KEAN C,NICHOLS D,EMBREE C.Orchard waste as a valuable bio-resource:A chemical composition analysis[J].Acta Horticulturae,2007(737):17-23.

[18] ADHIKARI A D,SHRESTHA P,GHIMIRE R,LIU Z M,POLLOCK D A,ACHARYA P,ARYAL D R. Cover crop residue quality regulates litter decomposition dynamics and soil carbon mineralization kinetics in semi-arid cropping systems[J]. Applied Soil Ecology,2024,193:105160.

[19] QIAN X,GU J,PAN H J,ZHANG K Y,SUN W,WANG X J,GAO H. Effects of living mulches on the soil nutrient contents,enzyme activities,and bacterial community diversities of apple orchard soils[J].European Journal of Soil Biology,2015,70:23-30.

[20] 侯婷,闫鹏科,庞群虎,马婷慧,齐雁冰,王锐.行内覆盖对果园土壤特性及酿酒葡萄产量和品质的影响[J].河南农业大学学报,2019,53(6):869-875.HOU Ting,YAN Pengke,PANG Qunhu,MA Tinghui,QI Yanbing,WANG Rui. Effects of intra-row coverage on orchard soil features and wine grape yield and quality[J]. Journal of Henan Agricultural University,2019,53(6):869-875.

[21] NEILSEN G,FORGE T,ANGERS D,NEILSEN D,HOGUE E. Suitable orchard floor management strategies in organic apple orchards that augment soil organic matter and maintain tree performance[J].Plant and Soil,2014,378(1):325-335.

[22] GALANTI R,CHO A,AHMAD A,RADOVICH T.Soil amendments and soil profiling impact on macadamia growth and yield performance[J].HortScience,2019,54(3):519-527.

[23] TANG M,GAO X D,WU P T,LI H C,ZHANG C. Effects of living mulch and branches mulching on soil moisture,temperature and growth of rain-fed jujube trees[J].Plants,2022,11(19):2654.

[24] PAUNOVIĆ S M,MILINKOVIĆ M,PEŠAKOVIĆ M. Effect of sawdust and foil mulches on soil properties,growth and yield of black currant[J].Erwerbs-Obstbau,2020,62(4):429-435.

[25] 成文竞,张琴,佘为为,许太白,张微微.不同覆盖方式对桃园土壤性状及果实产量品质的影响[J].中国南方果树,2024,53(5):124-129.CHENG Wenjing,ZHANG Qin,SHE Weiwei,XU Taibai,ZHANG Weiwei. Effects of different mulching methods on soil properties and fruit yield and quality in peach orchard[J]. South China Fruits,2024,53(5):124-129.

[26] 郑青松.锦绣黄桃地布覆盖栽培技术的效果分析[J].落叶果树,2021,53(3):21-23.ZHENG Qingsong. Analysis of ground cloth mulching cultivation technology on Jinxiu yellow peach[J]. Deciduous Fruits,2021,53(3):21-23.

[27] 杨熠路,胡枫,倪照君,黄霄,侍婷,田传正,卢炫羽,高志红.园艺地布覆盖对桃园土壤和桃果实品质的影响[J].中国果树,2021(8):24-30.YANG Yilu,HU Feng,NI Zhaojun,HUANG Xiao,SHI Ting,TIAN Chuanzheng,LU Xuanyu,GAO Zhihong. Effects of black ground fabric mulching on fruit quality and soil in peach orchard[J].China Fruits,2021(8):24-30.

[28] SALAMA B,ABOU-HADID A,ABDELHAMID N,EL-SHINAWY M.Effect of prunning pattern and soil mulching on yield and quality of keitt mango in new reclaimed lands[J].Arab Universities Journal of Agricultural Sciences,2018,26(1):147-159.

[29] 张乃文,董彩霞,徐阳春.梨树修剪枝和果实从树体移走的养分研究[J].南京农业大学学报,2013,36(4):37-42.ZHANG Naiwen,DONG Caixia,XU Yangchun. Nutrient amounts removed by the pruning branches and the fruit harvest from the pear tree[J]. Journal of Nanjing Agricultural University,2013,36(4):37-42.

[30] WAHDAN S F M,JI L,SCHÄDLER M,WU Y T,SANSUPA C,TANUNCHAI B,BUSCOT F,PURAHONG W. Future climate conditions accelerate wheat straw decomposition alongside altered microbial community composition,assembly patterns,and interaction networks[J]. The ISME Journal,2022,17(2):238-251.

[31] LISKI J,NISSINEN A,ERHARD M,TASKINEN O. Climatic effects on litter decomposition from arctic tundra to tropical rainforest[J].Global Change Biology,2003,9(4):575-584.

Effects of different mulching methods with apple branch fragments on soil nutrients,growth and development of apple trees and fruit quality

LI Linyu,CAO Yufei,LÜ Deguo,QIN Sijun*
(College of Horticulture, Shenyang Agricultural University/Key Laboratory of Fruit Quality Development and Regulation of Liaoning Province,Shenyang 110866,Liaoning,China)

Abstract:【Objective】Fruit trees as perennial plants,can produce a large number of branches in the annual production due to pruning, which are rich in lignin and polyphenols and other organic matter, and are a resource that can be used,but by the impact of traditional concept development of branch crusher and limitations by other orchard machinery and equipment level,most Chinese fruit growers will prune down the branches as a waste, discarding in the orchard outside or adopting direct incineration, which not only wastes the effective resources, but also causes the environment pollution.With the overall development of social economy and the emergence of small branch crusher and other modern machinery,waste branches can be crushed and return to the orchard, as a labor-saving practice, not only to solve the environmental pollution, but also increase soil porosity, raise soil organic matter content, and improve soil structure at the same time.It can effectively increase the content of available nutrients.In addition,it can increase the quick-acting nutrient content effectively and improve the soil structure,significantly improve the crop yield and fruit quality, and make the waste branches utilised in a resourceful way.This experiment aims to improve the utilization rate of waste branches and soil environmental conditions in the orchard,and to screen out the treatment methods suitable for the growth and development of fruit trees.【Methods】The crushed branch mulching experiment began in April 2022, using the branch fragments for mulching in the scientific research base of Shenyang Agricultural University,After the branches were crushed into fragments of about 2 cm with the GTS1300 model tree branch crusher,the seven-year-old Longfeng apple orchards were treated with mulching.In first and second year,the mulching treatments were carried out in May 2022 and May 2023.This experiment was a 2-year replicated experiment,with tree disk clearing as the control.Manual weeding was applied in the clearing area,and crushed branches were returned to the field,with bare land in a diameter of 20 cm in the centre of the base, and mulched 150 cm in length, 50 cm in width, and 2 cm in thickness. Three treatments were set up in the experiment:T1 treatment was surface mulching of crushed branches, T2 treatment was covering a layer of horticultural ground cloth on top of the T1 treatment,and T3 treatment was rototilling an equal amount of crushed branches into the soil layer of 0-20 cm. Five trees were selected for each treatment as five replications, totaling for 20 trees, and other management conditions like water and fertilizer management kept consistent. Sampling times were in April 2022, July 2022, October 2022,April 2023, July 2023, and October 2023, with advance planning to avoid rainy day sampling if continuous rain was encountered.【Results】The results showed that apple branch debris mulching can improve soil quality, promote tree growth and development, and enhance fruit quality.After 1 year of mulching, all the crushed branches were decomposed by microorganisms, and the mulching of branch fragments around the tree tray could improve the soil structure, and the wood chips in contact with the soil would gradually decompose and turn into organic substances to provide nutrients for the trees. In the 0-20 cm soil layer in the second year of the experiment,the treatment of crushed branches+ground cloth mulching increased the content of organic matter and quick-acting potassium, and the effect was more significant; all three treatments increased the contents of alkali-hydrolyzable nitrogen (AN) and available phosphorous(AP);and the treatment of mulching apple branch fragments had a promoting effect on the growth of fruit trees.In the second year of the experiment,the three treatments were able to promote the growth of new shoots;the treatment of crushed branches+ground cloth mulching could increase the net photosynthetic rate;and the treatment of mulching apple branch fragments could improve the fruit quality. In the 2nd year of the experiment, all the treatments can significantly increase the single fruit mass, soluble solids and soluble sugar contents, and basically the crushed branches + ground cloth mulching treatment had a better effect.【Conclusion】Different ways of mulching with apple branches fragments can create a more suitable growing environment for fruit trees by improving the soil conditions around the trees,thus favoring the growth and development of fruit trees,and improving economic benefits while saving production costs.Comprehensively analyzing the effects of different mulching methods with apple crushed branches on soil properties, it was found that crushed branches +ground cloth mulching may be a more beneficial mulching method for actual production.

Key words:Apple;Crushed branches;Mulching;Soil properties;Growth and development

中图分类号:S661.1

文献标志码:A

文章编号:1009-9980(2025)07-1467-12

DOI:10.13925/j.cnki.gsxb.20240513

收稿日期:2024-09-29

接受日期:2025-04-01

基金项目:国家现代苹果产业技术体系建设项目(CRSA-27);国家自然科学基金(31972359);辽宁省科技厅应用基础研究项目(2023JH2/101300131);沈阳市科学技术计划种业创新专项(22-318-2-03)

作者简介:李林宇,男,在读博士研究生,主要从事果树栽培生理生态研究。E-mail:linyu@stu.syau.edu.cn

*通信作者Author for correspondence. E-mail:qsj1975@syau.edu.cn